第46页
- 第1页
- 第2页
- 第3页
- 第4页
- 第5页
- 第6页
- 第7页
- 第8页
- 第9页
- 第10页
- 第11页
- 第12页
- 第13页
- 第14页
- 第15页
- 第16页
- 第17页
- 第18页
- 第19页
- 第20页
- 第21页
- 第22页
- 第23页
- 第24页
- 第25页
- 第26页
- 第27页
- 第28页
- 第29页
- 第30页
- 第31页
- 第32页
- 第33页
- 第34页
- 第35页
- 第36页
- 第37页
- 第38页
- 第39页
- 第40页
- 第41页
- 第42页
- 第43页
- 第44页
- 第45页
- 第46页
- 第47页
- 第48页
- 第49页
- 第50页
- 第51页
- 第52页
- 第53页
- 第54页
- 第55页
- 第56页
- 第57页
- 第58页
- 第59页
- 第60页
- 第61页
- 第62页
- 第63页
- 第64页
- 第65页
- 第66页
- 第67页
- 第68页
- 第69页
- 第70页
- 第71页
- 第72页
- 第73页
- 第74页
- 第75页
- 第76页
- 第77页
- 第78页
- 第79页
- 第80页
- 第81页
- 第82页
- 第83页
- 第84页
- 第85页
- 第86页
- 第87页
- 第88页
- 第89页
- 第90页
- 第91页
- 第92页
- 第93页
- 第94页
- 第95页
- 第96页
- 第97页
- 第98页
- 第99页
- 第100页
- 第101页
- 第102页
- 第103页
- 第104页
- 第105页
- 第106页
- 第107页
- 第108页
- 第109页
- 第110页
- 第111页
- 第112页
- 第113页
- 第114页
- 第115页
- 第116页
- 第117页
例4 如图,正比例函数y = kx与函数$y=\frac{6}{x}$的图象交于A,B两点,BC//x轴,AC//y轴,则$S_{\triangle ABC}$ = ______.

解题关键点 连接OC,设AC与x轴交于点N,由题可知点A,B关于原点对称,可证得$S_{\triangle ABC}=4S_{\triangle AON}$.
解题关键点 连接OC,设AC与x轴交于点N,由题可知点A,B关于原点对称,可证得$S_{\triangle ABC}=4S_{\triangle AON}$.
答案:
例4 答案 12
解析 连接OC,设AC交x轴于点N,BC交y轴于点M,

∵正比例函数$y = kx$与函数$y=\frac{6}{x}$的图象交于A,B两点,
∴点A与点B关于原点对称,$S_{\triangle AON}=S_{\triangle OBM}=\frac{|k|}{2}=3$,
∵$BC// x$轴,$AC// y$轴,
∴$S_{\triangle AON}=S_{\triangle CON}$,$S_{\triangle OBM}=S_{\triangle OCM}$,
即$S_{\triangle ABC}=4S_{\triangle AON}=4\times3 = 12$.
例4 答案 12
解析 连接OC,设AC交x轴于点N,BC交y轴于点M,
∵正比例函数$y = kx$与函数$y=\frac{6}{x}$的图象交于A,B两点,
∴点A与点B关于原点对称,$S_{\triangle AON}=S_{\triangle OBM}=\frac{|k|}{2}=3$,
∵$BC// x$轴,$AC// y$轴,
∴$S_{\triangle AON}=S_{\triangle CON}$,$S_{\triangle OBM}=S_{\triangle OCM}$,
即$S_{\triangle ABC}=4S_{\triangle AON}=4\times3 = 12$.
1.如图,点B在反比例函数$y=\frac{6}{x}(x>0)$的图象上,点C在反比例函数$y=-\frac{2}{x}(x>0)$的图象上,且BC//y轴,AC⊥BC,垂足为点C,交y轴于点A.则△ABC的面积为 ( )

A.3
B.4
C.5
D.6
A.3
B.4
C.5
D.6
答案:
1.B 过B点作$BH\perp y$轴于H点,设BC交x轴于D,如图,

∵$BC// y$轴,$AC\perp BC$,
∴四边形ACDO和四边形ODBH都是矩形,
∴$S_{矩形OACD}=2$,$S_{矩形ODBH}=6$,
∴$S_{矩形ACBH}=2 + 6 = 8$,
∴$\triangle ABC$的面积$=\frac{1}{2}S_{矩形ACBH}=4$.
1.B 过B点作$BH\perp y$轴于H点,设BC交x轴于D,如图,
∵$BC// y$轴,$AC\perp BC$,
∴四边形ACDO和四边形ODBH都是矩形,
∴$S_{矩形OACD}=2$,$S_{矩形ODBH}=6$,
∴$S_{矩形ACBH}=2 + 6 = 8$,
∴$\triangle ABC$的面积$=\frac{1}{2}S_{矩形ACBH}=4$.
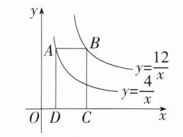
2.如图,点A在双曲线$y=\frac{4}{x}$上,点B在双曲线$y=\frac{12}{x}$上,且AB//x轴,点C、D在x轴上,若四边形ABCD为矩形,则矩形ABCD的面积为 ( )

A.4
B.6
C.8
D.12
A.4
B.6
C.8
D.12
答案:
2.C 延长BA交y轴于E,则$BE\perp y$轴,
∵点A在双曲线$y=\frac{4}{x}$上,
∴四边形AEOD的面积为4,
∵点B在双曲线$y=\frac{12}{x}$上,且$AB// x$轴,
∴四边形BEOC的面积为12,
∴矩形ABCD的面积为$12 - 4 = 8$.
∵点A在双曲线$y=\frac{4}{x}$上,
∴四边形AEOD的面积为4,
∵点B在双曲线$y=\frac{12}{x}$上,且$AB// x$轴,
∴四边形BEOC的面积为12,
∴矩形ABCD的面积为$12 - 4 = 8$.
3.如图,点A、C分别是正比例函数y = x的图象与反比例函数$y=\frac{4}{x}$的图象的交点,过A点作AD⊥x轴于点D,过C点作CB⊥x轴于点B,则四边形ABCD的面积为______.

答案:
3.答案 8
解析 根据反比例函数图象和正比例函数图象的对称性可知,点A,C关于原点对称,
∴$OA = OC$.
∵$AD\perp x$轴于点D,$CB\perp x$轴于点B,
∴$OD = OB$,
∴四边形ABCD是平行四边形,
∴$S_{四边形ABCD}=4S_{\triangle AOD}=4\times\frac{1}{2}\times4 = 8$.
解析 根据反比例函数图象和正比例函数图象的对称性可知,点A,C关于原点对称,
∴$OA = OC$.
∵$AD\perp x$轴于点D,$CB\perp x$轴于点B,
∴$OD = OB$,
∴四边形ABCD是平行四边形,
∴$S_{四边形ABCD}=4S_{\triangle AOD}=4\times\frac{1}{2}\times4 = 8$.
查看更多完整答案,请扫码查看