2025年金版新学案高中数学选择性必修第一册北师大版
注:目前有些书本章节名称可能整理的还不是很完善,但都是按照顺序排列的,请同学们按照顺序仔细查找。练习册 2025年金版新学案高中数学选择性必修第一册北师大版 答案主要是用来给同学们做完题方便对答案用的,请勿直接抄袭。
第68页
- 第1页
- 第2页
- 第3页
- 第4页
- 第5页
- 第6页
- 第7页
- 第8页
- 第9页
- 第10页
- 第11页
- 第12页
- 第13页
- 第14页
- 第15页
- 第16页
- 第17页
- 第18页
- 第19页
- 第20页
- 第21页
- 第22页
- 第23页
- 第24页
- 第25页
- 第26页
- 第27页
- 第28页
- 第29页
- 第30页
- 第31页
- 第32页
- 第33页
- 第34页
- 第35页
- 第36页
- 第37页
- 第38页
- 第39页
- 第40页
- 第41页
- 第42页
- 第43页
- 第44页
- 第45页
- 第46页
- 第47页
- 第48页
- 第49页
- 第50页
- 第51页
- 第52页
- 第53页
- 第54页
- 第55页
- 第56页
- 第57页
- 第58页
- 第59页
- 第60页
- 第61页
- 第62页
- 第63页
- 第64页
- 第65页
- 第66页
- 第67页
- 第68页
- 第69页
- 第70页
- 第71页
- 第72页
- 第73页
- 第74页
- 第75页
- 第76页
- 第77页
- 第78页
- 第79页
- 第80页
- 第81页
- 第82页
- 第83页
- 第84页
- 第85页
- 第86页
- 第87页
- 第88页
- 第89页
- 第90页
- 第91页
- 第92页
- 第93页
- 第94页
- 第95页
- 第96页
- 第97页
- 第98页
- 第99页
- 第100页
- 第101页
- 第102页
- 第103页
- 第104页
- 第105页
- 第106页
- 第107页
- 第108页
- 第109页
- 第110页
- 第111页
- 第112页
- 第113页
- 第114页
- 第115页
- 第116页
- 第117页
- 第118页
- 第119页
- 第120页
- 第121页
- 第122页
- 第123页
- 第124页
- 第125页
- 第126页
- 第127页
- 第128页
- 第129页
- 第130页
- 第131页
- 第132页
- 第133页
- 第134页
- 第135页
- 第136页
- 第137页
- 第138页
- 第139页
- 第140页
- 第141页
- 第142页
- 第143页
- 第144页
- 第145页
- 第146页
- 第147页
- 第148页
- 第149页
- 第150页
- 第151页
- 第152页
- 第153页
- 第154页
- 第155页
- 第156页
- 第157页
- 第158页
- 第159页
典例 4
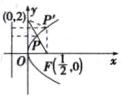
已知点 $ P $ 是抛物线 $ y^{2} = 2x $ 上的一个动点,求点 $ P $ 到点 $ (0,2) $ 的距离与 $ P $ 到该抛物线准线的距离之和的最小值.
听课笔记:
变式探究
1. (变条件,变设问)若将本例中的“点 $ (0,2) $”改为“点 $ A(3,2) $”,求 $ |PA| + |PF| $ 的最小值.
2. (变条件,变设问)若将本例中的“点 $ (0,2) $”换成“直线 $ l_{1}:3x - 4y + \dfrac{7}{2} = 0 $”,求点 $ P $ 到直线 $ 3x - 4y + \dfrac{7}{2} = 0 $ 的距离与 $ P $ 到该抛物线的准线的距离之和的最小值.
已知点 $ P $ 是抛物线 $ y^{2} = 2x $ 上的一个动点,求点 $ P $ 到点 $ (0,2) $ 的距离与 $ P $ 到该抛物线准线的距离之和的最小值.
听课笔记:
变式探究
1. (变条件,变设问)若将本例中的“点 $ (0,2) $”改为“点 $ A(3,2) $”,求 $ |PA| + |PF| $ 的最小值.
2. (变条件,变设问)若将本例中的“点 $ (0,2) $”换成“直线 $ l_{1}:3x - 4y + \dfrac{7}{2} = 0 $”,求点 $ P $ 到直线 $ 3x - 4y + \dfrac{7}{2} = 0 $ 的距离与 $ P $ 到该抛物线的准线的距离之和的最小值.
答案:
典例4 解:由抛物线的定义可知,抛物线上的点到准线的距离等于它到焦点的距离.由图可知,点P,点(0,2)和抛物线的焦点$F(\frac{1}{2},0)$三点共线时距离之和最小,所以$\sqrt{(0 - \frac{1}{2})^{2} + (2 - 0)^{2}} = \frac{\sqrt{17}}{2}$距离之和的最小值为$\frac{\sqrt{17}}{2}$.
[变式探究]1.解:将$x = 3$代入$y^{2} = 2x$,得$y = \pm\sqrt{6}$.所以点A在抛物线$y^{2} = 2x$的内部.设点P为其上一点,点P到准线(设为l)$x = -\frac{1}{2}$的距离为d,则$\vert PA \vert + \vert PF \vert = \vert PA \vert + d$.由图可知,当$PA \perp l$时,$\vert PA \vert + d$最小,最小值是$\frac{7}{2}$.即$\vert PA \vert + \vert PF \vert$的最小值是$\frac{7}{2}$.
2.解:如图所示,作$PA_1$垂直于直线$l_1$于点$A_1$,作PQ垂直于准线l于点Q,$\vert PA \vert + \vert PQ \vert = \vert PA_1 \vert + \vert PF \vert \geqslant \vert A_1F \vert$.$\vert A_1F \vert$的最小值为点F到直线$3x - 4y + \frac{7}{2} = 0$的距离$d = \frac{\vert 3 × \frac{1}{2} + \frac{7}{2} \vert}{\sqrt{3^{2} + (-4)^{2}}} = 1$.即所求最小值为1.
典例4 解:由抛物线的定义可知,抛物线上的点到准线的距离等于它到焦点的距离.由图可知,点P,点(0,2)和抛物线的焦点$F(\frac{1}{2},0)$三点共线时距离之和最小,所以$\sqrt{(0 - \frac{1}{2})^{2} + (2 - 0)^{2}} = \frac{\sqrt{17}}{2}$距离之和的最小值为$\frac{\sqrt{17}}{2}$.
[变式探究]1.解:将$x = 3$代入$y^{2} = 2x$,得$y = \pm\sqrt{6}$.所以点A在抛物线$y^{2} = 2x$的内部.设点P为其上一点,点P到准线(设为l)$x = -\frac{1}{2}$的距离为d,则$\vert PA \vert + \vert PF \vert = \vert PA \vert + d$.由图可知,当$PA \perp l$时,$\vert PA \vert + d$最小,最小值是$\frac{7}{2}$.即$\vert PA \vert + \vert PF \vert$的最小值是$\frac{7}{2}$.
2.解:如图所示,作$PA_1$垂直于直线$l_1$于点$A_1$,作PQ垂直于准线l于点Q,$\vert PA \vert + \vert PQ \vert = \vert PA_1 \vert + \vert PF \vert \geqslant \vert A_1F \vert$.$\vert A_1F \vert$的最小值为点F到直线$3x - 4y + \frac{7}{2} = 0$的距离$d = \frac{\vert 3 × \frac{1}{2} + \frac{7}{2} \vert}{\sqrt{3^{2} + (-4)^{2}}} = 1$.即所求最小值为1.
已知抛物线的方程为 $ y^{2} = - 4x $,直线 $ l $ 的方程为 $ 2x + y - 4 = 0 $,在抛物线上有一动点 $ A $,点 $ A $ 到 $ y $ 轴的距离为 $ m $,点 $ A $ 到直线 $ l $ 的距离为 $ n $,则 $ m + n $ 的最小值为____.
答案:
对点练4.$\frac{6\sqrt{5}}{5} - 1$ 由抛物线的方程为$y^{2} = -4x$,得其焦点F(-1,0),准线方程为$x = 1$.如图所示,过点A作直线l的垂线,垂足为H,交y轴于点B,则$\vert AB \vert = m$,$\vert AC \vert = m + 1$.根据抛物线的定义可知,$\vert AF \vert = \vert AC \vert = m + 1$,所以$m + n = \vert AF \vert + \vert AH \vert - 1$.过点F作直线l的垂线,垂足为$H_1$,则$\vert FH_1 \vert = \frac{\vert -2 - 4 \vert}{\sqrt{5}} = \frac{6\sqrt{5}}{5}$.当点A为垂线段$FH_1$与抛物线的交点时,$\vert AF \vert + \vert AH \vert$最小,最小值为$\vert FH_1 \vert = \frac{6\sqrt{5}}{5}$,此时$m + n$取得最小值$\frac{6\sqrt{5}}{5} - 1$.
对点练4.$\frac{6\sqrt{5}}{5} - 1$ 由抛物线的方程为$y^{2} = -4x$,得其焦点F(-1,0),准线方程为$x = 1$.如图所示,过点A作直线l的垂线,垂足为H,交y轴于点B,则$\vert AB \vert = m$,$\vert AC \vert = m + 1$.根据抛物线的定义可知,$\vert AF \vert = \vert AC \vert = m + 1$,所以$m + n = \vert AF \vert + \vert AH \vert - 1$.过点F作直线l的垂线,垂足为$H_1$,则$\vert FH_1 \vert = \frac{\vert -2 - 4 \vert}{\sqrt{5}} = \frac{6\sqrt{5}}{5}$.当点A为垂线段$FH_1$与抛物线的交点时,$\vert AF \vert + \vert AH \vert$最小,最小值为$\vert FH_1 \vert = \frac{6\sqrt{5}}{5}$,此时$m + n$取得最小值$\frac{6\sqrt{5}}{5} - 1$.
1. 抛物线 $ y = -\dfrac{1}{8}x^{2} $ 的准线方程是 (
A.$ x = \dfrac{1}{32} $
B.$ x = \dfrac{1}{2} $
C.$ y = 2 $
D.$ y = 4 $
C
)A.$ x = \dfrac{1}{32} $
B.$ x = \dfrac{1}{2} $
C.$ y = 2 $
D.$ y = 4 $
答案:
1.C
2. 已知抛物线的焦点坐标是 $ (0,-3) $,则抛物线的标准方程是 (
A.$ x^{2} = - 12y $
B.$ x^{2} = 12y $
C.$ y^{2} = - 12x $
D.$ y^{2} = 12x $
A
)A.$ x^{2} = - 12y $
B.$ x^{2} = 12y $
C.$ y^{2} = - 12x $
D.$ y^{2} = 12x $
答案:
2.A
3. 若抛物线 $ y^{2} = - 2px(p > 0) $ 上有一点 $ M $,其横坐标为 $ - 9 $,它到焦点的距离为 $ 10 $,则点 $ M $ 的坐标为
(-9,6)或(-9,-6)
.
答案:
3.(-9,6)或(-9,-6)
4. 已知点 $ F(0,4) $ 是抛物线 $ C:x^{2} = 2py(p > 0) $ 的焦点,点 $ P(2,3) $,且点 $ M $ 为抛物线 $ C $ 上任意一点,则 $ |MF| + |MP| $ 的最小值为
7
.
答案:
4.7
查看更多完整答案,请扫码查看