第61页
- 第1页
- 第2页
- 第3页
- 第4页
- 第5页
- 第6页
- 第7页
- 第8页
- 第9页
- 第10页
- 第11页
- 第12页
- 第13页
- 第14页
- 第15页
- 第16页
- 第17页
- 第18页
- 第19页
- 第20页
- 第21页
- 第22页
- 第23页
- 第24页
- 第25页
- 第26页
- 第27页
- 第28页
- 第29页
- 第30页
- 第31页
- 第32页
- 第33页
- 第34页
- 第35页
- 第36页
- 第37页
- 第38页
- 第39页
- 第40页
- 第41页
- 第42页
- 第43页
- 第44页
- 第45页
- 第46页
- 第47页
- 第48页
- 第49页
- 第50页
- 第51页
- 第52页
- 第53页
- 第54页
- 第55页
- 第56页
- 第57页
- 第58页
- 第59页
- 第60页
- 第61页
- 第62页
- 第63页
- 第64页
- 第65页
- 第66页
- 第67页
- 第68页
- 第69页
- 第70页
- 第71页
- 第72页
- 第73页
- 第74页
- 第75页
- 第76页
- 第77页
- 第78页
- 第79页
- 第80页
- 第81页
- 第82页
- 第83页
- 第84页
- 第85页
- 第86页
- 第87页
- 第88页
- 第89页
- 第90页
- 第91页
- 第92页
- 第93页
- 第94页
- 第95页
- 第96页
- 第97页
- 第98页
- 第99页
- 第100页
- 第101页
- 第102页
- 第103页
- 第104页
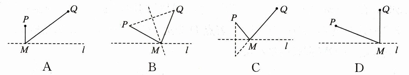
1. 如图,直线 $ l $ 是一条河,$ P $,$ Q $ 是两个村庄,欲在 $ l $ 上的某处修建一个水泵站,向 $ P $,$ Q $ 两地供水,现有如下四种铺设方案,图中实线表示铺设的管道,则所需管道最短的是(

B
)
答案:
B
2. 如图,直线 $ l $ 外有不重合的两点 $ A $,$ B $,在直线 $ l $ 上求一点 $ C $,使得 $ AC + BC $ 的长度最短,作法为:①作点 $ B $ 关于直线 $ l $ 的对称点 $ B' $;②连接 $ AB' $ 交直线 $ l $ 于点 $ C $,则点 $ C $ 即为所求. 在解决这个问题时,没有用到的知识点是(

A.线段的垂直平分线性质
B.两点之间线段最短
C.三角形两边之和大于第三边
D.角平分线的性质
D
)A.线段的垂直平分线性质
B.两点之间线段最短
C.三角形两边之和大于第三边
D.角平分线的性质
答案:
D
3. 如图,在 $ \triangle ABC $ 中,$ AB = 3 $,$ AC = 4 $,$ BC = 5 $,$ EF $ 是 $ BC $ 的垂直平分线,$ P $ 是直线 $ EF $ 上的任意一点,则 $ PA + PB $ 的最小值是(

A.3
B.4
C.5
D.6
B
)A.3
B.4
C.5
D.6
答案:
B
4. 如图所示,在 $ \triangle ABC $ 中,$ \angle ABC = 70^\circ $,$ BD $ 平分 $ \angle ABC $,$ P $ 为线段 $ BD $ 上一动点,$ Q $ 为边 $ AB $ 上一动点,当 $ AP + PQ $ 的值最小时,$ \angle APB $ 的度数是(

A.$ 120^\circ $
B.$ 125^\circ $
C.$ 130^\circ $
D.$ 135^\circ $
B
)A.$ 120^\circ $
B.$ 125^\circ $
C.$ 130^\circ $
D.$ 135^\circ $
答案:
B
5. 如图,$ A $,$ B $ 两地分别在一条河的两岸,现要在河上造一座桥 $ MN $,图中使从 $ A $ 到 $ B $ 的路径 $ AMNB $ 最短的是(假定河的两岸是平行的直线,桥要与河岸垂直)(
(BM \perp 直线 a)
(AM 与 BN 不平行)
(AN \perp 直线 b)
(AM // BN)

AM // BN
)(BM \perp 直线 a)
(AM 与 BN 不平行)
(AN \perp 直线 b)
(AM // BN)
答案:
要使路径$AMNB$最短,因桥$MN$垂直于河岸(长度固定为河宽),需$AM + NB$最短。将点$A$沿垂直河岸方向平移河宽至$A'$,则$AM = A'N$,$AM + NB = A'N + NB$。由“两点之间线段最短”,连接$A'B$交河岸于$N$,过$N$作垂线得$M$。此时$AM // BN$(平移性质)。
(AM // BN)
(AM // BN)
查看更多完整答案,请扫码查看