第53页
- 第1页
- 第2页
- 第3页
- 第4页
- 第5页
- 第6页
- 第7页
- 第8页
- 第9页
- 第10页
- 第11页
- 第12页
- 第13页
- 第14页
- 第15页
- 第16页
- 第17页
- 第18页
- 第19页
- 第20页
- 第21页
- 第22页
- 第23页
- 第24页
- 第25页
- 第26页
- 第27页
- 第28页
- 第29页
- 第30页
- 第31页
- 第32页
- 第33页
- 第34页
- 第35页
- 第36页
- 第37页
- 第38页
- 第39页
- 第40页
- 第41页
- 第42页
- 第43页
- 第44页
- 第45页
- 第46页
- 第47页
- 第48页
- 第49页
- 第50页
- 第51页
- 第52页
- 第53页
- 第54页
- 第55页
- 第56页
- 第57页
- 第58页
- 第59页
- 第60页
- 第61页
- 第62页
- 第63页
- 第64页
- 第65页
- 第66页
- 第67页
- 第68页
- 第69页
- 第70页
- 第71页
- 第72页
- 第73页
- 第74页
- 第75页
- 第76页
- 第77页
- 第78页
- 第79页
- 第80页
- 第81页
- 第82页
- 第83页
- 第84页
- 第85页
- 第86页
- 第87页
- 第88页
- 第89页
- 第90页
- 第91页
- 第92页
- 第93页
- 第94页
- 第95页
- 第96页
- 第97页
- 第98页
- 第99页
- 第100页
- 第101页
- 第102页
- 第103页
- 第104页
- 第105页
- 第106页
- 第107页
- 第108页
- 第109页
- 第110页
- 第111页
- 第112页
- 第113页
- 第114页
- 第115页
- 第116页
- 第117页
- 第118页
- 第119页
- 第120页
- 第121页
- 第122页
- 第123页
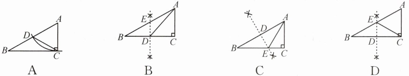
1.如图,$Rt\triangle ABC$中,$\angle C = 90^{\circ}$,$\angle B = 30^{\circ}$,要求用圆规和直尺作图,把它分成两个三角形,一个三角形是等腰三角形,其作法错误的是(

B
)
答案:
B
2.如图,已知$AB = AC = 7$,$BC = 5$,分别以$A$,$B$两点为圆心,大于$\frac{1}{2}AB$的长为半径作弧,两弧相交于点$M$,$N$,直线$MN与AC相交于点D$,$\triangle BDC$的周长是

12
。
答案:
12
3.如图,$\triangle ABC$中,$AB的垂直平分线交BC于D$,交$AB于E$。
(1)若$\angle C = 90^{\circ}$,$\angle DAC = 20^{\circ}$,则$\angle B = $
(2)若$AC = 4$,$BC = 6$,则$\triangle ACD$的周长为

(1)若$\angle C = 90^{\circ}$,$\angle DAC = 20^{\circ}$,则$\angle B = $
$35^{\circ}$
;(2)若$AC = 4$,$BC = 6$,则$\triangle ACD$的周长为
10
。
答案:
(1) $35^{\circ}$
(2) 10
(1) $35^{\circ}$
(2) 10
4.如图,在$\triangle ABC$中,$BE平分\angle ABC$,交$AC于E$,$DE垂直平分AB于D$。
(1)若$\angle C = 90^{\circ}$,求证:$BE + DE = AC$;
(2)若$\triangle ABC的周长是20$,$\triangle BCE的周长是12$,求$AB$的长为
(1)若$\angle C = 90^{\circ}$,求证:$BE + DE = AC$;
(2)若$\triangle ABC的周长是20$,$\triangle BCE的周长是12$,求$AB$的长为
8
。
答案:
解:
(1)证 $DE = CE$,$AE = BE$,
$\therefore BE + DE = AC$;
(2) $AB = 8$。
(1)证 $DE = CE$,$AE = BE$,
$\therefore BE + DE = AC$;
(2) $AB = 8$。
5.点$P是\triangle ABC$内的一点,若$PB = PC$,则(
A.点$P在\angle ABC$的平分线上
B.点$P在\angle ACB$的平分线上
C.点$P在边AB$的垂直平分线上
D.点$P在边BC$的垂直平分线上
D
)A.点$P在\angle ABC$的平分线上
B.点$P在\angle ACB$的平分线上
C.点$P在边AB$的垂直平分线上
D.点$P在边BC$的垂直平分线上
答案:
D
6.(2023·常州)如图,已知$AC = AD$,$BC = BD$,则(

A.$AB垂直平分CD$
B.$CD垂直平分AB$
C.$AB与CD$互相垂直平分
D.$CD平分\angle ACB$
A
)A.$AB垂直平分CD$
B.$CD垂直平分AB$
C.$AB与CD$互相垂直平分
D.$CD平分\angle ACB$
答案:
A
7.如图,在四边形$ABCD$中,$AB = AD$,$BC边的垂直平分线MN经过A$点,连接$AC$,求证:点$A在CD$的垂直平分线上。
证明:∵MN垂直平分BC,
∴
∵AB=AD,
∴
∴点A在CD的垂直平分线上。
证明:∵MN垂直平分BC,
∴
AB=AC
。∵AB=AD,
∴
AC=AD
。∴点A在CD的垂直平分线上。
答案:
解: $MN$ 垂直平分 $BC$,
$\therefore AB = AC$,
$\because AB = AD$,$\therefore AC = AD$,
$\therefore$ 点 $A$ 在 $CD$ 的垂直平分线上。
$\therefore AB = AC$,
$\because AB = AD$,$\therefore AC = AD$,
$\therefore$ 点 $A$ 在 $CD$ 的垂直平分线上。
8.(教材$P70T5$改编)如图,$AB = AC$,$DB = DC$,$E在直线AD$上,求证:$BE = CE$。

证明: $\because AB = AC$,$DB = DC$,
$\therefore AD$ 为 $BC$ 的垂直平分线,
又 $\because E$ 在直线 $AD$ 上,
$\therefore$
证明: $\because AB = AC$,$DB = DC$,
$\therefore AD$ 为 $BC$ 的垂直平分线,
又 $\because E$ 在直线 $AD$ 上,
$\therefore$
$BE = CE$
。
答案:
证明: $\because AB = AC$,$DB = DC$,
$\therefore AD$ 为 $BC$ 的垂直平分线,
又 $\because E$ 在直线 $AD$ 上,
$\therefore BE = CE$。
$\therefore AD$ 为 $BC$ 的垂直平分线,
又 $\because E$ 在直线 $AD$ 上,
$\therefore BE = CE$。
查看更多完整答案,请扫码查看