第10页
- 第1页
- 第2页
- 第3页
- 第4页
- 第5页
- 第6页
- 第7页
- 第8页
- 第9页
- 第10页
- 第11页
- 第12页
- 第13页
- 第14页
- 第15页
- 第16页
- 第17页
- 第18页
- 第19页
- 第20页
- 第21页
- 第22页
- 第23页
- 第24页
- 第25页
- 第26页
- 第27页
- 第28页
- 第29页
- 第30页
- 第31页
- 第32页
- 第33页
- 第34页
- 第35页
- 第36页
- 第37页
- 第38页
- 第39页
- 第40页
- 第41页
- 第42页
- 第43页
- 第44页
- 第45页
- 第46页
- 第47页
- 第48页
- 第49页
- 第50页
- 第51页
- 第52页
- 第53页
- 第54页
- 第55页
- 第56页
- 第57页
- 第58页
- 第59页
- 第60页
- 第61页
- 第62页
- 第63页
- 第64页
- 第65页
- 第66页
- 第67页
- 第68页
- 第69页
- 第70页
- 第71页
- 第72页
- 第73页
- 第74页
- 第75页
- 第76页
- 第77页
- 第78页
- 第79页
- 第80页
- 第81页
- 第82页
- 第83页
- 第84页
- 第85页
- 第86页
- 第87页
- 第88页
- 第89页
- 第90页
- 第91页
- 第92页
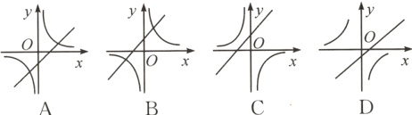
【例】(答题模板)如图,二次函数$y = ax^{2}+bx + c$的图象如图所示,则一次函数$y = ax - b$和反比例函数$y=\frac{c}{x}$在同一平面直角坐标系中的图象大致是( )

解:抛物线开口向上,则$a$_____$0$,与$y$轴交于负半轴,则$c$_____$0$;对称轴在$y$轴左侧,则$a$与$b$_____号,故$b$_____$0$;根据$a$_____$0$,$-b$_____$0$可知直线呈_____趋势,与$y$轴交于_______;根据$c$_____$0$,可知双曲线分布在第_______象限,故答案是_____.

解:抛物线开口向上,则$a$_____$0$,与$y$轴交于负半轴,则$c$_____$0$;对称轴在$y$轴左侧,则$a$与$b$_____号,故$b$_____$0$;根据$a$_____$0$,$-b$_____$0$可知直线呈_____趋势,与$y$轴交于_______;根据$c$_____$0$,可知双曲线分布在第_______象限,故答案是_____.
答案:
D > < 同 > > < 上升 负半轴 < 二、四 D
1.(2024·大庆)在同一平面直角坐标系中,一次函数$y = kx - k$与反比例函数$y=\frac{k}{|x|}$的大致图象为( )

答案:
1.C
2.(2024·河南模拟)若函数$y=\frac{k}{x}$与$y = ax^{2}+bx + c$的图象如图所示,则函数$y = kx + c$的大致图象为( )

答案:
2.C
3.(2024·安徽二模)已知二次函数$y = ax^{2}+bx + c(a\neq0)$的图象如图所示,则一次函数$y = ax + c$和反比例函数$y=\frac{b}{x}$的图象可能为( )


答案:
3.C
4.(2024·济宁二模)已知二次函数$y = ax^{2}+bx + c$的图象如图所示,则一次函数$y = ax + c$的图象和反比例函数$y=\frac{a + b + c}{x}$的图象在同一坐标系中大致为( )


答案:
4.C
4.C
查看更多完整答案,请扫码查看