第36页
- 第1页
- 第2页
- 第3页
- 第4页
- 第5页
- 第6页
- 第7页
- 第8页
- 第9页
- 第10页
- 第11页
- 第12页
- 第13页
- 第14页
- 第15页
- 第16页
- 第17页
- 第18页
- 第19页
- 第20页
- 第21页
- 第22页
- 第23页
- 第24页
- 第25页
- 第26页
- 第27页
- 第28页
- 第29页
- 第30页
- 第31页
- 第32页
- 第33页
- 第34页
- 第35页
- 第36页
- 第37页
- 第38页
- 第39页
- 第40页
- 第41页
- 第42页
- 第43页
- 第44页
- 第45页
- 第46页
- 第47页
- 第48页
- 第49页
- 第50页
- 第51页
- 第52页
- 第53页
- 第54页
- 第55页
- 第56页
- 第57页
- 第58页
- 第59页
- 第60页
- 第61页
- 第62页
- 第63页
- 第64页
- 第65页
- 第66页
- 第67页
- 第68页
- 第69页
- 第70页
- 第71页
- 第72页
- 第73页
- 第74页
- 第75页
- 第76页
- 第77页
- 第78页
- 第79页
- 第80页
- 第81页
- 第82页
- 第83页
- 第84页
- 第85页
- 第86页
- 第87页
- 第88页
- 第89页
- 第90页
- 第91页
- 第92页
8. 如图,BE,CD是△ABC的中线,BE和CD相交于O,连接DE.下列结论:
①$\frac{DE}{BC}=\frac{1}{2}$;②$\frac{S_{△DOE}}{S_{△BOC}}=\frac{1}{2}$;③$\frac{C_{△DOE}}{C_{△BOC}}=\frac{1}{2}$;
④$\frac{AD}{AB}=\frac{OD}{OC}$;⑤$S_{△BOD}=2S_{△DOE}=S_{△COE}$.其中正确的结论有( )

A.5个
B.4个
C.3个
D.2个
①$\frac{DE}{BC}=\frac{1}{2}$;②$\frac{S_{△DOE}}{S_{△BOC}}=\frac{1}{2}$;③$\frac{C_{△DOE}}{C_{△BOC}}=\frac{1}{2}$;
④$\frac{AD}{AB}=\frac{OD}{OC}$;⑤$S_{△BOD}=2S_{△DOE}=S_{△COE}$.其中正确的结论有( )
A.5个
B.4个
C.3个
D.2个
答案:
B
9.(教材P43习题T12改编)
如图,在△ABC中,点D,E分别在边AB和AC上,且DE//BC.
(1)若AD:DB = 1:2,则△ADE与△ABC的周长比是________,$S_{△ADE}:S_{四边形DBCE}$=________;
(2)过点A作AG⊥BC于G,交DE于H,若△ADE与△ABC的周长比是1:3,则AH:GH的值是________;
(3)若$S_{△ADE}=S_{四边形DBCE}$,则AD:AB = ________.

如图,在△ABC中,点D,E分别在边AB和AC上,且DE//BC.
(1)若AD:DB = 1:2,则△ADE与△ABC的周长比是________,$S_{△ADE}:S_{四边形DBCE}$=________;
(2)过点A作AG⊥BC于G,交DE于H,若△ADE与△ABC的周长比是1:3,则AH:GH的值是________;
(3)若$S_{△ADE}=S_{四边形DBCE}$,则AD:AB = ________.
答案:
(1)1 : 3,$\frac{1}{8}$
(2)$\frac{1}{2}$
(3)$\sqrt{2}$ : 2
(1)1 : 3,$\frac{1}{8}$
(2)$\frac{1}{2}$
(3)$\sqrt{2}$ : 2
10. 如图,在△ABC中,点D,E,F分别在边AB,AC,BC上,连接DE,EF.已知四边形BFED是平行四边形,$\frac{DE}{BC}=\frac{1}{4}$.
(1)若AB = 8,则线段AD的长是________;
(2)若△ADE的面积为1,求平行四边形BFED的面积.

(1)若AB = 8,则线段AD的长是________;
(2)若△ADE的面积为1,求平行四边形BFED的面积.
答案:
(1)2 解:
(2)$\because\triangle ADE\sim\triangle ABC$,$\therefore\frac{S_{\triangle ADE}}{S_{\triangle ABC}} = (\frac{DE}{BC})^2 = (\frac{1}{4})^2=\frac{1}{16}$.$\because\triangle ADE$的面积为 1,$\therefore\triangle ABC$的面积是 16.$\because$四边形$BFED$是平行四边形,$\therefore EF// AB$.$\therefore\triangle EFC\sim\triangle ABC$,$\frac{S_{\triangle EFC}}{S_{\triangle ABC}} = (\frac{3}{4})^2=\frac{9}{16}$.$\therefore\triangle EFC$的面积为 9.$\therefore$平行四边形$BFED$的面积$=16 - 9 - 1 = 6$.
(1)2 解:
(2)$\because\triangle ADE\sim\triangle ABC$,$\therefore\frac{S_{\triangle ADE}}{S_{\triangle ABC}} = (\frac{DE}{BC})^2 = (\frac{1}{4})^2=\frac{1}{16}$.$\because\triangle ADE$的面积为 1,$\therefore\triangle ABC$的面积是 16.$\because$四边形$BFED$是平行四边形,$\therefore EF// AB$.$\therefore\triangle EFC\sim\triangle ABC$,$\frac{S_{\triangle EFC}}{S_{\triangle ABC}} = (\frac{3}{4})^2=\frac{9}{16}$.$\therefore\triangle EFC$的面积为 9.$\therefore$平行四边形$BFED$的面积$=16 - 9 - 1 = 6$.
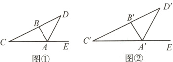
11.【一日一优】【新中考·新定义型阅读理解题】定义:三角形的顶点到该角的外角平分线与该角对边所在直线的交点之间的连线叫做三角形的“外角平分线”.我们在学习相似三角形的性质时,证明过“两个相似三角形对应边上的高、中线和对应角的平分线之比都等于相似比”,猜想“两个相似三角形对应角的外角平分线之比是不是也等于相似比?”例如:如图,已知△ABC∽△A'B'C',且△ABC与△A'B'C'的相似比为k,AD,A'D'分别是△ABC,△A'B'C'的外角平分线,那么$\frac{AD}{A'D'}=k$是否成立?如果不成立,请说明理由;如果成立,请结合图①,图②加以证明.

答案:
解:$\frac{AD}{A'D'}=k$成立,证明如下:$\because\triangle ABC\sim\triangle A'B'C'$,且相似比是$k$,$\therefore\angle BAC=\angle B'A'C'$,$\angle ABC=\angle A'B'C'$,$\frac{AB}{A'B'}=k$.$\therefore\angle BAE=\angle B'A'E'$,$\angle ABD=\angle A'B'D'$.$\because AD$,$A'D'$分别是$\angle BAE$和$\angle B'A'E'$的平分线,$\therefore\angle BAD=\frac{1}{2}\angle BAE$,$\angle B'A'D'=\frac{1}{2}\angle B'A'E'$.$\therefore\angle BAD=\angle B'A'D'$. 又$\because\angle ABD=\angle A'B'D'$,$\therefore\triangle ABD\sim\triangle A'B'D'$.$\therefore\frac{AD}{A'D'}=\frac{AB}{A'B'}=k$.
查看更多完整答案,请扫码查看