第9页
- 第1页
- 第2页
- 第3页
- 第4页
- 第5页
- 第6页
- 第7页
- 第8页
- 第9页
- 第10页
- 第11页
- 第12页
- 第13页
- 第14页
- 第15页
- 第16页
- 第17页
- 第18页
- 第19页
- 第20页
- 第21页
- 第22页
- 第23页
- 第24页
- 第25页
- 第26页
- 第27页
- 第28页
- 第29页
- 第30页
- 第31页
- 第32页
- 第33页
- 第34页
- 第35页
- 第36页
- 第37页
- 第38页
- 第39页
- 第40页
- 第41页
- 第42页
- 第43页
- 第44页
- 第45页
- 第46页
- 第47页
- 第48页
- 第49页
- 第50页
- 第51页
- 第52页
- 第53页
- 第54页
- 第55页
- 第56页
- 第57页
- 第58页
- 第59页
- 第60页
- 第61页
- 第62页
- 第63页
- 第64页
- 第65页
- 第66页
- 第67页
- 第68页
- 第69页
- 第70页
- 第71页
- 第72页
- 第73页
- 第74页
- 第75页
- 第76页
- 第77页
- 第78页
- 第79页
- 第80页
- 第81页
- 第82页
- 第83页
- 第84页
- 第85页
1. 已知压力 $ F $ 一定,则压强 $ p $ 与受力面积 $ S $ 之间的函数表达式为
$ p=\frac{F}{S} $
.
答案:
$ p=\frac{F}{S} $
2. 矩形的面积 $ S $ 一定,长 $ y $ 与宽 $ x $ 之间的函数表达式为
$ y=\frac{S}{x} $
.
答案:
$ y=\frac{S}{x} $
3. 行驶的路程 $ s $ 一定,则行驶的速度 $ v $ 与行驶的时间 $ t $ 的函数表达式为
$ v=\frac{s}{t} $
.
答案:
$ v=\frac{s}{t} $
1. 《长沙晚报》对外发布长沙高铁西站设计方案,该方案以“三湘四水,杜鹃花开”为设计理念,塑造出“杜鹃花开”的美丽姿态. 该高铁站建设初期需要运送大量土石方,某运输公司承担了运送总量为 $ 10^{6}m^{3} $ 土石方的任务,该运输公司平均运送土石方的速度 $ v $(单位:$ m^{3}/ $ 天)与完成运送任务所需时间 $ t $(单位:天)之间的函数表达式是(
A.$ v= \frac{10^{6}}{t} $
B.$ v= 10^{6}t $
C.$ v= \frac{1}{10^{6}}t^{2} $
D.$ v= 10^{6}t^{2} $
A
)A.$ v= \frac{10^{6}}{t} $
B.$ v= 10^{6}t $
C.$ v= \frac{1}{10^{6}}t^{2} $
D.$ v= 10^{6}t^{2} $
答案:
A
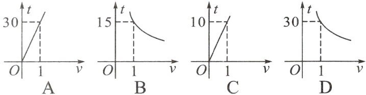
2. (铜仁市期末)已知甲、乙两地相距 30 千米,汽车从甲地匀速行驶到乙地,则汽车行驶时间 $ t $(单位:时)关于行驶速度 $ v $(单位:千米/时)的函数图象为(

D
)
答案:
D
3. (怀化市中考)已知压力 $ F(N) $、压强 $ p(Pa) $ 与受力面积 $ S(m^{2}) $ 之间有如下关系式:$ F = pS $. 当 $ F $ 为定值时,如图中大致表示压强 $ p $ 与受力面积 $ S $ 之间函数关系的是(

D
)
答案:
D
4. (湖南省中考)在一定条件下,乐器中弦振动的频率 $ f $ 与弦长 $ l $ 成反比例关系,即 $ f= \frac{k}{l} $($ k $ 为常数,$ k \neq 0 $). 若某乐器的弦长 $ l $ 为 0.9 米,振动频率 $ f $ 为 200 赫兹,则 $ k $ 的值为
180
.
答案:
180
5. (吉林省中考)已知蓄电池的电压为定值,使用蓄电池时,电流 $ I $(单位:$ A $)与电阻 $ R $(单位:$ \Omega $)是反比例函数关系,它的图象如图所示.
(1)求这个反比例函数的表达式(不要求写出自变量 $ R $ 的取值范围).
(2)当电阻 $ R $ 为 $ 3\Omega $ 时,求此时的电流 $ I $.

(1)求这个反比例函数的表达式(不要求写出自变量 $ R $ 的取值范围).
(2)当电阻 $ R $ 为 $ 3\Omega $ 时,求此时的电流 $ I $.
答案:
(1)解:设$ I=\frac{U}{R} $,由题意得:$ U=RI=9×4=36 $,
∴这个反比例函数的表达式为$ I=\frac{36}{R} $;
(2)电阻R为3Ω时,$ I=\frac{36}{3}=12(A) $.
(1)解:设$ I=\frac{U}{R} $,由题意得:$ U=RI=9×4=36 $,
∴这个反比例函数的表达式为$ I=\frac{36}{R} $;
(2)电阻R为3Ω时,$ I=\frac{36}{3}=12(A) $.
6. (邵阳武冈实验中学月考)某气球内充满了一定质量 $ m $ 的气体,当温度不变时,气球内气体的气压 $ p $(单位:$ kPa $)是气体体积 $ V $(单位:$ m^{3} $)的反比例函数:$ p= \frac{m}{V} $,能够反映两个变量 $ p $ 和 $ V $ 函数关系的图象是(

B
)
答案:
B
查看更多完整答案,请扫码查看