第6页
- 第1页
- 第2页
- 第3页
- 第4页
- 第5页
- 第6页
- 第7页
- 第8页
- 第9页
- 第10页
- 第11页
- 第12页
- 第13页
- 第14页
- 第15页
- 第16页
- 第17页
- 第18页
- 第19页
- 第20页
- 第21页
- 第22页
- 第23页
- 第24页
- 第25页
- 第26页
- 第27页
- 第28页
- 第29页
- 第30页
- 第31页
- 第32页
- 第33页
- 第34页
- 第35页
- 第36页
- 第37页
- 第38页
- 第39页
- 第40页
- 第41页
- 第42页
- 第43页
- 第44页
- 第45页
- 第46页
- 第47页
- 第48页
- 第49页
- 第50页
- 第51页
- 第52页
- 第53页
- 第54页
- 第55页
- 第56页
- 第57页
- 第58页
- 第59页
- 第60页
- 第61页
- 第62页
- 第63页
- 第64页
- 第65页
- 第66页
- 第67页
- 第68页
- 第69页
- 第70页
- 第71页
- 第72页
- 第73页
- 第74页
- 第75页
- 第76页
- 第77页
- 第78页
- 第79页
- 第80页
- 第81页
- 第82页
- 第83页
- 第84页
- 第85页
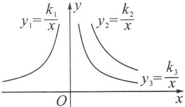
9. 如图是三个反比例函数 $y_1= \dfrac{k_1}{x}$,$y_2= \dfrac{k_2}{x}$,$y_3= \dfrac{k_3}{x}$ 在 $x$ 轴上方的图象,由此观察得到 $k_1$,$k_2$,$k_3$ 的大小关系为(

A.$k_1>k_2>k_3$
B.$k_3>k_1>k_2$
C.$k_2>k_3>k_1$
D.$k_3>k_2>k_1$
C
)A.$k_1>k_2>k_3$
B.$k_3>k_1>k_2$
C.$k_2>k_3>k_1$
D.$k_3>k_2>k_1$
答案:
C
10. (教材第 12 页练习第 2 题变式)设有反比例函数 $y= \dfrac{k + 1}{x}$,$(x_1,y_1)$,$(x_2,y_2)$ 为其图象上两点,若 $x_1<0<x_2$,$y_1>y_2$,则 $k$ 的取值范围是
k<−1
。
答案:
k<−1
11. 若点 $A(x_1,-2)$,$B(x_2,3)$,$C(x_3,4)$ 都在反比例函数 $y= -\dfrac{12}{x}$ 的图象上,则 $x_1$,$x_2$,$x_3$ 的大小关系是
$x_{1}>x_{3}>x_{2}$
。
答案:
$x_{1}>x_{3}>x_{2}$
12. (邵阳绥宁县期末)已知函数 $y= (k - 3)x^{8 - k^2}$ 为反比例函数。
(1)求 $k$ 的值;
(2)它的图象在第
(3)当 $-2\leq x\leq -\dfrac{1}{2}$ 时,此函数的最大值和最小值分别为多少?
(1)求 $k$ 的值;
(2)它的图象在第
二、四
象限内,在各象限内,$y$ 随 $x$ 的增大而增大
(填变化情况);(3)当 $-2\leq x\leq -\dfrac{1}{2}$ 时,此函数的最大值和最小值分别为多少?
(1)解:k=-3. (3)当x=-2时,$y_{最小}=3$;当x=-$\frac{1}{2}$时,$y_{最大}=12$.
答案:
(1)解:k=-3. (2)二、四 增大
(3)当x=-2时,$y_{最小}=3$;当x=-$\frac{1}{2}$时,$y_{最大}=12$.
(3)当x=-2时,$y_{最小}=3$;当x=-$\frac{1}{2}$时,$y_{最大}=12$.
13. (探究新函数)参照学习函数的过程与方法,探究函数 $y= \dfrac{x - 2}{x}(x\neq0)$ 的图象与性质,因为 $y= \dfrac{x - 2}{x}= 1-\dfrac{2}{x}$,即 $y= -\dfrac{2}{x}+1$,所以我们对比函数 $y= -\dfrac{2}{x}$ 来探究。
列表如下:

描点:在平面直角坐标系中,以自变量 $x$ 的取值为横坐标,以 $y= \dfrac{x - 2}{x}$ 相应的函数值为纵坐标,描出了相应的点如图所示。
(1)请你把 $y$ 轴左边各点和右边各点,分别用一条光滑曲线依次连接起来;
(2)观察图象并分析表格,回答下列问题:
①当 $x<0$ 时,$y$ 随 $x$ 的增大而____;(填“增大”或“减小”)
② $y= \dfrac{x - 2}{x}$ 的图象关于点____中心对称。(填点的坐标)

列表如下:
描点:在平面直角坐标系中,以自变量 $x$ 的取值为横坐标,以 $y= \dfrac{x - 2}{x}$ 相应的函数值为纵坐标,描出了相应的点如图所示。
(1)请你把 $y$ 轴左边各点和右边各点,分别用一条光滑曲线依次连接起来;
(2)观察图象并分析表格,回答下列问题:
①当 $x<0$ 时,$y$ 随 $x$ 的增大而____;(填“增大”或“减小”)
② $y= \dfrac{x - 2}{x}$ 的图象关于点____中心对称。(填点的坐标)
答案:
(1)解:画出图象如图所示

(2)①增大 ②(0,1)
(1)解:画出图象如图所示
(2)①增大 ②(0,1)
查看更多完整答案,请扫码查看