第46页
- 第4页
- 第5页
- 第6页
- 第7页
- 第8页
- 第9页
- 第10页
- 第11页
- 第12页
- 第13页
- 第14页
- 第15页
- 第16页
- 第17页
- 第18页
- 第19页
- 第20页
- 第21页
- 第22页
- 第23页
- 第24页
- 第25页
- 第26页
- 第27页
- 第28页
- 第29页
- 第30页
- 第31页
- 第32页
- 第33页
- 第34页
- 第35页
- 第36页
- 第37页
- 第38页
- 第39页
- 第40页
- 第41页
- 第42页
- 第43页
- 第44页
- 第45页
- 第46页
- 第47页
- 第48页
- 第49页
- 第50页
- 第51页
- 第52页
- 第53页
- 第54页
- 第55页
- 第56页
- 第57页
- 第58页
- 第59页
- 第60页
- 第61页
- 第62页
- 第63页
- 第64页
- 第65页
- 第66页
- 第67页
- 第68页
- 第69页
- 第70页
- 第71页
- 第72页
- 第73页
- 第74页
- 第75页
- 第76页
- 第77页
- 第78页
- 第79页
- 第80页
- 第81页
- 第82页
- 第83页
- 第84页
- 第85页
- 第86页
- 第87页
- 第88页
- 第89页
- 第90页
- 第91页
- 第92页
- 第93页
- 第94页
- 第95页
- 第96页
- 第97页
- 第98页
- 第99页
- 第100页
- 第101页
- 第102页
- 第103页
- 第104页
- 第105页
- 第106页
- 第107页
- 第108页
- 第109页
11.若有理数a,b,c满足$(a-1)^{2}+(2a-b)^{4}+|3c+1|= 0$。求$(c-a)^{2}+c^{3}-b$的值。
答案:
$-\frac{7}{27}$
12.(2025·重庆育才)二维码在我们日常生活中的应用越来越广泛,它是用某种待定的几何图形按照一定的规律在平面分布的、黑白相间的、记录数据符号信息的图形;在代码编制上巧妙利用构成计算机内部逻辑基础的“0”,“1”,使用若干个与二进制相对应的几何图形来表示数值(灰色代表1,白色代表0)。如图是某次考试中两位同学的准考证号的二维码的简易编码,如图1是同学小胡的准考证号的二维码的简易编码,其中第一行代表二进制的数字11000,转化成10进制为:$1×2^{4}+1×2^{3}+0×2^{2}+0×2^{1}+0×2^{0}$(提示:$2^{0}= 1$)= 24,同理,第二行至第五行代表二进制的数字分别为1110,111,11100,1101,转化成10进制为:14,07,28,13。将五行编码组合到一起就是小胡的准考证号2414072813,其中第一行编码“24”和第二行编码“14”表示区域和学校,第三行编码“07”表示班级为07班,第四行编码“28”表示考场号为28,第五行编码“13”表示座位号是13。若图2是本次考试小张同学的准考证号的二维码的简易编码,则小张的准考证号为( )

A.2410252110
B.2010272108
C.2212272408
D.2410272108
A.2410252110
B.2010272108
C.2212272408
D.2410272108
答案:
D
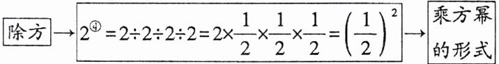
13.规定:求若干个相同的有理数(均不等于0)的除法运算叫作除方,如$2÷2÷2$,$(-3)÷(-3)÷(-3)÷(-3)$等。类比有理数的乘方,我们把$2÷2÷2记作2^{\circled{3}}$,读作“2的圈3次方”,$(-3)÷(-3)÷(-3)÷(-3)记作(-3)^{\circled{4}}$,读作“-3的圈4次方”。一般地,把$a÷a÷a÷…÷a$(a≠0)c个a记作$a^{\circled{c}}$,读作“a的圈c次方”。
【初步探究】
(1)直接写出计算结果:$3^{\circled{3}}= $______;$(-\frac{1}{2})^{\circled{5}}= $______;
(2)关于除方,下列说法错误的是______;
A.任何非零数的圈2次方都等于1
B.对于任何正整数n,$1^{\circled{n}}= 1$
C.$3^{\circled{4}}= 4^{\circled{3}}$
D.负数的圈奇数次方结果是负数,负数的圈偶数次方结果是正数
【深入思考】
(3)我们知道,有理数的减法运算可以转化为加法运算,除法运算可以转化为乘法运算,那么有理数的除方运算如何转化为乘方运算呢?
除方→$2^{\circled{3}}= 2÷2÷2= 2×\frac{1}{2}×\frac{1}{2}= (\frac{1}{2})^{2}$乘方幂的形式

Ⅰ.试一试:仿照上面的算式,将下列运算结果直接写成幂的形式:$(-3)^{\circled{4}}= $______;$5^{\circled{6}}= $______;
Ⅱ.想一想:将一个非零有理数a的圈n(n≥2,且n为整数)次方写成幂的形式:$a^{\circled{n}}= $______;
Ⅲ.算一算:$(-\frac{1}{3})^{\circled{4}}+(-2)^{\circled{5}}-(-\frac{1}{3})^{\circled{6}}÷3^{3}$。
【初步探究】
(1)直接写出计算结果:$3^{\circled{3}}= $______;$(-\frac{1}{2})^{\circled{5}}= $______;
(2)关于除方,下列说法错误的是______;
A.任何非零数的圈2次方都等于1
B.对于任何正整数n,$1^{\circled{n}}= 1$
C.$3^{\circled{4}}= 4^{\circled{3}}$
D.负数的圈奇数次方结果是负数,负数的圈偶数次方结果是正数
【深入思考】
(3)我们知道,有理数的减法运算可以转化为加法运算,除法运算可以转化为乘法运算,那么有理数的除方运算如何转化为乘方运算呢?
除方→$2^{\circled{3}}= 2÷2÷2= 2×\frac{1}{2}×\frac{1}{2}= (\frac{1}{2})^{2}$乘方幂的形式
Ⅰ.试一试:仿照上面的算式,将下列运算结果直接写成幂的形式:$(-3)^{\circled{4}}= $______;$5^{\circled{6}}= $______;
Ⅱ.想一想:将一个非零有理数a的圈n(n≥2,且n为整数)次方写成幂的形式:$a^{\circled{n}}= $______;
Ⅲ.算一算:$(-\frac{1}{3})^{\circled{4}}+(-2)^{\circled{5}}-(-\frac{1}{3})^{\circled{6}}÷3^{3}$。
答案:
(1)$\frac{1}{3}$ -8
(2)C
(3)Ⅰ.$(-\frac{1}{3})^{2}$ $(\frac{1}{5})^{4}$ Ⅱ.$(\frac{1}{a})^{n-2}$ Ⅲ.$\frac{47}{8}$
(1)$\frac{1}{3}$ -8
(2)C
(3)Ⅰ.$(-\frac{1}{3})^{2}$ $(\frac{1}{5})^{4}$ Ⅱ.$(\frac{1}{a})^{n-2}$ Ⅲ.$\frac{47}{8}$
查看更多完整答案,请扫码查看