2025年53精准练八年级数学下册北师大版山西专版
注:目前有些书本章节名称可能整理的还不是很完善,但都是按照顺序排列的,请同学们按照顺序仔细查找。练习册 2025年53精准练八年级数学下册北师大版山西专版 答案主要是用来给同学们做完题方便对答案用的,请勿直接抄袭。
第81页
- 第1页
- 第2页
- 第3页
- 第4页
- 第5页
- 第6页
- 第7页
- 第8页
- 第9页
- 第10页
- 第11页
- 第12页
- 第13页
- 第14页
- 第15页
- 第16页
- 第17页
- 第18页
- 第19页
- 第20页
- 第21页
- 第22页
- 第23页
- 第24页
- 第25页
- 第26页
- 第27页
- 第28页
- 第29页
- 第30页
- 第31页
- 第32页
- 第33页
- 第34页
- 第35页
- 第36页
- 第37页
- 第38页
- 第39页
- 第40页
- 第41页
- 第42页
- 第43页
- 第44页
- 第45页
- 第46页
- 第47页
- 第48页
- 第49页
- 第50页
- 第51页
- 第52页
- 第53页
- 第54页
- 第55页
- 第56页
- 第57页
- 第58页
- 第59页
- 第60页
- 第61页
- 第62页
- 第63页
- 第64页
- 第65页
- 第66页
- 第67页
- 第68页
- 第69页
- 第70页
- 第71页
- 第72页
- 第73页
- 第74页
- 第75页
- 第76页
- 第77页
- 第78页
- 第79页
- 第80页
- 第81页
- 第82页
- 第83页
- 第84页
- 第85页
- 第86页
- 第87页
- 第88页
- 第89页
- 第90页
- 第91页
- 第92页
- 第93页
6. 一块麦田有$m\ km^{2}$,甲收完这块麦田需要$n\ h$,乙比甲少用$0.5\ h$就能收割完这块麦田,两人一起收割完这块麦田需要 ( )
A. $\frac{n^{2}-0.5n}{2n - 0.5}\ h$
B. $\frac{n - 0.5}{2n - 0.5}\ h$
C. $\frac{n^{2}}{2}\ h$
D. $\frac{2n - 0.5}{n^{2}-0.5n}\ h$
A. $\frac{n^{2}-0.5n}{2n - 0.5}\ h$
B. $\frac{n - 0.5}{2n - 0.5}\ h$
C. $\frac{n^{2}}{2}\ h$
D. $\frac{2n - 0.5}{n^{2}-0.5n}\ h$
答案:
A
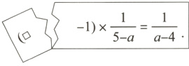
7. [2024大同三模]如图所示,小敏同学不小心将分式运算的作业撕坏了一角,若已知该运算正确,则撕坏的部分中“□”代表的是________.

答案:
$\frac{1}{a - 4}$
8. [2024嘉兴期末改编]如图,已知正方形ABCD和正方形CEFG,点E在CD边上,连接AG交CD于点H,连接BE,BH,GE.若正方形CEFG的边长为$a$,则图中阴影部分的面积为__________.
答案:
$\frac{a^{2}}{2}$
详解: 如图, 延长 GF 交 AD 的延长线于点 M, 则∠M = 90°.
已知正方形 CEFG 的边长为 a, 设正方形 ABCD 的边长为 b, DH = m, 则 GM = b, DM = a, AM = a + b, DE = b - a.
∵$S_{\triangle AGM}=S_{\triangle ADH}+S_{梯形 DHGM}$,
即$\frac{1}{2}GM\cdot AM=\frac{1}{2}DH\cdot AD+\frac{1}{2}(DH + GM)\cdot DM$,
∴$\frac{1}{2}b\cdot(a + b)=\frac{1}{2}m\cdot b+\frac{1}{2}(m + b)\cdot a$,
∴$m=\frac{b^{2}}{a + b}$,
∴$EH = DH - DE=\frac{b^{2}}{a + b}-(b - a)=\frac{a^{2}}{a + b}$,
∴$S_{阴影}=S_{\triangle BEH}+S_{\triangle GEH}=\frac{1}{2}EH\cdot(BC + CG)=\frac{1}{2}\cdot\frac{a^{2}}{a + b}\cdot(b + a)=\frac{a^{2}}{2}$.
详解: 如图, 延长 GF 交 AD 的延长线于点 M, 则∠M = 90°.
已知正方形 CEFG 的边长为 a, 设正方形 ABCD 的边长为 b, DH = m, 则 GM = b, DM = a, AM = a + b, DE = b - a.
∵$S_{\triangle AGM}=S_{\triangle ADH}+S_{梯形 DHGM}$,
即$\frac{1}{2}GM\cdot AM=\frac{1}{2}DH\cdot AD+\frac{1}{2}(DH + GM)\cdot DM$,
∴$\frac{1}{2}b\cdot(a + b)=\frac{1}{2}m\cdot b+\frac{1}{2}(m + b)\cdot a$,
∴$m=\frac{b^{2}}{a + b}$,
∴$EH = DH - DE=\frac{b^{2}}{a + b}-(b - a)=\frac{a^{2}}{a + b}$,
∴$S_{阴影}=S_{\triangle BEH}+S_{\triangle GEH}=\frac{1}{2}EH\cdot(BC + CG)=\frac{1}{2}\cdot\frac{a^{2}}{a + b}\cdot(b + a)=\frac{a^{2}}{2}$.
9. [2023朔州期末]先化简,再求值:$\frac{2}{a - 3}+\frac{a}{a^{2}-9}\div\frac{a^{2}-4a}{a + 3}$,其中$a$,2,4为$\triangle ABC$的三边长,且$a$为整数.
答案:
解: 原式=$\frac{2}{a - 3}+\frac{a}{(a + 3)(a - 3)}\cdot\frac{a + 3}{a(a - 4)}=\frac{2}{a - 3}+\frac{1}{(a - 3)(a - 4)}=\frac{2a - 8 + 1}{(a - 3)(a - 4)}=\frac{2a - 7}{(a - 3)(a - 4)}$.
∵ a, 2, 4 为△ABC 的三边长,
∴ 2 < a < 6,
∴ 整数 a 为 3, 4, 5,
∵ a - 3≠0 且 a - 4≠0,
∴ a 的值为 5.
当 a = 5 时,
原式=$\frac{2\times5 - 7}{(5 - 3)\times(5 - 4)}=\frac{3}{2}$.
∵ a, 2, 4 为△ABC 的三边长,
∴ 2 < a < 6,
∴ 整数 a 为 3, 4, 5,
∵ a - 3≠0 且 a - 4≠0,
∴ a 的值为 5.
当 a = 5 时,
原式=$\frac{2\times5 - 7}{(5 - 3)\times(5 - 4)}=\frac{3}{2}$.
10. [新定义]定义:若分式$A$与分式$B$的和等于它们的积,即$A + B = AB$,则称分式$A$与分式$B$互为“等和积分式”.如$\frac{2}{1 + x}$与$\frac{2}{1 - x}$,因为$\frac{2}{1 + x}+\frac{2}{1 - x}=\frac{4}{(1 + x)(1 - x)}=\frac{2}{1 + x}\cdot\frac{2}{1 - x}$,所以$\frac{2}{1 + x}$与$\frac{2}{1 - x}$互为“等和积分式”,其中一个分式是另外一个分式的“等和积分式”.
(1)分式$\frac{2a}{a + 1}$与分式$\frac{2a}{a - 1}$________“等和积分式”(填“互为”或“不互为”).
(2)求分式$\frac{x}{x - 3y}$的“等和积分式”.
(3)①观察(1)(2)的结果,寻找规律,直接写出分式$\frac{b}{a}$的“等和积分式”:__________;
②用发现的规律解决问题:若$\frac{m - 1}{nx + 2x}$与$\frac{n + 1}{2m - mx}$互为“等和积分式”,求实数$m$,$n$的值.
(1)分式$\frac{2a}{a + 1}$与分式$\frac{2a}{a - 1}$________“等和积分式”(填“互为”或“不互为”).
(2)求分式$\frac{x}{x - 3y}$的“等和积分式”.
(3)①观察(1)(2)的结果,寻找规律,直接写出分式$\frac{b}{a}$的“等和积分式”:__________;
②用发现的规律解决问题:若$\frac{m - 1}{nx + 2x}$与$\frac{n + 1}{2m - mx}$互为“等和积分式”,求实数$m$,$n$的值.
答案:
解:
(1) 互为.
详解:
∵$\frac{2a}{a + 1}+\frac{2a}{a - 1}=\frac{2a(a - 1)+2a(a + 1)}{(a + 1)(a - 1)}=\frac{4a^{2}}{(a + 1)(a - 1)}=\frac{2a}{a + 1}\cdot\frac{2a}{a - 1}$,
∴ 分式$\frac{2a}{a + 1}$与分式$\frac{2a}{a - 1}$互为 “等和积分式”.
(2) 设分式$\frac{x}{x - 3y}$的 “等和积分式” 为 A, 则$\frac{x}{x - 3y}+A=\frac{x}{x - 3y}\cdot A$,
即$\frac{x}{x - 3y}=(\frac{x}{x - 3y}-1)A$,
∴$A=\frac{x}{x - 3y}\div(\frac{x}{x - 3y}-1)=\frac{x}{x - 3y}\cdot\frac{x - 3y}{3y}=\frac{x}{3y}$,
∴ 分式$\frac{x}{x - 3y}$的 “等和积分式” 为$\frac{x}{3y}$.
(3) ①$\frac{b}{b - a}$.
② 由规律可得$\frac{m - 1}{nx + 2x}$的 “等和积分式” 为$\frac{m - 1}{m - 1 - nx - 2x}$.
∵$\frac{m - 1}{nx + 2x}$与$\frac{n + 1}{2m - mx}$互为 “等和积分式”,
∴$\begin{cases}m - 1 - nx - 2x = 2m - mx\\m - 1 = n + 1\end{cases}$,
由 m - 1 = n + 1 得 n = m - 2,
将 n = m - 2 代入 m - 1 - nx - 2x = 2m - mx, 得 m - 1-(m - 2)x - 2x = 2m - mx,
∴ m = -1.
当 m = -1 时, n = -1 - 2 = -3.
因此 m = -1, n = -3.
(1) 互为.
详解:
∵$\frac{2a}{a + 1}+\frac{2a}{a - 1}=\frac{2a(a - 1)+2a(a + 1)}{(a + 1)(a - 1)}=\frac{4a^{2}}{(a + 1)(a - 1)}=\frac{2a}{a + 1}\cdot\frac{2a}{a - 1}$,
∴ 分式$\frac{2a}{a + 1}$与分式$\frac{2a}{a - 1}$互为 “等和积分式”.
(2) 设分式$\frac{x}{x - 3y}$的 “等和积分式” 为 A, 则$\frac{x}{x - 3y}+A=\frac{x}{x - 3y}\cdot A$,
即$\frac{x}{x - 3y}=(\frac{x}{x - 3y}-1)A$,
∴$A=\frac{x}{x - 3y}\div(\frac{x}{x - 3y}-1)=\frac{x}{x - 3y}\cdot\frac{x - 3y}{3y}=\frac{x}{3y}$,
∴ 分式$\frac{x}{x - 3y}$的 “等和积分式” 为$\frac{x}{3y}$.
(3) ①$\frac{b}{b - a}$.
② 由规律可得$\frac{m - 1}{nx + 2x}$的 “等和积分式” 为$\frac{m - 1}{m - 1 - nx - 2x}$.
∵$\frac{m - 1}{nx + 2x}$与$\frac{n + 1}{2m - mx}$互为 “等和积分式”,
∴$\begin{cases}m - 1 - nx - 2x = 2m - mx\\m - 1 = n + 1\end{cases}$,
由 m - 1 = n + 1 得 n = m - 2,
将 n = m - 2 代入 m - 1 - nx - 2x = 2m - mx, 得 m - 1-(m - 2)x - 2x = 2m - mx,
∴ m = -1.
当 m = -1 时, n = -1 - 2 = -3.
因此 m = -1, n = -3.
查看更多完整答案,请扫码查看