第69页
- 第1页
- 第2页
- 第3页
- 第4页
- 第5页
- 第6页
- 第7页
- 第8页
- 第9页
- 第10页
- 第11页
- 第12页
- 第13页
- 第14页
- 第15页
- 第16页
- 第17页
- 第18页
- 第19页
- 第20页
- 第21页
- 第22页
- 第23页
- 第24页
- 第25页
- 第26页
- 第27页
- 第28页
- 第29页
- 第30页
- 第31页
- 第32页
- 第33页
- 第34页
- 第35页
- 第36页
- 第37页
- 第38页
- 第39页
- 第40页
- 第41页
- 第42页
- 第43页
- 第44页
- 第45页
- 第46页
- 第47页
- 第48页
- 第49页
- 第50页
- 第51页
- 第52页
- 第53页
- 第54页
- 第55页
- 第56页
- 第57页
- 第58页
- 第59页
- 第60页
- 第61页
- 第62页
- 第63页
- 第64页
- 第65页
- 第66页
- 第67页
- 第68页
- 第69页
- 第70页
- 第71页
- 第72页
- 第73页
- 第74页
- 第75页
- 第76页
- 第77页
- 第78页
- 第79页
- 第80页
- 第81页
- 第82页
- 第83页
- 第84页
- 第85页
- 第86页
- 第87页
- 第88页
- 第89页
- 第90页
- 第91页
- 第92页
- 第93页
- 第94页
- 第95页
- 第96页
- 第97页
- 第98页
- 第99页
- 第100页
- 第101页
- 第102页
- 第103页
- 第104页
- 第105页
- 第106页
- 第107页
- 第108页
- 第109页
- 第110页
- 第111页
- 第112页
- 第113页
- 第114页
- 第115页
- 第116页
- 第117页
- 第118页
- 第119页
- 第120页
- 第121页
- 第122页
- 第123页
- 第124页
- 第125页
- 第126页
- 第127页
- 第128页
- 第129页
- 第130页
- 第131页
- 第132页
- 第133页
- 第134页
- 第135页
- 第136页
- 第137页
- 第138页
- 第139页
- 第140页
- 第141页
- 第142页
- 第143页
- 第144页
- 第145页
- 第146页
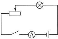
5.(2024·江西抚州期中)探究滑动变阻器的作用。下图所示的为利用滑动变阻器改变小灯泡亮度的实物连接图。

(1)在虚线框内画出相应的电路图;
(2)在开关闭合前,滑动变阻器的滑片P应该放在
(3)若要使灯泡变亮,滑片P应向
(4)某同学利用上述电路的工作原理设计并制作了一种自动测定油箱内油面高度的装置,如下图所示,从油量表指针所指的刻度就可以知道油面的高度。油量表其实是

(1)在虚线框内画出相应的电路图;
(2)在开关闭合前,滑动变阻器的滑片P应该放在
B
(选填“A”或“B”)端;(3)若要使灯泡变亮,滑片P应向
A
(选填“A”或“B”)端滑动;(4)某同学利用上述电路的工作原理设计并制作了一种自动测定油箱内油面高度的装置,如下图所示,从油量表指针所指的刻度就可以知道油面的高度。油量表其实是
电流
表;当油面升高时,滑动变阻器连入电路的阻值变小
(选填“变大”或“变小”),油量表示数变大
(选填“变大”或“变小”)。在该电路中,定值电阻R的作用是保护电路
。
答案:
5.
(1)如图所示。
(2)B
(3)A
(4)电流 变小 变大 保护电路
解析:
(1)先画出电源,然后顺次连接灯泡、滑动变阻器、开关以及电流表,如图所示。
(2)为了保护电路,所以闭合开关前,需将滑动变阻器的滑片移至阻值最大处,即B端。
(3)要使灯泡变亮,说明灯泡中的电流变大,所以滑动变阻器接入电路的阻值减小,即向A端移动。
(4)油量表串联在电路中,所以是电流表。油面升高时,滑片下移,滑动变阻器连入电路的电阻减小,电路中电流变大,所以油量表示数变大。当油箱装满油时,滑动变阻器接入电路的电阻最小,电路中的电流最大,此时定值电阻可以保护电路。
5.
(1)如图所示。
(2)B
(3)A
(4)电流 变小 变大 保护电路
解析:
(1)先画出电源,然后顺次连接灯泡、滑动变阻器、开关以及电流表,如图所示。
(2)为了保护电路,所以闭合开关前,需将滑动变阻器的滑片移至阻值最大处,即B端。
(3)要使灯泡变亮,说明灯泡中的电流变大,所以滑动变阻器接入电路的阻值减小,即向A端移动。
(4)油量表串联在电路中,所以是电流表。油面升高时,滑片下移,滑动变阻器连入电路的电阻减小,电路中电流变大,所以油量表示数变大。当油箱装满油时,滑动变阻器接入电路的电阻最小,电路中的电流最大,此时定值电阻可以保护电路。
6. 下图所示的电阻箱是通过改变接入电路中的电阻线的

长度
来改变电阻大小的,若只留下铜塞C并将其余铜塞拔出,则电阻箱接入电路的阻值是13
$ \Omega $。
答案:
6.长度 13
查看更多完整答案,请扫码查看