第81页
- 第1页
- 第2页
- 第3页
- 第4页
- 第5页
- 第6页
- 第7页
- 第8页
- 第9页
- 第10页
- 第11页
- 第12页
- 第13页
- 第14页
- 第15页
- 第16页
- 第17页
- 第18页
- 第19页
- 第20页
- 第21页
- 第22页
- 第23页
- 第24页
- 第25页
- 第26页
- 第27页
- 第28页
- 第29页
- 第30页
- 第31页
- 第32页
- 第33页
- 第34页
- 第35页
- 第36页
- 第37页
- 第38页
- 第39页
- 第40页
- 第41页
- 第42页
- 第43页
- 第44页
- 第45页
- 第46页
- 第47页
- 第48页
- 第49页
- 第50页
- 第51页
- 第52页
- 第53页
- 第54页
- 第55页
- 第56页
- 第57页
- 第58页
- 第59页
- 第60页
- 第61页
- 第62页
- 第63页
- 第64页
- 第65页
- 第66页
- 第67页
- 第68页
- 第69页
- 第70页
- 第71页
- 第72页
- 第73页
- 第74页
- 第75页
- 第76页
- 第77页
- 第78页
- 第79页
- 第80页
- 第81页
- 第82页
- 第83页
- 第84页
- 第85页
- 第86页
- 第87页
- 第88页
- 第89页
- 第90页
- 第91页
- 第92页
- 第93页
- 第94页
- 第95页
4.已知点A在直线y=2x上,且位于第一象限,点B为x轴正半轴上一点,AO=
AB,若线段AB上有一点C(xo,y。)
满足OA²=AC2+20,请问:点C的纵坐标随横坐标如何变化?
AB,若线段AB上有一点C(xo,y。)
满足OA²=AC2+20,请问:点C的纵坐标随横坐标如何变化?
答案:
点C的纵坐标y₀随横坐标x₀变化的函数表达式为y₀ = $\frac{8}{x₀}$,其中x₀≥2
5.如图Z5−4,撬钉子的工具是一个杠杆,动力臂L1=L.cosα,阻力臂L2=
l.cosβ.若动力F的用力方向始终保持竖直向下,阻力保持不变,则当杠杆向下运动时的动力变化情况是( ).
A.越来越小
B.不变
C.越来越大
D.无法确定
l.cosβ.若动力F的用力方向始终保持竖直向下,阻力保持不变,则当杠杆向下运动时的动力变化情况是( ).
A.越来越小
B.不变
C.越来越大
D.无法确定
答案:
A
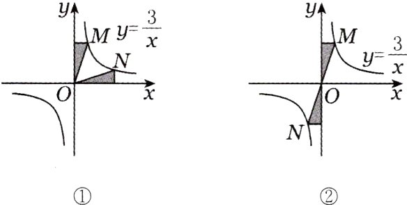
6.分别求出图Z5−5中阴影部分的面积:
(1)图①阴影部分的面积为______;
(2)图②阴影部分的面积为______;
(3)图③阴影部分的面积为______;
(4)图④阴影部分的面积为______.
(1)图①阴影部分的面积为______;
(2)图②阴影部分的面积为______;
(3)图③阴影部分的面积为______;
(4)图④阴影部分的面积为______.
答案:
(1)3
(2)3
(3)4
(4)3
(1)3
(2)3
(3)4
(4)3
7.已知在反比例函数y=$\frac{1−3m}{x}$的图象
上有两点A(x1,y1),B(x2,y2),
且x1<0<x2,y1<y2,则m的取值
范围是____________.
上有两点A(x1,y1),B(x2,y2),
且x1<0<x2,y1<y2,则m的取值
范围是____________.
答案:
m<$\frac{1}{3}$
8.如图Z5−6,若反比例函数y=$\frac{k}{x}$(x>0)
的图象与边长为5的等边三角形AOB
的边OA,AB分别相交于C,D两点,
且OC=3BD,则实数k的值为______.
的图象与边长为5的等边三角形AOB
的边OA,AB分别相交于C,D两点,
且OC=3BD,则实数k的值为______.
答案:
$\frac{9\sqrt{3}}{4}$
9.如图Z5−7,已知△OAC和△BAD都是
等腰直角三角形,∠ACO=∠ADB=
90°,反比例函数y=$\frac{k}{x}$(x>0)的图
象经过第一象限的点B,若OA”一
AB²=12,求k的值.
等腰直角三角形,∠ACO=∠ADB=
90°,反比例函数y=$\frac{k}{x}$(x>0)的图
象经过第一象限的点B,若OA”一
AB²=12,求k的值.
答案:
k = 6
查看更多完整答案,请扫码查看