第75页
- 第1页
- 第2页
- 第3页
- 第4页
- 第5页
- 第6页
- 第7页
- 第8页
- 第9页
- 第10页
- 第11页
- 第12页
- 第13页
- 第14页
- 第15页
- 第16页
- 第17页
- 第18页
- 第19页
- 第20页
- 第21页
- 第22页
- 第23页
- 第24页
- 第25页
- 第26页
- 第27页
- 第28页
- 第29页
- 第30页
- 第31页
- 第32页
- 第33页
- 第34页
- 第35页
- 第36页
- 第37页
- 第38页
- 第39页
- 第40页
- 第41页
- 第42页
- 第43页
- 第44页
- 第45页
- 第46页
- 第47页
- 第48页
- 第49页
- 第50页
- 第51页
- 第52页
- 第53页
- 第54页
- 第55页
- 第56页
- 第57页
- 第58页
- 第59页
- 第60页
- 第61页
- 第62页
- 第63页
- 第64页
- 第65页
- 第66页
- 第67页
- 第68页
- 第69页
- 第70页
- 第71页
- 第72页
- 第73页
- 第74页
- 第75页
- 第76页
- 第77页
- 第78页
- 第79页
- 第80页
- 第81页
- 第82页
- 第83页
- 第84页
- 第85页
- 第86页
- 第87页
- 第88页
- 第89页
- 第90页
- 第91页
- 第92页
- 第93页
1. 如图,在$\triangle ABC$中,点$D$,$E分别在AB$,$AC$边上,$DE与BC$不平行,那么下列条件中,不能判断$\triangle ADE \backsim \triangle ACB$的是(

A.$\angle ADE= \angle C$
B.$\angle AED= \angle B$
C.$\dfrac{AE}{AB}= \dfrac{DE}{BC}$
D.$\dfrac{AD}{AC}= \dfrac{AE}{AB}$
C
)A.$\angle ADE= \angle C$
B.$\angle AED= \angle B$
C.$\dfrac{AE}{AB}= \dfrac{DE}{BC}$
D.$\dfrac{AD}{AC}= \dfrac{AE}{AB}$
答案:
C
2. 如图,在$\triangle ABC$中,$AB= AC$,$AD \perp BC$,垂足为$D$,点$E$,$F分别在AB$,$AC$上,且$EF // BC$,交$AD于点G$,则图中相似的三角形有(

A.5对
B.6对
C.7对
D.8对
C
)A.5对
B.6对
C.7对
D.8对
答案:
C
3. 如图,在$\triangle ABC$中,$D是AB$边上的点,若添加

∠2=∠ACB(或∠1=∠B或$\frac{AD}{AC}=\frac{AC}{AB}$)
,则$\triangle ACD \backsim \triangle ABC$.
答案:
∠2=∠ACB(或∠1=∠B或$\frac{AD}{AC}=\frac{AC}{AB}$)
4. 如图,在正方形网格中,$\triangle ABC与\triangle EDF$的关系是
]

相似
,$\angle A= $$45°$
.]
答案:
相似,$45°$
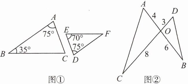
1. 已知图①②中各有两个三角形,其边长和角的度数如图中标注,则对图①②中的两个三角形,下列说法正确的是(

A.都相似
B.都不相似
C.只有①相似
D.只有②相似
]
A
)A.都相似
B.都不相似
C.只有①相似
D.只有②相似
]
答案:
A
2. 如图,在矩形$ABCD$中,点$E是边AD$上的任意一点,连接$BE$,过点$E作BE的垂线交BC的延长线于点F$,交边$CD于点P$,则图中共有相似三角形(

A.6对
B.5对
C.4对
D.3对
]
A
)A.6对
B.5对
C.4对
D.3对
]
答案:
A
3. 如图,在$□ ABCD$中,点$E在对角线BD$上,$EM // AD$,交$AB于点M$,$EN // AB$,交$AD于点N$,则下列式子一定正确的是(

A.$\dfrac{AM}{BM}= \dfrac{NE}{DE}$
B.$\dfrac{AM}{AB}= \dfrac{AN}{AD}$
C.$\dfrac{BC}{ME}= \dfrac{BE}{BD}$
D.$\dfrac{BD}{BE}= \dfrac{BC}{EM}$
]
D
)A.$\dfrac{AM}{BM}= \dfrac{NE}{DE}$
B.$\dfrac{AM}{AB}= \dfrac{AN}{AD}$
C.$\dfrac{BC}{ME}= \dfrac{BE}{BD}$
D.$\dfrac{BD}{BE}= \dfrac{BC}{EM}$
]
答案:
D
4. 如图,在$\triangle ABC$中,$\angle A= 78^{ \circ }$,$AB= 4$,$AC= 6$.将$\triangle ABC$沿图示中的虚线剪开,剪下的阴影三角形与原三角形不相似的是(


D
)
答案:
D
查看更多完整答案,请扫码查看