第70页
- 第1页
- 第2页
- 第3页
- 第4页
- 第5页
- 第6页
- 第7页
- 第8页
- 第9页
- 第10页
- 第11页
- 第12页
- 第13页
- 第14页
- 第15页
- 第16页
- 第17页
- 第18页
- 第19页
- 第20页
- 第21页
- 第22页
- 第23页
- 第24页
- 第25页
- 第26页
- 第27页
- 第28页
- 第29页
- 第30页
- 第31页
- 第32页
- 第33页
- 第34页
- 第35页
- 第36页
- 第37页
- 第38页
- 第39页
- 第40页
- 第41页
- 第42页
- 第43页
- 第44页
- 第45页
- 第46页
- 第47页
- 第48页
- 第49页
- 第50页
- 第51页
- 第52页
- 第53页
- 第54页
- 第55页
- 第56页
- 第57页
- 第58页
- 第59页
- 第60页
- 第61页
- 第62页
- 第63页
- 第64页
- 第65页
- 第66页
- 第67页
- 第68页
- 第69页
- 第70页
- 第71页
- 第72页
- 第73页
- 第74页
- 第75页
- 第76页
- 第77页
- 第78页
- 第79页
- 第80页
- 第81页
- 第82页
- 第83页
- 第84页
- 第85页
- 第86页
- 第87页
- 第88页
- 第89页
- 第90页
- 第91页
- 第92页
- 第93页
6. 如图,$AB与CD相交于点O$,$OA = 3$,$OB = 5$,$OD = 6$.当$OC = $

18/5或5/2
时,图中的两个三角形相似.
答案:
18/5或5/2
7. 如图所示,$BD平分\angle ABC$,且$AB = 4$,$BC = 6$,则当$BD = $

$2\sqrt{6}$
时,$\triangle ABD\backsim\triangle DBC$.
答案:
$2\sqrt{6}$
8. 如图,在$\triangle ABC$中,$AF\perp BC$,$CE\perp AB$,垂足分别是点$F$,$E$.求证:
(1)$\triangle BAF\backsim\triangle BCE$;
(2)$\triangle BEF\backsim\triangle BCA$.

(1)$\triangle BAF\backsim\triangle BCE$;
(2)$\triangle BEF\backsim\triangle BCA$.
答案:
(1)
∵AF⊥BC,CE⊥AB,
∴∠AFB=∠CEB=90°.
在△BAF和△BCE中,
∠B=∠B(公共角),∠AFB=∠CEB=90°,
∴△BAF∽△BCE(两角分别相等的两个三角形相似).
(2)由(1)知△BAF∽△BCE,
∴$\frac{BA}{BC}=\frac{BF}{BE}$(相似三角形对应边成比例),
即$\frac{BE}{BC}=\frac{BF}{BA}$.
在△BEF和△BCA中,
∠B=∠B(公共角),$\frac{BE}{BC}=\frac{BF}{BA}$,
∴△BEF∽△BCA(两边成比例且夹角相等的两个三角形相似).
∵AF⊥BC,CE⊥AB,
∴∠AFB=∠CEB=90°.
在△BAF和△BCE中,
∠B=∠B(公共角),∠AFB=∠CEB=90°,
∴△BAF∽△BCE(两角分别相等的两个三角形相似).
(2)由(1)知△BAF∽△BCE,
∴$\frac{BA}{BC}=\frac{BF}{BE}$(相似三角形对应边成比例),
即$\frac{BE}{BC}=\frac{BF}{BA}$.
在△BEF和△BCA中,
∠B=∠B(公共角),$\frac{BE}{BC}=\frac{BF}{BA}$,
∴△BEF∽△BCA(两边成比例且夹角相等的两个三角形相似).
9. 如图,在$Rt\triangle ABC$中,$\angle C = 90^{\circ}$,$AC = 4\ cm$,$BC = 3\ cm$.动点$M从点C$出发,以$1\ cm/s的速度沿CA向终点A$移动,同时动点$P从点B$出发,以$2\ cm/s的速度沿BA向终点A$移动,连接$PM$,设移动时间为$t\ s$.当$t(0\lt t\lt2.5)$为何值时,以点$A$,$P$,$M为顶点的三角形与\triangle ABC$相似?

答案:
$t=1.5$
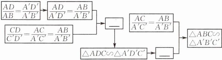
如图,在$\triangle ABC和\triangle A'B'C'$中,$D$,$D'分别是AB$,$A'B'$上一点,$\frac{AD}{AB}= \frac{A'D'}{A'B'}$.

(1)当$\frac{CD}{C'D'}= \frac{AC}{A'C'}= \frac{AB}{A'B'}$时,求证:$\triangle ABC\backsim\triangle A'B'C'$.
证明的途径可以用下面的框图表示,请填写其中的空格.

(2)当$\frac{CD}{C'D'}= \frac{AC}{A'C'}= \frac{BC}{B'C'}$时,判断$\triangle ABC与\triangle A'B'C'$是否相似,并说明理由.
(1)当$\frac{CD}{C'D'}= \frac{AC}{A'C'}= \frac{AB}{A'B'}$时,求证:$\triangle ABC\backsim\triangle A'B'C'$.
证明的途径可以用下面的框图表示,请填写其中的空格.
(2)当$\frac{CD}{C'D'}= \frac{AC}{A'C'}= \frac{BC}{B'C'}$时,判断$\triangle ABC与\triangle A'B'C'$是否相似,并说明理由.
答案:
(1) $\frac{AD}{A'D'}=\frac{AC}{A'C'}=\frac{CD}{C'D'}$;$\angle A = \angle A'$
(2) 不相似。理由:设$\frac{AD}{AB}=\frac{A'D'}{A'B'}=k$,仅由$\frac{CD}{C'D'}=\frac{AC}{A'C'}=\frac{BC}{B'C'}$及$D$、$D'$位置关系,无法得出$\triangle ABC$与$\triangle A'B'C'$对应角相等或三边对应成比例,可构造反例(如一个为锐角三角形,一个为钝角三角形)说明不相似,故$\triangle ABC$与$\triangle A'B'C'$不相似。
(1) $\frac{AD}{A'D'}=\frac{AC}{A'C'}=\frac{CD}{C'D'}$;$\angle A = \angle A'$
(2) 不相似。理由:设$\frac{AD}{AB}=\frac{A'D'}{A'B'}=k$,仅由$\frac{CD}{C'D'}=\frac{AC}{A'C'}=\frac{BC}{B'C'}$及$D$、$D'$位置关系,无法得出$\triangle ABC$与$\triangle A'B'C'$对应角相等或三边对应成比例,可构造反例(如一个为锐角三角形,一个为钝角三角形)说明不相似,故$\triangle ABC$与$\triangle A'B'C'$不相似。
查看更多完整答案,请扫码查看