第56页
- 第1页
- 第2页
- 第3页
- 第4页
- 第5页
- 第6页
- 第7页
- 第8页
- 第9页
- 第10页
- 第11页
- 第12页
- 第13页
- 第14页
- 第15页
- 第16页
- 第17页
- 第18页
- 第19页
- 第20页
- 第21页
- 第22页
- 第23页
- 第24页
- 第25页
- 第26页
- 第27页
- 第28页
- 第29页
- 第30页
- 第31页
- 第32页
- 第33页
- 第34页
- 第35页
- 第36页
- 第37页
- 第38页
- 第39页
- 第40页
- 第41页
- 第42页
- 第43页
- 第44页
- 第45页
- 第46页
- 第47页
- 第48页
- 第49页
- 第50页
- 第51页
- 第52页
- 第53页
- 第54页
- 第55页
- 第56页
- 第57页
- 第58页
- 第59页
- 第60页
- 第61页
- 第62页
- 第63页
- 第64页
- 第65页
- 第66页
- 第67页
- 第68页
- 第69页
- 第70页
- 第71页
- 第72页
- 第73页
- 第74页
- 第75页
- 第76页
- 第77页
- 第78页
- 第79页
- 第80页
- 第81页
- 第82页
- 第83页
- 第84页
- 第85页
- 第86页
- 第87页
- 第88页
- 第89页
- 第90页
- 第91页
- 第92页
- 第93页
- 第94页
- 第95页
- 第96页
- 第97页
- 第98页
- 第99页
- 第100页
- 第101页
- 第102页
- 第103页
- 第104页
- 第105页
- 第106页
- 第107页
- 第108页
- 第109页
- 第110页
- 第111页
- 第112页
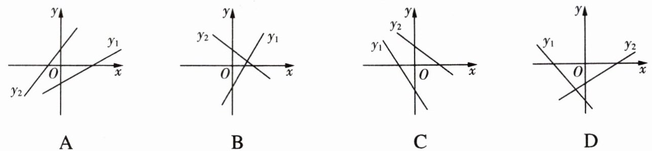
6. 一次函数 $ y_1 = kx + b $ 和 $ y_2 = bx - k $ 在同一坐标系内的图象大致是 ( )

答案:
C
7. 已知 $ a > 0 $, $ b > 0 $,且 $ a \neq b $,则直线 $ y = ax + b $ 和直线 $ y = bx + a $ 相交于 ( )
A.第一象限
B.第二象限
C.第三象限
D.第四象限
A.第一象限
B.第二象限
C.第三象限
D.第四象限
答案:
A
8. 对于一次函数 $ y = (3 - a)x + 3 $。
(1) 若 $ y $ 的值随着 $ x $ 值的增大而增大,则 $ a $ 的取值范围是什么?
(2) 若 $ y $ 的值随着 $ x $ 值的增大而减小,则 $ a $ 的取值范围是什么?
(1) 若 $ y $ 的值随着 $ x $ 值的增大而增大,则 $ a $ 的取值范围是什么?
(2) 若 $ y $ 的值随着 $ x $ 值的增大而减小,则 $ a $ 的取值范围是什么?
答案:
解:(1)根据一次函数y的值随着x值的增大而增大,可得3-a>0,即a<3。(2)根据一次函数y的值随着x值的增大而减小,得3-a<0,即a>3。
9. 一次函数 $ y = (a + 2)x - (3 - b) $ 中,当 $ a $, $ b $ 为何值时:
(1) $ y $ 的值随 $ x $ 值的增大而增大?
(2) 图象经过第二、三、四象限?
(3) 图象与 $ y $ 轴的交点在 $ x $ 轴的上方?
(1) $ y $ 的值随 $ x $ 值的增大而增大?
(2) 图象经过第二、三、四象限?
(3) 图象与 $ y $ 轴的交点在 $ x $ 轴的上方?
答案:
解:(1)当a+2>0,3-b为任意数时,即a>-2,b为任意实数。(2)
∵图象经过第二、三、四象限,
∴a+2<0,-(3-b)<0,即a<-2,b<3。(3)当a+2≠0,-(3-b)>0时,即a≠-2,b>3。
∵图象经过第二、三、四象限,
∴a+2<0,-(3-b)<0,即a<-2,b<3。(3)当a+2≠0,-(3-b)>0时,即a≠-2,b>3。
10. 在同一平面直角坐标系中分别画出 (1) $ y = -2x $, (2) $ y = -2x + 3 $, (3) $ y = -2x - 3 $, (4) $ y = \frac{1}{2}x $, (5) $ y = \frac{1}{2}x + 1 $, (6) $ y = \frac{1}{2}x - 1 $ 的图象,并观察这六条直线有怎样的位置关系。你发现了什么规律?
答案:
解:图象略。(1)(2)(3)的图象互相平行,(4)(5)(6)的图象互相平行;(1)(2)(3)的图象分别与(4)(5)(6)的图象互相垂直。规律:①当两个一次函数的k值相等时,它们的图象互相平行,当两个一次函数的k值互为负倒数时,它们的图象互相垂直;②直线y=-2x+3和y=-2x-3可分别由直线y=-2x向上平移3个单位长度和向下平移3个单位长度得到;③直线y=$\frac{1}{2}$x+1和y=$\frac{1}{2}$x-1可分别由直线y=$\frac{1}{2}$x向上平移1个单位长度和向下平移1个单位长度得到。
查看更多完整答案,请扫码查看