第32页
- 第1页
- 第2页
- 第3页
- 第4页
- 第5页
- 第6页
- 第7页
- 第8页
- 第9页
- 第10页
- 第11页
- 第12页
- 第13页
- 第14页
- 第15页
- 第16页
- 第17页
- 第18页
- 第19页
- 第20页
- 第21页
- 第22页
- 第23页
- 第24页
- 第25页
- 第26页
- 第27页
- 第28页
- 第29页
- 第30页
- 第31页
- 第32页
- 第33页
- 第34页
- 第35页
- 第36页
- 第37页
- 第38页
- 第39页
- 第40页
- 第41页
- 第42页
- 第43页
- 第44页
- 第45页
- 第46页
- 第47页
- 第48页
- 第49页
- 第50页
- 第51页
- 第52页
- 第53页
- 第54页
- 第55页
- 第56页
- 第57页
- 第58页
- 第59页
- 第60页
- 第61页
- 第62页
- 第63页
- 第64页
- 第65页
- 第66页
- 第67页
- 第68页
- 第69页
- 第70页
- 第71页
- 第72页
- 第73页
- 第74页
- 第75页
- 第76页
- 第77页
- 第78页
- 第79页
- 第80页
- 第81页
- 第82页
- 第83页
- 第84页
- 第85页
- 第86页
- 第87页
- 第88页
- 第89页
- 第90页
- 第91页
- 第92页
- 第93页
- 第94页
- 第95页
- 第96页
- 第97页
- 第98页
- 第99页
- 第100页
- 第101页
- 第102页
- 第103页
- 第104页
- 第105页
- 第106页
- 第107页
- 第108页
- 第109页
- 第110页
- 第111页
- 第112页
*11. 两个含有二次根式且非零的代数式相乘,如果它们的积不含二次根式,那么这两个代数式互为有理化因式。例如:$\sqrt{2}×\sqrt{2}= 2$,$(\sqrt{3}+1)×(\sqrt{3}-1)= 2$,我们称$\sqrt{2}和\sqrt{2}$互为有理化因式,$\sqrt{3}+1和\sqrt{3}-1$互为有理化因式。如果一个代数式的分母中含有二次根式,通常可将分子、分母同乘分母的有理化因式,使分母中不含根号,这种变形叫作分母有理化。如$\dfrac{2}{\sqrt{2}}= \sqrt{2}$,$\dfrac{2}{\sqrt{3}-1}= \sqrt{3}+1$。与分母有理化类似,如果一个代数式的分子中含有二次根式,通常可将分子、分母同乘分子的有理化因式,使分子中不含根号,这种变形叫作分子有理化。如$\sqrt{3}-\sqrt{2}= \dfrac{1}{\sqrt{3}+\sqrt{2}}$。
(1) 分别写出$\sqrt{5}$,$2-\sqrt{3}$的有理化因式。(写出一个即可)
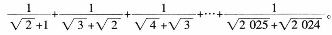
(2) 利用分母有理化化简:$\dfrac{1}{\sqrt{2}+1}+\dfrac{1}{\sqrt{3}+\sqrt{2}}+\dfrac{1}{\sqrt{4}+\sqrt{3}}+…+\dfrac{1}{\sqrt{2025}+\sqrt{2024}}$。

(3) 利用分子有理化比较$\sqrt{n+1}-\sqrt{n}和\sqrt{n}-\sqrt{n-1}$($n\geqslant2$)的大小。
(1) 分别写出$\sqrt{5}$,$2-\sqrt{3}$的有理化因式。(写出一个即可)
(2) 利用分母有理化化简:$\dfrac{1}{\sqrt{2}+1}+\dfrac{1}{\sqrt{3}+\sqrt{2}}+\dfrac{1}{\sqrt{4}+\sqrt{3}}+…+\dfrac{1}{\sqrt{2025}+\sqrt{2024}}$。
(3) 利用分子有理化比较$\sqrt{n+1}-\sqrt{n}和\sqrt{n}-\sqrt{n-1}$($n\geqslant2$)的大小。
答案:
11. 解:(1)$\sqrt{5}$,$2+\sqrt{3}$ (2)原式=$\sqrt{2025}-1=45-1=44$。(3)$\sqrt{n+1}-\sqrt{n}=\frac{1}{\sqrt{n+1}+\sqrt{n}}$,$\sqrt{n}-\sqrt{n-1}=\frac{1}{\sqrt{n}+\sqrt{n-1}}$,$\because\sqrt{n+1}>\sqrt{n-1}$,$\therefore\sqrt{n+1}-\sqrt{n}<\sqrt{n}-\sqrt{n-1}$。
12. (2024·威海)计算:$\sqrt{12}-\sqrt{8}×\sqrt{6}= $______。
答案:
12. $-2\sqrt{3}$
13. (2024·甘南州)已知$x$,$y$为实数,若满足$y= \sqrt{x-3}+\sqrt{3-x}+2$,则$x^{y}$的值为( )
A.$5$
B.$6$
C.$8$
D.$9$
A.$5$
B.$6$
C.$8$
D.$9$
答案:
13. D
14. (2024·重庆)已知$m= \sqrt{27}-\sqrt{3}$,则实数$m$的范围是( )
A.$2\lt m\lt3$
B.$3\lt m\lt4$
C.$4\lt m\lt5$
D.$5\lt m\lt6$
A.$2\lt m\lt3$
B.$3\lt m\lt4$
C.$4\lt m\lt5$
D.$5\lt m\lt6$
答案:
14. B
15. (2024·德阳)将一组数$\sqrt{2}$,$2$,$\sqrt{6}$,$2\sqrt{2}$,$\sqrt{10}$,$2\sqrt{3}$,…,$\sqrt{2n}$,…,按如图所示方式进行排列,则第八行左起第1个数是( )

A.$7\sqrt{2}$
B.$8\sqrt{2}$
C.$\sqrt{58}$
D.$4\sqrt{7}$
A.$7\sqrt{2}$
B.$8\sqrt{2}$
C.$\sqrt{58}$
D.$4\sqrt{7}$
答案:
15. C
16. (2024·兰州)计算:$\sqrt{27}-\sqrt{\dfrac{3}{2}}×\sqrt{8}$。
答案:
16. $\sqrt{3}$
查看更多完整答案,请扫码查看