第93页
- 第1页
- 第2页
- 第3页
- 第4页
- 第5页
- 第6页
- 第7页
- 第8页
- 第9页
- 第10页
- 第11页
- 第12页
- 第13页
- 第14页
- 第15页
- 第16页
- 第17页
- 第18页
- 第19页
- 第20页
- 第21页
- 第22页
- 第23页
- 第24页
- 第25页
- 第26页
- 第27页
- 第28页
- 第29页
- 第30页
- 第31页
- 第32页
- 第33页
- 第34页
- 第35页
- 第36页
- 第37页
- 第38页
- 第39页
- 第40页
- 第41页
- 第42页
- 第43页
- 第44页
- 第45页
- 第46页
- 第47页
- 第48页
- 第49页
- 第50页
- 第51页
- 第52页
- 第53页
- 第54页
- 第55页
- 第56页
- 第57页
- 第58页
- 第59页
- 第60页
- 第61页
- 第62页
- 第63页
- 第64页
- 第65页
- 第66页
- 第67页
- 第68页
- 第69页
- 第70页
- 第71页
- 第72页
- 第73页
- 第74页
- 第75页
- 第76页
- 第77页
- 第78页
- 第79页
- 第80页
- 第81页
- 第82页
- 第83页
- 第84页
- 第85页
- 第86页
- 第87页
- 第88页
- 第89页
- 第90页
- 第91页
- 第92页
- 第93页
- 第94页
- 第95页
- 第96页
- 第97页
- 第98页
- 第99页
- 第100页
- 第101页
- 第102页
- 第103页
- 第104页
- 第105页
- 第106页
- 第107页
- 第108页
- 第109页
- 第110页
- 第111页
- 第112页
3. 杏花村现有汽车 188 辆,比 2023 年底的 3 倍还多 17 辆,如果设该村 2023 年底有汽车 $ x $ 辆,则可列出关于 $ x $ 的一元一次方程为______。
答案:
3x+17=188
4. 下列各式不是一元一次方程的是( )
A.$ 2y - 1 = 13 $
B.$ 11x = 165 $
C.$ \frac{2}{3}x - 5 = 3 $
D.$ \frac{1}{x} = 4 $
A.$ 2y - 1 = 13 $
B.$ 11x = 165 $
C.$ \frac{2}{3}x - 5 = 3 $
D.$ \frac{1}{x} = 4 $
答案:
D
5. 下列方程的解是 $ x = 2 $ 的是( )
A.$ 2x + 3 = 5 $
B.$ 2x + 7 = 11 $
C.$ 12 + x = 5x $
D.$ 3x - 8 = 5x $
A.$ 2x + 3 = 5 $
B.$ 2x + 7 = 11 $
C.$ 12 + x = 5x $
D.$ 3x - 8 = 5x $
答案:
B
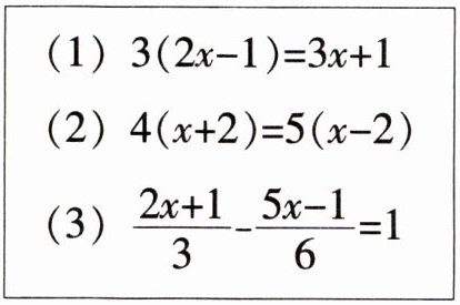
6. 左边方框中 $ x $ 的值分别是右边方框中某一个方程的解,将 $ x $ 的值与对应的方程用线连接起来。
| $ (1) x = 18 $ | $ (1) 3(2x - 1) = 3x + 1 $ |

| $ (2) x = \frac{4}{3} $ | $ (2) 4(x + 2) = 5(x - 2) $ |
| $ (3) x = -3 $ | $ (3) \frac{2x + 1}{3} - \frac{5x - 1}{6} = 1 $ |
| $ (1) x = 18 $ | $ (1) 3(2x - 1) = 3x + 1 $ |
| $ (2) x = \frac{4}{3} $ | $ (2) 4(x + 2) = 5(x - 2) $ |
| $ (3) x = -3 $ | $ (3) \frac{2x + 1}{3} - \frac{5x - 1}{6} = 1 $ |
答案:
(1)x=18 (2)x=4/3 (3)x=-3 (1)3(2x-1)=3x+1 (2)4(x+2)=5(x-2) (3)(2x+1)/3-(5x-1)/6=1
(1)x=18 (2)x=4/3 (3)x=-3 (1)3(2x-1)=3x+1 (2)4(x+2)=5(x-2) (3)(2x+1)/3-(5x-1)/6=1
7. 某眼镜厂车间有 20 名工人,每人每天可生产镜架 40 个或者镜片 60 片,已知 1 个镜架配 2 片镜片,为使每天生产的镜架和镜片刚好配套,应安排生产镜架和镜片的工人各多少名?(只列出方程即可)
答案:
解:设安排x名工人生产镜架,则(20-x)人生产镜片,根据题意得方程2×40x=60(20-x)。
8. (2024·海南) 若代数式 $ x - 3 $ 的值为 5,则 $ x $ 等于( )
A.8
B.-8
C.2
D.-2
A.8
B.-8
C.2
D.-2
答案:
A
9. (2024·广西) 《九章算术》是我国古代重要的数学著作,其中记载了一个问题,大致意思为:现有田出租,第一年 3 亩 1 钱,第二年 4 亩 1 钱,第三年 5 亩 1 钱。三年共得 100 钱。问:出租的田有多少亩?设出租的田有 $ x $ 亩,则可列方程为( )
A.$ \frac{1}{3}x + \frac{1}{4}x + \frac{1}{5}x = 1 $
B.$ \frac{1}{3}x + \frac{1}{4}x + \frac{1}{5}x = 100 $
C.$ 3x + 4x + 5x = 1 $
D.$ 3x + 4x + 5x = 100 $
A.$ \frac{1}{3}x + \frac{1}{4}x + \frac{1}{5}x = 1 $
B.$ \frac{1}{3}x + \frac{1}{4}x + \frac{1}{5}x = 100 $
C.$ 3x + 4x + 5x = 1 $
D.$ 3x + 4x + 5x = 100 $
答案:
B
查看更多完整答案,请扫码查看