第58页
- 第2页
- 第3页
- 第4页
- 第5页
- 第6页
- 第7页
- 第8页
- 第9页
- 第10页
- 第11页
- 第12页
- 第13页
- 第14页
- 第15页
- 第16页
- 第17页
- 第18页
- 第19页
- 第20页
- 第21页
- 第22页
- 第23页
- 第24页
- 第25页
- 第26页
- 第27页
- 第28页
- 第29页
- 第30页
- 第31页
- 第32页
- 第33页
- 第34页
- 第35页
- 第36页
- 第37页
- 第38页
- 第39页
- 第40页
- 第41页
- 第42页
- 第43页
- 第44页
- 第45页
- 第46页
- 第47页
- 第48页
- 第49页
- 第50页
- 第51页
- 第52页
- 第53页
- 第54页
- 第55页
- 第56页
- 第57页
- 第58页
- 第59页
- 第60页
- 第61页
- 第62页
- 第63页
- 第64页
- 第65页
- 第66页
- 第67页
- 第68页
- 第69页
- 第70页
- 第71页
- 第72页
- 第73页
- 第74页
- 第75页
- 第76页
- 第77页
- 第78页
- 第79页
- 第80页
- 第81页
- 第82页
- 第83页
- 第84页
- 第85页
- 第86页
- 第87页
- 第88页
- 第89页
- 第90页
- 第91页
- 第92页
- 第93页
- 第94页
- 第95页
- 第96页
- 第97页
- 第98页
- 第99页
- 第100页
- 第101页
- 第102页
- 第103页
- 第104页
- 第105页
- 第106页
- 第107页
- 第108页
- 第109页
- 第110页
- 第111页
1. 已知一次函数 $ y = x + 1 $ 的图象经过点 $ (m, 2) $,则 $ m = $
1
。
答案:
1.1
2. 在平面直角坐标系中,一次函数 $ y = 2x - 3 $ 的图象是(

D
)
答案:
2.D
3. 一次函数 $ y = 3x + b(b \geq 0) $ 的图象一定不经过(
A.第一象限
B.第二象限
C.第三象限
D.第四象限
D
)A.第一象限
B.第二象限
C.第三象限
D.第四象限
答案:
3.D
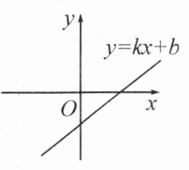
4. (2023·沈阳)已知一次函数 $ y = kx + b $ 的图象如图所示,则 $ k, b $ 的取值范围是(

A.$ k > 0, b > 0 $
B.$ k > 0, b < 0 $
C.$ k < 0, b > 0 $
D.$ k < 0, b < 0 $
B
)A.$ k > 0, b > 0 $
B.$ k > 0, b < 0 $
C.$ k < 0, b > 0 $
D.$ k < 0, b < 0 $
答案:
4.B
5. 已知一次函数 $ y = -\frac{1}{2}x + 3 $ 的图象与 $ x $ 轴交于点 $ A $,与 $ y $ 轴交于点 $ B $。
(1) 求 $ A, B $ 两点的坐标。
(2) 画出该函数图象。
(3) 求 $ AB $ 的长。

(1) 求 $ A, B $ 两点的坐标。
(2) 画出该函数图象。
(3) 求 $ AB $ 的长。
答案:
5.解:
(1)令y=0,则x=6;令x=0,则y=3.
∴A(6,0),B(0,3)。
(2)
(3)
∵A(6,0),B(0,3),
∴OA=6,OB=3。在Rt△ABO中,$AB=\sqrt{OA^{2}+OB^{2}}=\sqrt{6^{2}+3^{2}}=3\sqrt{5}。$
5.解:
(1)令y=0,则x=6;令x=0,则y=3.
∴A(6,0),B(0,3)。
(2)
(3)
∵A(6,0),B(0,3),
∴OA=6,OB=3。在Rt△ABO中,$AB=\sqrt{OA^{2}+OB^{2}}=\sqrt{6^{2}+3^{2}}=3\sqrt{5}。$
6. (2023·长沙)下列一次函数中,$ y $ 随 $ x $ 的增大而减小的是(
A.$ y = 2x + 1 $
B.$ y = x - 4 $
C.$ y = 2x $
D.$ y = -x + 1 $
D
)A.$ y = 2x + 1 $
B.$ y = x - 4 $
C.$ y = 2x $
D.$ y = -x + 1 $
答案:
6.D
7. 关于一次函数 $ y = -2x + 3 $,下列结论正确的是(
A.图象过点 $ (1, -1) $
B.图象与 $ y $ 轴的交点坐标是 $ (0, 3) $
C.$ y $ 随 $ x $ 的增大而增大
D.图象经过第一、二、三象限
B
)A.图象过点 $ (1, -1) $
B.图象与 $ y $ 轴的交点坐标是 $ (0, 3) $
C.$ y $ 随 $ x $ 的增大而增大
D.图象经过第一、二、三象限
答案:
7.B
8. (2024·镇江)若点 $ A(1, y_1), B(2, y_2) $ 在一次函数 $ y = 3x + 1 $ 的图象上,则 $ y_1 $
<
$ y_2 $(填“$ > $”“$ < $”或“$ = $”)。
答案:
8.<
9. 新考向 开放性问题(2024·大庆)写出一个过点 $ (1, 1) $ 且 $ y $ 的值随着 $ x $ 值增大而减小的函数表达式
y=-x+2
。
答案:
9.y=-x+2(答案不唯一)
10. 将函数 $ y = x - 1 $ 的图象向上平移 2 个单位长度,所得图象对应的函数表达式是(
A.$ y = x - 3 $
B.$ y = x + 1 $
C.$ y = 4x - 3 $
D.$ y = 4x + 1 $
B
)A.$ y = x - 3 $
B.$ y = x + 1 $
C.$ y = 4x - 3 $
D.$ y = 4x + 1 $
答案:
10.B
11. 要得到直线 $ y = -\frac{1}{2}x + 4 $,可以将直线 $ y = -\frac{1}{2}x $ 向
上
(填“上”或“下”)平移4
个单位长度。
答案:
11.上 4
12. 已知一次函数 $ y = mx + n $ 的图象不经过第一象限,则 $ m, n $ 的取值范围是
m<0,n≤0
。
答案:
12.m<0,n≤0
13. (2024·通辽)如图,在同一平面直角坐标系中,一次函数 $ y = k_1x + b_1 $ 与 $ y = k_2x + b_2 $(其中 $ k_1k_2 \neq 0, k_1, k_2, b_1, b_2 $ 为常数)的图象分别为直线 $ l_1, l_2 $。下列结论正确的是(

A.$ b_1 + b_2 > 0 $
B.$ b_1b_2 > 0 $
C.$ k_1 + k_2 < 0 $
D.$ k_1k_2 < 0 $
A
)A.$ b_1 + b_2 > 0 $
B.$ b_1b_2 > 0 $
C.$ k_1 + k_2 < 0 $
D.$ k_1k_2 < 0 $
答案:
13.A
查看更多完整答案,请扫码查看