第49页
- 第2页
- 第3页
- 第4页
- 第5页
- 第6页
- 第7页
- 第8页
- 第9页
- 第10页
- 第11页
- 第12页
- 第13页
- 第14页
- 第15页
- 第16页
- 第17页
- 第18页
- 第19页
- 第20页
- 第21页
- 第22页
- 第23页
- 第24页
- 第25页
- 第26页
- 第27页
- 第28页
- 第29页
- 第30页
- 第31页
- 第32页
- 第33页
- 第34页
- 第35页
- 第36页
- 第37页
- 第38页
- 第39页
- 第40页
- 第41页
- 第42页
- 第43页
- 第44页
- 第45页
- 第46页
- 第47页
- 第48页
- 第49页
- 第50页
- 第51页
- 第52页
- 第53页
- 第54页
- 第55页
- 第56页
- 第57页
- 第58页
- 第59页
- 第60页
- 第61页
- 第62页
- 第63页
- 第64页
- 第65页
- 第66页
- 第67页
- 第68页
- 第69页
- 第70页
- 第71页
- 第72页
- 第73页
- 第74页
- 第75页
- 第76页
- 第77页
- 第78页
- 第79页
- 第80页
- 第81页
- 第82页
- 第83页
- 第84页
- 第85页
- 第86页
- 第87页
- 第88页
- 第89页
- 第90页
- 第91页
- 第92页
- 第93页
- 第94页
- 第95页
- 第96页
- 第97页
- 第98页
- 第99页
- 第100页
- 第101页
- 第102页
- 第103页
- 第104页
- 第105页
- 第106页
- 第107页
- 第108页
- 第109页
- 第110页
- 第111页
9. 据统计,1 - 6 个月的婴儿生长发育得很快,如果一个婴儿出生时的体重为 3300 克,那么他的体重 $ y $(克)和月龄 $ x $(月)之间的关系可以近似用 $ y = 3300 + 700x $ 来表示。当自变量 $ x $ 的值为 6 时,$ y $ 的值为
7500
。
答案:
9.7500
10. 已知某打印店单面打印 A4 纸一张收费 0.5 元。
(1)去该打印店打印 10 页的文档需要
(2)若单面打印 A4 纸的张数用 $ x $(张)表示,费用用 $ y $(元)表示,则 $ y $ 与 $ x $ 之间的关系式为
(3)小明去该打印店打印学习资料,若小明只带了 20 元,则小明可打印 A4 纸页数的范围为
(1)去该打印店打印 10 页的文档需要
5
元。(2)若单面打印 A4 纸的张数用 $ x $(张)表示,费用用 $ y $(元)表示,则 $ y $ 与 $ x $ 之间的关系式为
y = 0.5x
。(3)小明去该打印店打印学习资料,若小明只带了 20 元,则小明可打印 A4 纸页数的范围为
0\leq x\leq40
。
答案:
$10.(1)5 (2)y = 0.5x (3)0\leq x\leq40$
11. (2024·江西)将常温中的温度计插入一杯 $ 60^{\circ}C $ 的热水(恒温)中,温度计的读数 $ y(^{\circ}C) $ 与时间 $ x(min) $ 的关系用图象可近似表示为(

C
)
答案:
11.C
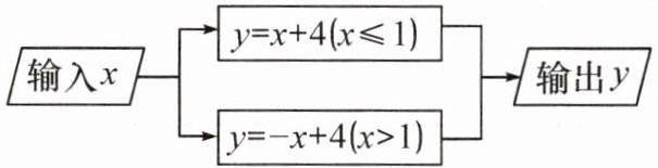
12. 根据下图中的程序,当输入 $ x = 2 $ 时,输出结果 $ y =$
]
2
。
答案:
12.2
13. 某商场为了刺激消费,通过薄利多销来减少库存。现将一商品在保持销售价 60 元/件不变的前提下,规定凡购买超过 5 件,超出的部分打六折出售。
(1)若购买 3 件该商品,则应付
(2)若顾客购买 $ x(x > 5) $ 件该商品,应付 $ y $ 元,则 $ y $ 与 $ x $ 之间的关系式是
(1)若购买 3 件该商品,则应付
180
元;若购买 7 件该商品,则应付 372
元。(2)若顾客购买 $ x(x > 5) $ 件该商品,应付 $ y $ 元,则 $ y $ 与 $ x $ 之间的关系式是
y=36x + 120(x>5)
。
答案:
13.
(1)180 372
(2)y=36x + 120(x>5)
(1)180 372
(2)y=36x + 120(x>5)
14. “低碳生活”是指人们生活中尽量减少所耗能量,从而降低碳(特别是二氧化碳)的排放量的一种生活方式。

(1)若小明家 12 月比 11 月私家车耗油量多 2L,则小明家 12 月私家车二氧化碳排放量比 11 月多了
(2)若小明家开私家车的二氧化碳排放量为 $ y(kg) $,耗油量为 $ x(L) $,求 $ y $ 与 $ x $ 之间的关系式。
(3)小明家本月用天然气 $ 20m^{3} $,自来水 4t,私家车耗油量 50L,请你计算一下小明家这几项的二氧化碳排放量。
(1)若小明家 12 月比 11 月私家车耗油量多 2L,则小明家 12 月私家车二氧化碳排放量比 11 月多了
5.4
$ kg $。(2)若小明家开私家车的二氧化碳排放量为 $ y(kg) $,耗油量为 $ x(L) $,求 $ y $ 与 $ x $ 之间的关系式。
(3)小明家本月用天然气 $ 20m^{3} $,自来水 4t,私家车耗油量 50L,请你计算一下小明家这几项的二氧化碳排放量。
答案:
14.解:
(1)5.4
(2)由题意,得 y 与 x 之间的关系式为 y = 2.7x.
(3)由题意,得 20×0.19 + 4×0.785 + 50×2.7 = 141.94(kg).
∴小明家这几项的二氧化碳排放量是 141.94 kg.
(1)5.4
(2)由题意,得 y 与 x 之间的关系式为 y = 2.7x.
(3)由题意,得 20×0.19 + 4×0.785 + 50×2.7 = 141.94(kg).
∴小明家这几项的二氧化碳排放量是 141.94 kg.
15. 在一定限度内,弹簧挂上物体后会伸长,测得一弹簧长度 $ y(cm) $ 与所挂物体质量 $ x(kg) $ 有如下关系(假设都在弹性限度内):

(1)由表格可知,弹簧原长为
(2)请写出弹簧长度 $ y(cm) $ 与所挂物体质量 $ x(kg) $ 之间的关系式。(不必写出自变量的取值范围)
(3)当所挂物体质量为 10kg 时,弹簧长度是多少?
(4)当弹簧长度为 20cm 时,求所挂物体的质量。
(1)由表格可知,弹簧原长为
12
$ cm $,所挂物体每增加 1kg,弹簧伸长 0.5
$ cm $。(2)请写出弹簧长度 $ y(cm) $ 与所挂物体质量 $ x(kg) $ 之间的关系式。(不必写出自变量的取值范围)
(3)当所挂物体质量为 10kg 时,弹簧长度是多少?
(4)当弹簧长度为 20cm 时,求所挂物体的质量。
答案:
15.解:
(1)12 0.5
(2)y = 0.5x + 12.
(3)当 x = 10 时,y = 0.5x + 12 = 0.5×10 + 12 = 17.答:当所挂物体质量为 10 kg 时,弹簧长度为 17 cm.
(4)当 y = 20 时,则 20 = 0.5x + 12,解得 x = 16.
答:当弹簧长度为 20 cm 时,所挂物体的质量为 16 kg.
(1)12 0.5
(2)y = 0.5x + 12.
(3)当 x = 10 时,y = 0.5x + 12 = 0.5×10 + 12 = 17.答:当所挂物体质量为 10 kg 时,弹簧长度为 17 cm.
(4)当 y = 20 时,则 20 = 0.5x + 12,解得 x = 16.
答:当弹簧长度为 20 cm 时,所挂物体的质量为 16 kg.
查看更多完整答案,请扫码查看