第33页
- 第1页
- 第2页
- 第3页
- 第4页
- 第5页
- 第6页
- 第7页
- 第8页
- 第9页
- 第10页
- 第11页
- 第12页
- 第13页
- 第14页
- 第15页
- 第16页
- 第17页
- 第18页
- 第19页
- 第20页
- 第21页
- 第22页
- 第23页
- 第24页
- 第25页
- 第26页
- 第27页
- 第28页
- 第29页
- 第30页
- 第31页
- 第32页
- 第33页
- 第34页
- 第35页
- 第36页
- 第37页
- 第38页
- 第39页
- 第40页
- 第41页
- 第42页
- 第43页
- 第44页
- 第45页
- 第46页
- 第47页
- 第48页
- 第49页
- 第50页
- 第51页
- 第52页
- 第53页
- 第54页
- 第55页
- 第56页
- 第57页
- 第58页
- 第59页
- 第60页
- 第61页
- 第62页
- 第63页
- 第64页
- 第65页
- 第66页
- 第67页
- 第68页
- 第69页
- 第70页
- 第71页
- 第72页
- 第73页
- 第74页
- 第75页
- 第76页
- 第77页
- 第78页
- 第79页
- 第80页
- 第81页
- 第82页
- 第83页
- 第84页
- 第85页
- 第86页
- 第87页
- 第88页
- 第89页
- 第90页
- 第91页
- 第92页
- 第93页
- 第94页
- 第95页
- 第96页
- 第97页
- 第98页
- 第99页
- 第100页
1.(武侯区一诊)在一个不透明的袋子里装有 20 个红球和若干个蓝球,这些球除颜色外都相同,将袋子中的球搅拌均匀,每次从袋子里随机摸出一个球,记录下它的颜色后再放回袋子中,不断重复这一过程,发现摸到蓝球的频率稳定在 0.6 左右,则袋子中装有蓝球的个数大约是 (
A. 12
B. 20
C. 30
D. 35
C
)A. 12
B. 20
C. 30
D. 35
答案:
C
2.(实外)某学习小组做“用频率估计概率的试验”时,统计了某一结果出现的频率,绘制了如图所示的折线统计图,则符合这一结果的试验最有可能的是 (

A. 掷一枚正六面体的骰子,出现 1 点朝上
B. 任意写一个整数,它能被 2 整除
C. 不透明的袋子中装有大小和质地都相同的 1 个红球和 2 个黄球,从中随机取一个,取到红球
D. 先后两次掷一枚质地均匀的硬币,两次都出现反面
C
)A. 掷一枚正六面体的骰子,出现 1 点朝上
B. 任意写一个整数,它能被 2 整除
C. 不透明的袋子中装有大小和质地都相同的 1 个红球和 2 个黄球,从中随机取一个,取到红球
D. 先后两次掷一枚质地均匀的硬币,两次都出现反面
答案:
C
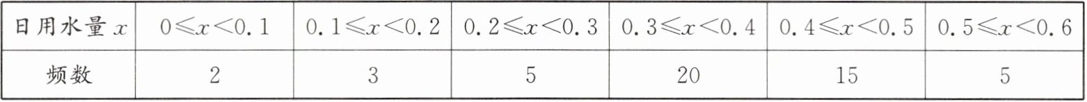
3.(武侯区期末)2021 年“世界水日”的主题为“珍惜水、爱护水”. 小明家安装节水龙头后,他记录了 50 天的日用水量数据(单位:$m^{3}$),得到的频数分布表如下表所示:

在记录的这 50 天中,日用水量小于$ 0.4m^3 $的频率为 (
A. 0.9
B. 0.6
C. 0.3
D. 0.2
在记录的这 50 天中,日用水量小于$ 0.4m^3 $的频率为 (
B
)A. 0.9
B. 0.6
C. 0.3
D. 0.2
答案:
B
4.(师大一中)某批篮球的质量检验结果如下:

从这批篮球中,任意抽取一个篮球是优等品的概率的估计值是______
从这批篮球中,任意抽取一个篮球是优等品的概率的估计值是______
0.94
(精确到 0.01).
答案:
0.94
5.(双流区期末)为了估计池塘里有多少条鱼,从池塘里捕捞了 1000 条鱼做上标记,然后放回池塘里,经过一段时间,等有标记的鱼完全混合于鱼群中以后,再捕捞 200 条,若其中有标记的鱼有 10 条,则估计池塘里有鱼______
20000
条.
答案:
20000
6.(七中育才)大数据分析技术为打赢疫情防控阻击战发挥了重要作用. 如图是小明同学的健康码示意图,用黑白打印机打印于边长为 2 cm 的正方形区域内,为了估计图中黑色部分的总面积,在正方形区域内随机掷点,经过大量重复试验,发现点落入黑色部分的频率稳定在 0.6 左右,据此可以估计黑色部分的总面积约为
2.4
$cm^2.$
答案:
2.4
查看更多完整答案,请扫码查看