第25页
- 第1页
- 第2页
- 第3页
- 第4页
- 第5页
- 第6页
- 第7页
- 第8页
- 第9页
- 第10页
- 第11页
- 第12页
- 第13页
- 第14页
- 第15页
- 第16页
- 第17页
- 第18页
- 第19页
- 第20页
- 第21页
- 第22页
- 第23页
- 第24页
- 第25页
- 第26页
- 第27页
- 第28页
- 第29页
- 第30页
- 第31页
- 第32页
- 第33页
- 第34页
- 第35页
- 第36页
- 第37页
- 第38页
- 第39页
- 第40页
- 第41页
- 第42页
- 第43页
- 第44页
- 第45页
- 第46页
- 第47页
- 第48页
- 第49页
- 第50页
- 第51页
- 第52页
- 第53页
- 第54页
- 第55页
- 第56页
- 第57页
- 第58页
- 第59页
- 第60页
- 第61页
- 第62页
- 第63页
- 第64页
- 第65页
- 第66页
- 第67页
- 第68页
- 第69页
- 第70页
- 第71页
- 第72页
- 第73页
- 第74页
- 第75页
- 第76页
- 第77页
- 第78页
- 第79页
- 第80页
- 第81页
- 第82页
- 第83页
- 第84页
- 第85页
- 第86页
- 第87页
- 第88页
- 第89页
- 第90页
- 第91页
- 第92页
- 第93页
- 第94页
- 第95页
- 第96页
- 第97页
- 第98页
- 第99页
- 第100页
- 第101页
- 第102页
- 第103页
- 第104页
- 第105页
- 第106页
10. (12分)计算:
(1)$-3^{2}×(-\frac{1}{3})^{2}+(\frac{3}{4}-\frac{1}{6}+\frac{5}{8})×(-24)$;
(2)$(-2)^{3}+(-3)×[(-4)^{2}+2]-(-3)^{2}÷(-2)$;
(3)$(-\frac{5}{6}+\frac{2}{3})÷(-\frac{7}{12})×\frac{7}{2}+\vert-\frac{1}{3}\vert+(-1)^{2026}$。
(1)$-3^{2}×(-\frac{1}{3})^{2}+(\frac{3}{4}-\frac{1}{6}+\frac{5}{8})×(-24)$;
(2)$(-2)^{3}+(-3)×[(-4)^{2}+2]-(-3)^{2}÷(-2)$;
(3)$(-\frac{5}{6}+\frac{2}{3})÷(-\frac{7}{12})×\frac{7}{2}+\vert-\frac{1}{3}\vert+(-1)^{2026}$。
答案:
解:
(1)$-30$.
(2)$-57\dfrac{1}{2}$.
(3)$\dfrac{7}{3}$.
(1)$-30$.
(2)$-57\dfrac{1}{2}$.
(3)$\dfrac{7}{3}$.
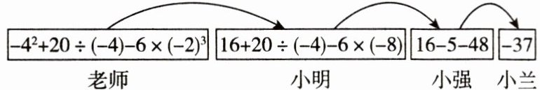
11. (8分)[2025年1月滁州期末]老师设计了接力游戏,用合作的方式完成有理数运算,规则是:每人只能看到前一人给的式子,并进行一步计算,再将结果传递给下一人,最后完成计算。过程如图所示。

(1)接力中,计算错误的学生是
(2)请正确计算老师出示的算式。
(1)接力中,计算错误的学生是
小明和小强
;(2)请正确计算老师出示的算式。
解:原式$=-16-20÷4-6×(-8)=-16-5+48=27$
答案:
解:
(1)小明和小强
(2)原式$=-16-20÷4-6×(-8)=-16-5+48=27$.
(1)小明和小强
(2)原式$=-16-20÷4-6×(-8)=-16-5+48=27$.
12. (8分)运算能力有一种“24点”游戏,其游戏规则是:将4个$1\sim13$之间的有理数进行加减乘除四则运算(每个数只能用一次),使其结果为24。例如1,2,3,4可进行运算:$(1 + 2 + 3)×4 = 24$。
(1)现在有4个有理数:3,4,6,10,运用上述规则,写出两个不同的算式,使其结果为24;
(2)对于4个有理数:1,2,4,8,再多给你一种乘方运算,请你写出一个含乘方的算式,使其结果为24。
(1)$(4-6+10)×3=24$,$10-4+3×6=24$(答案不唯一)
(2)$2^{4}+1×8=24$(答案不唯一)
(1)现在有4个有理数:3,4,6,10,运用上述规则,写出两个不同的算式,使其结果为24;
(2)对于4个有理数:1,2,4,8,再多给你一种乘方运算,请你写出一个含乘方的算式,使其结果为24。
(1)$(4-6+10)×3=24$,$10-4+3×6=24$(答案不唯一)
(2)$2^{4}+1×8=24$(答案不唯一)
答案:
解:
(1)$(4-6+10)×3=24$,$10-4+3×6=24$.
(答案不唯一)
(2)$2^{4}+1×8=24$.(答案不唯一)
(1)$(4-6+10)×3=24$,$10-4+3×6=24$.
(答案不唯一)
(2)$2^{4}+1×8=24$.(答案不唯一)
查看更多完整答案,请扫码查看