2025年新课程同步导学高中数学选择性必修第二册湘教版
注:目前有些书本章节名称可能整理的还不是很完善,但都是按照顺序排列的,请同学们按照顺序仔细查找。练习册 2025年新课程同步导学高中数学选择性必修第二册湘教版 答案主要是用来给同学们做完题方便对答案用的,请勿直接抄袭。
第17页
- 第1页
- 第2页
- 第3页
- 第4页
- 第5页
- 第6页
- 第7页
- 第8页
- 第9页
- 第10页
- 第11页
- 第12页
- 第13页
- 第14页
- 第15页
- 第16页
- 第17页
- 第18页
- 第19页
- 第20页
- 第21页
- 第22页
- 第23页
- 第24页
- 第25页
- 第26页
- 第27页
- 第28页
- 第29页
- 第30页
- 第31页
- 第32页
- 第33页
- 第34页
- 第35页
- 第36页
- 第37页
- 第38页
- 第39页
- 第40页
- 第41页
- 第42页
- 第43页
- 第44页
- 第45页
- 第46页
- 第47页
- 第48页
- 第49页
- 第50页
- 第51页
- 第52页
- 第53页
- 第54页
- 第55页
- 第56页
- 第57页
- 第58页
- 第59页
- 第60页
- 第61页
- 第62页
- 第63页
- 第64页
- 第65页
- 第66页
- 第67页
- 第68页
- 第69页
- 第70页
- 第71页
- 第72页
- 第73页
- 第74页
- 第75页
- 第76页
- 第77页
- 第78页
- 第79页
- 第80页
- 第81页
- 第82页
- 第83页
- 第84页
- 第85页
- 第86页
- 第87页
- 第88页
- 第89页
- 第90页
- 第91页
- 第92页
- 第93页
- 第94页
- 第95页
- 第96页
- 第97页
- 第98页
- 第99页
- 第100页
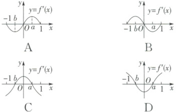
例1 已知函数$y = f(x)$的图象如右图所示,则函数$y = f^\prime(x)$的图象可能是下图中的(

D
)
答案:
从函数 $y = f(x)$ 的图象可知:
当 $x < 0$ 时,函数 $y = f(x)$ 单调递减,所以 $f^\prime(x) < 0$;
当 $0 < x < a$ 时,函数 $y = f(x)$ 单调递增,所以 $f^\prime(x) > 0$;
当 $x > a$ 时,函数 $y = f(x)$ 单调递减,所以 $f^\prime(x) < 0$。
观察选项,只有选项 D 符合上述条件。
故答案为:D。
当 $x < 0$ 时,函数 $y = f(x)$ 单调递减,所以 $f^\prime(x) < 0$;
当 $0 < x < a$ 时,函数 $y = f(x)$ 单调递增,所以 $f^\prime(x) > 0$;
当 $x > a$ 时,函数 $y = f(x)$ 单调递减,所以 $f^\prime(x) < 0$。
观察选项,只有选项 D 符合上述条件。
故答案为:D。
查看更多完整答案,请扫码查看