2025年畅行课堂七年级数学下册华师大版
注:目前有些书本章节名称可能整理的还不是很完善,但都是按照顺序排列的,请同学们按照顺序仔细查找。练习册 2025年畅行课堂七年级数学下册华师大版 答案主要是用来给同学们做完题方便对答案用的,请勿直接抄袭。
第8页
- 第1页
- 第2页
- 第3页
- 第4页
- 第5页
- 第6页
- 第7页
- 第8页
- 第9页
- 第10页
- 第11页
- 第12页
- 第13页
- 第14页
- 第15页
- 第16页
- 第17页
- 第18页
- 第19页
- 第20页
- 第21页
- 第22页
- 第23页
- 第24页
- 第25页
- 第26页
- 第27页
- 第28页
- 第29页
- 第30页
- 第31页
- 第32页
- 第33页
- 第34页
- 第35页
- 第36页
- 第37页
- 第38页
- 第39页
- 第40页
- 第41页
- 第42页
- 第43页
- 第44页
- 第45页
- 第46页
- 第47页
- 第48页
- 第49页
- 第50页
- 第51页
- 第52页
- 第53页
- 第54页
- 第55页
- 第56页
- 第57页
- 第58页
- 第59页
- 第60页
- 第61页
- 第62页
- 第63页
- 第64页
- 第65页
- 第66页
- 第67页
- 第68页
- 第69页
- 第70页
- 第71页
- 第72页
- 第73页
- 第74页
- 第75页
- 第76页
- 第77页
- 第78页
- 第79页
- 第80页
- 第81页
- 第82页
- 第83页
- 第84页
- 第85页
- 第86页
- 第87页
- 第88页
- 第89页
- 第90页
- 第91页
- 第92页
7.(衢州中考)小红在解方程$\frac{7x}{3}=\frac{4x - 1}{6}+1$时,第一步出现了错误:
(1)请在相应的方框内用横线划出小红的错误处;
(2)写出你的解答过程.

(1)请在相应的方框内用横线划出小红的错误处;
(2)写出你的解答过程.
答案:
(1)
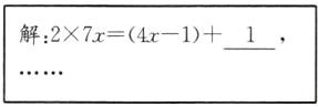
(2)解:去分母,得$2×7x=(4x - 1)+6$.
去括号,得$14x = 4x - 1 + 6$.
移项,得$14x - 4x = - 1 + 6$.
合并同类项,得$10x = 5$.
将未知数的系数化为1,得$x=\frac{1}{2}$.
(1)
(2)解:去分母,得$2×7x=(4x - 1)+6$.
去括号,得$14x = 4x - 1 + 6$.
移项,得$14x - 4x = - 1 + 6$.
合并同类项,得$10x = 5$.
将未知数的系数化为1,得$x=\frac{1}{2}$.
8.(2024·宛城月考)解方程$\frac{2x + 1}{3}-\frac{x - 1}{6}=3$有下列四步,其中正确的一步是( )
A. $2(2x + 1)-x + 1 = 3$
B. $4x + 2-x + 1 = 18$
C. $3x = 0$
D. $x = 0$
A. $2(2x + 1)-x + 1 = 3$
B. $4x + 2-x + 1 = 18$
C. $3x = 0$
D. $x = 0$
答案:
B
9. 若$\frac{3x + 1}{2}$的值比$\frac{2x - 2}{3}$的值小1,则$x$的值为__________.
答案:
$-\frac{13}{5}$
10. 如图,$A$,$B$为数轴上的两点,$O$为原点,点$A$,$B$表示的数分别是$\frac{x}{2}$,$\frac{x + 2}{3}$.若$B$,$O$两点之间的距离等于$A$,$B$两点之间的距离,则$x$的值是______.

答案:
$-8$
11.(2024·宜阳期中)解下列方程:
(1)$\frac{x + 2}{4}-\frac{2x - 1}{6}=1$;
(2)$2.4-\frac{x - 4}{2}=\frac{3}{5}x$.
(1)$\frac{x + 2}{4}-\frac{2x - 1}{6}=1$;
(2)$2.4-\frac{x - 4}{2}=\frac{3}{5}x$.
答案:
(1)解:去分母,得$3(x + 2)-2(2x - 1)=12$.
去括号,得$3x + 6 - 4x + 2 = 12$.
移项,得$3x - 4x = 12 - 6 - 2$.
合并同类项,得$-x = 4$.
将未知数的系数化为1,得$x = - 4$.
(2)解:去分母,得$24 - 5(x - 4)=6x$.
去括号,得$24 - 5x + 20 = 6x$.
移项,得$-5x - 6x = - 24 - 20$.
合并同类项,得$-11x = - 44$.
将未知数的系数化为1,得$x = 4$.
(1)解:去分母,得$3(x + 2)-2(2x - 1)=12$.
去括号,得$3x + 6 - 4x + 2 = 12$.
移项,得$3x - 4x = 12 - 6 - 2$.
合并同类项,得$-x = 4$.
将未知数的系数化为1,得$x = - 4$.
(2)解:去分母,得$24 - 5(x - 4)=6x$.
去括号,得$24 - 5x + 20 = 6x$.
移项,得$-5x - 6x = - 24 - 20$.
合并同类项,得$-11x = - 44$.
将未知数的系数化为1,得$x = 4$.
12. 在数学实践课上,小丽解方程$\frac{2x - 1}{5}+1=\frac{x + a}{2}$,因为粗心,去分母时方程左边的1没有乘以10,从而求得的方程的解为$x = 4$,试求$a$的值,并解出原方程正确的解.
答案:
解:由题意,得方程$2(2x - 1)+1 = 5(x + a)$的解为$x = 4$.
$\therefore2×(2×4 - 1)+1 = 5(4 + a)$,
解得$a = - 1$.
$\therefore$原方程为$\frac{2x - 1}{5}+1=\frac{x - 1}{2}$,
解得$x = 13$.
故$a = - 1$,原方程正确的解为$x = 13$.
$\therefore2×(2×4 - 1)+1 = 5(4 + a)$,
解得$a = - 1$.
$\therefore$原方程为$\frac{2x - 1}{5}+1=\frac{x - 1}{2}$,
解得$x = 13$.
故$a = - 1$,原方程正确的解为$x = 13$.
查看更多完整答案,请扫码查看