第90页
- 第1页
- 第2页
- 第3页
- 第4页
- 第5页
- 第6页
- 第7页
- 第8页
- 第9页
- 第10页
- 第11页
- 第12页
- 第13页
- 第14页
- 第15页
- 第16页
- 第17页
- 第18页
- 第19页
- 第20页
- 第21页
- 第22页
- 第23页
- 第24页
- 第25页
- 第26页
- 第27页
- 第28页
- 第29页
- 第30页
- 第31页
- 第32页
- 第33页
- 第34页
- 第35页
- 第36页
- 第37页
- 第38页
- 第39页
- 第40页
- 第41页
- 第42页
- 第43页
- 第44页
- 第45页
- 第46页
- 第47页
- 第48页
- 第49页
- 第50页
- 第51页
- 第52页
- 第53页
- 第54页
- 第55页
- 第56页
- 第57页
- 第58页
- 第59页
- 第60页
- 第61页
- 第62页
- 第63页
- 第64页
- 第65页
- 第66页
- 第67页
- 第68页
- 第69页
- 第70页
- 第71页
- 第72页
- 第73页
- 第74页
- 第75页
- 第76页
- 第77页
- 第78页
- 第79页
- 第80页
- 第81页
- 第82页
- 第83页
- 第84页
- 第85页
- 第86页
- 第87页
- 第88页
- 第89页
- 第90页
- 第91页
- 第92页
- 第93页
- 第94页
- 第95页
- 第96页
- 第97页
- 第98页
8. (青海省中考)根据等式的性质,下列各式变形正确的是(
A.若 $\frac{a}{c} = \frac{b}{c}$,则 $a = b$
B.若 $ac = bc$,则 $a = b$
C.若 $a^2 = b^2$,则 $a = b$
D.若 $-\frac{1}{3}x = 6$,则 $x = -2$
A
)A.若 $\frac{a}{c} = \frac{b}{c}$,则 $a = b$
B.若 $ac = bc$,则 $a = b$
C.若 $a^2 = b^2$,则 $a = b$
D.若 $-\frac{1}{3}x = 6$,则 $x = -2$
答案:
A
9. 已知 $2x + 3y = 6$,用 $y$ 的代数式表示 $x$ 得(
A.$x = 3 - \frac{3}{2}y$
B.$x = 2 - \frac{2}{3}y$
C.$x = 3 - 3y$
D.$y = 2 - 2x$
A
)A.$x = 3 - \frac{3}{2}y$
B.$x = 2 - \frac{2}{3}y$
C.$x = 3 - 3y$
D.$y = 2 - 2x$
答案:
A
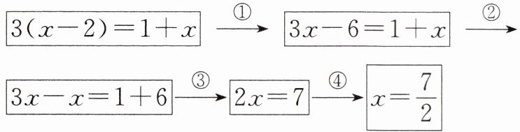
10. (新考法)下面的框图表示小明解方程 3(x - 2) = 1 + x 的流程,其中步骤“④”所用依据是

等式的基本性质2
。
答案:
等式的基本性质2
11. (新定义)规定“$*$”为一种新运算,对任意有理数 $a$,$b$ 有 $a * b = a - 2b$。若 $6 * x = 4$,则 $x = $
1
。
答案:
1
12. 利用等式的基本性质解下列方程:
(1) $5x + 2 = 6x - 3$;
(2) $3 = 5 - 2y$。
(1) $5x + 2 = 6x - 3$;
(2) $3 = 5 - 2y$。
答案:
(1)解:方程两边同时减5x,得2=x-3,方程两边同时加3,得x=5.
(2)解:方程两边同时减5,得-2=-2y,方程两边同时除以-2,得y=1.
(1)解:方程两边同时减5x,得2=x-3,方程两边同时加3,得x=5.
(2)解:方程两边同时减5,得-2=-2y,方程两边同时除以-2,得y=1.
13. 已知 $5b - 3a - 1 = 5a - 3b$,利用等式的基本性质,试比较 $a$ 与 $b$ 的大小。
答案:
解:由5b-3a-1=5a-3b,得8b-8a=1,即8(b-a)=1,
∴b-a=$\frac{1}{8}$>0,
∴b>a.
∴b-a=$\frac{1}{8}$>0,
∴b>a.
14. 能不能从等式 $(a + 3)x = b - 1$ 得到 $x = \frac{b - 1}{a + 3}$,为什么?反之,能不能从 $x = \frac{b - 1}{a + 3}$ 得到等式 $(a + 3)x = b - 1$,为什么?
答案:
解:不能从等式(a+3)x=b-1得到x=$\frac{b-1}{a+3}$.理由:当a=-3时,从(a+3)x=b-1不能得到x=$\frac{b-1}{a+3}$,因为0不能作为除数(或分母).能从x=$\frac{b-1}{a+3}$得到等式(a+3)x=b-1.理由:从x=$\frac{b-1}{a+3}$可知a+3≠0.根据等式的基本性质2,可知从x=$\frac{b-1}{a+3}$可以得到等式(a+3)x=b-1.
如图,两个天平都平衡,则与 2 个球体质量相等的正方体的个数为
]
题目>
5
个。]
答案:
5
如图,下列四个天平中,相同形状的物体的重量是相等的,其中第①个天平是平衡的,根据第①个天平,后三个天平仍然平衡的有

②③
(填序号)。
答案:
②③
用“●”“■”“▲”分别表示三种不同的物体,如图所示,前两架天平保持平衡,若要使第三架天平也平衡,则“?”处应放

5
个“■”。
答案:
5
查看更多完整答案,请扫码查看