第76页
- 第1页
- 第2页
- 第3页
- 第4页
- 第5页
- 第6页
- 第7页
- 第8页
- 第9页
- 第10页
- 第11页
- 第12页
- 第13页
- 第14页
- 第15页
- 第16页
- 第17页
- 第18页
- 第19页
- 第20页
- 第21页
- 第22页
- 第23页
- 第24页
- 第25页
- 第26页
- 第27页
- 第28页
- 第29页
- 第30页
- 第31页
- 第32页
- 第33页
- 第34页
- 第35页
- 第36页
- 第37页
- 第38页
- 第39页
- 第40页
- 第41页
- 第42页
- 第43页
- 第44页
- 第45页
- 第46页
- 第47页
- 第48页
- 第49页
- 第50页
- 第51页
- 第52页
- 第53页
- 第54页
- 第55页
- 第56页
- 第57页
- 第58页
- 第59页
- 第60页
- 第61页
- 第62页
- 第63页
- 第64页
- 第65页
- 第66页
- 第67页
- 第68页
- 第69页
- 第70页
- 第71页
- 第72页
- 第73页
- 第74页
- 第75页
- 第76页
- 第77页
- 第78页
- 第79页
- 第80页
- 第81页
- 第82页
- 第83页
- 第84页
- 第85页
- 第86页
- 第87页
- 第88页
- 第89页
- 第90页
- 第91页
- 第92页
- 第93页
- 第94页
- 第95页
- 第96页
- 第97页
- 第98页
- 第99页
- 第100页
- 第101页
- 第102页
- 第103页
- 第104页
- 第105页
- 第106页
- 第107页
- 第108页
- 第109页
- 第110页
- 第111页
- 第112页
- 第113页
- 第114页
- 第115页
- 第116页
- 第117页
- 第118页
- 第119页
- 第120页
- 第121页
- 第122页
- 第123页
- 第124页
- 第125页
- 第126页
- 第127页
- 第128页
- 第129页
- 第130页
- 第131页
- 第132页
- 第133页
- 第134页
- 第135页
- 第136页
- 第137页
- 第138页
- 第139页
- 第140页
- 第141页
- 第142页
- 第143页
- 第144页
- 第145页
- 第146页
- 第147页
1. 列代数式
在解决问题时,常常先把问题中与数量有关的词语用
在解决问题时,常常先把问题中与数量有关的词语用
代数式
表示出来,这个过程就是列代数式.
答案:
1. 代数式;
2. 代数式的值
一般地,用具体数值代替代数式中的____,按照代数式中指明的____计算出的结果,叫作代数式的值.
一般地,用具体数值代替代数式中的____,按照代数式中指明的____计算出的结果,叫作代数式的值.
答案:
2. 字母,运算;
3. 求代数式的值
(1)求代数式值的步骤如下:
第1步:代入,用具体数值代替代数式里的____;
第2步:计算,按照代数式中指明的____,计算出结果.
(2)代数式的值一般不是一个____的量,它是随着代数式中字母取值的变化而____的.代数式中的字母可以取____的数,但它所取的数必须使代数式有____且符合____.
【知识过关】
(1)求代数式值的步骤如下:
第1步:代入,用具体数值代替代数式里的____;
第2步:计算,按照代数式中指明的____,计算出结果.
(2)代数式的值一般不是一个____的量,它是随着代数式中字母取值的变化而____的.代数式中的字母可以取____的数,但它所取的数必须使代数式有____且符合____.
【知识过关】
答案:
3.
(1)字母,运算;
(2)固定,变化,不同,意义,实际意义
(1)字母,运算;
(2)固定,变化,不同,意义,实际意义
1. 某校七(1)班有m人参加课后服务,其中有$\frac{1}{4}$参加足球兴趣小组,有8人参加书法兴趣小组,则参加其余兴趣小组的共
$(\frac{3}{4}m - 8)$
人.
答案:
$(\frac{3}{4}m - 8)$
2. 若$x= -1,y= 4$,则代数式$2(x+y)$的值为(
A.-6
B.-10
C.6
D.2
C
).A.-6
B.-10
C.6
D.2
答案:
C
3. 如果代数式$2y^{2}-y$的值是1,那么$4y^{2}-2y+5$的值等于
7
.
答案:
7
1. 用数学语言叙述代数式$\frac{1}{a}-b$,下列选项正确的是(
A.a与b的差的倒数
B.b与a的倒数的差
C.a的倒数与b的差
D.1除以a与b的差
C
).A.a与b的差的倒数
B.b与a的倒数的差
C.a的倒数与b的差
D.1除以a与b的差
答案:
C
2. 若$x= -3,y= 1$,则代数式$2x-3y+1$的值为(
A.-10
B.-8
C.4
D.10
B
).A.-10
B.-8
C.4
D.10
答案:
B
3. 已知$a-b= 2$,则代数式$2a-2b-3$的值是(
A.1
B.2
C.5
D.7
A
).A.1
B.2
C.5
D.7
答案:
A
4. 已知a是-2的相反数,b是-2的倒数,则代数式$a^{2}b+ab$的值为
-3
.
答案:
-3
5. 某工厂去年的产值是a万元,今年比去年增加10%,今年的产值是
$(1 + 10\%)a$
万元.
答案:
$(1 + 10\%)a$
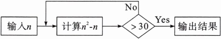
6. 一个简单的数值运算程序如图所示,当输入n的值为3时,输出的结果为

870
.
答案:
870
7. 工程队计划修建一条1200米长的公路,采取新的施工方式后,实际每天修建公路的长度比原计划增加15米,从而缩短了工期,设原计划每天修建公路x米.
(1)原计划修建这条公路需要多少天?实际修建这条公路用了多少天?
(2)实际修建这条公路的工期比原计划缩短了多少天?
(1)原计划修建这条公路需要多少天?实际修建这条公路用了多少天?
(2)实际修建这条公路的工期比原计划缩短了多少天?
答案:
(1)原计划修建这条公路需要$\frac{1200}{x}$天,实际修建这条公路用了$\frac{1200}{x + 15}$天.
(2)实际修建这条公路的工期比原计划缩短了$(\frac{1200}{x}-\frac{1200}{x + 15})$天.
(1)原计划修建这条公路需要$\frac{1200}{x}$天,实际修建这条公路用了$\frac{1200}{x + 15}$天.
(2)实际修建这条公路的工期比原计划缩短了$(\frac{1200}{x}-\frac{1200}{x + 15})$天.
查看更多完整答案,请扫码查看