第35页
- 第1页
- 第2页
- 第3页
- 第4页
- 第5页
- 第6页
- 第7页
- 第8页
- 第9页
- 第10页
- 第11页
- 第12页
- 第13页
- 第14页
- 第15页
- 第16页
- 第17页
- 第18页
- 第19页
- 第20页
- 第21页
- 第22页
- 第23页
- 第24页
- 第25页
- 第26页
- 第27页
- 第28页
- 第29页
- 第30页
- 第31页
- 第32页
- 第33页
- 第34页
- 第35页
- 第36页
- 第37页
- 第38页
- 第39页
- 第40页
- 第41页
- 第42页
- 第43页
- 第44页
- 第45页
- 第46页
- 第47页
- 第48页
- 第49页
- 第50页
- 第51页
- 第52页
- 第53页
- 第54页
- 第55页
- 第56页
- 第57页
- 第58页
- 第59页
- 第60页
- 第61页
- 第62页
- 第63页
- 第64页
- 第65页
- 第66页
- 第67页
- 第68页
- 第69页
- 第70页
- 第71页
- 第72页
- 第73页
- 第74页
- 第75页
- 第76页
- 第77页
- 第78页
- 第79页
- 第80页
- 第81页
- 第82页
- 第83页
- 第84页
- 第85页
- 第86页
- 第87页
- 第88页
- 第89页
- 第90页
- 第91页
- 第92页
- 第93页
- 第94页
- 第95页
- 第96页
- 第97页
- 第98页
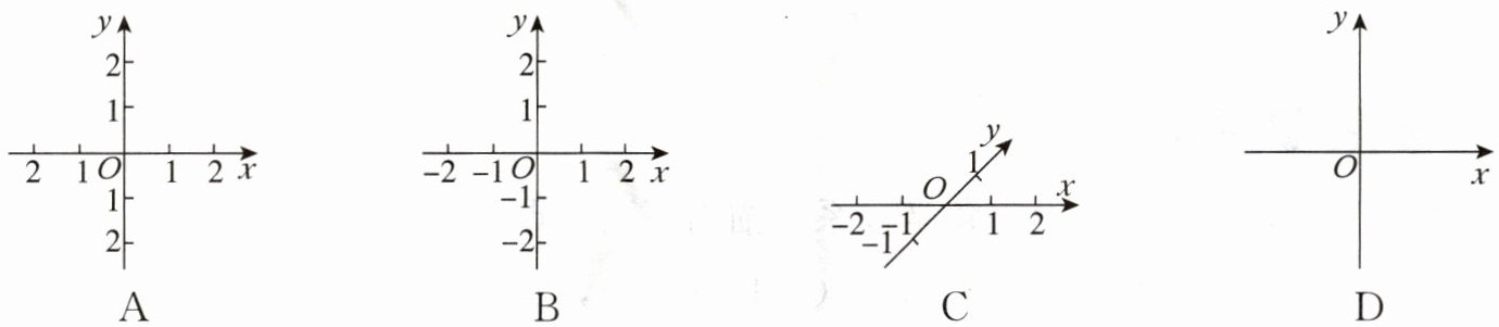
1. 四名同学各画了一个平面直角坐标系,其中画法正确的是(

B
)。
答案:
B
2. 如图,点$A和点B$所在的位置分别是(

A.第二象限内,$y$轴上
B.第四象限内,$y$轴上
C.第二象限内,$x$轴上
D.第四象限内,$x$轴上
B
)。A.第二象限内,$y$轴上
B.第四象限内,$y$轴上
C.第二象限内,$x$轴上
D.第四象限内,$x$轴上
答案:
B
3. 如图,下列各点在阴影区域内的是(

A.$(-\dfrac{1}{2},4)$
B.$(3,-2)$
C.$(-5,5)$
D.$(-2,-1)$
D
)。A.$(-\dfrac{1}{2},4)$
B.$(3,-2)$
C.$(-5,5)$
D.$(-2,-1)$
答案:
D
4. 点$P(3,-4)$到$x$轴的距离是
4
,到$y$轴的距离是3
,到原点的距离是5
。
答案:
4 3 5
5. 在$x$轴上,且到$A(1,0)的距离是\sqrt{2}的点B$的坐标为
$(1+\sqrt{2},0)$或$(1-\sqrt{2},0)$
。
答案:
$(1+\sqrt{2},0)$或$(1-\sqrt{2},0)$
6. 在平面直角坐标系中,顺次连接点$A(-3,4)$,$B(-3,-2)$,$C(6,-2)$,$D(6,4)$,$A(-3,4)$,得到的四边形是(
A.梯形
B.四边相等的四边形
C.长方形
D.正方形
C
)。A.梯形
B.四边相等的四边形
C.长方形
D.正方形
答案:
C
查看更多完整答案,请扫码查看