第6页
- 第1页
- 第2页
- 第3页
- 第4页
- 第5页
- 第6页
- 第7页
- 第8页
- 第9页
- 第10页
- 第11页
- 第12页
- 第13页
- 第14页
- 第15页
- 第16页
- 第17页
- 第18页
- 第19页
- 第20页
- 第21页
- 第22页
- 第23页
- 第24页
- 第25页
- 第26页
- 第27页
- 第28页
- 第29页
- 第30页
- 第31页
- 第32页
- 第33页
- 第34页
- 第35页
- 第36页
- 第37页
- 第38页
- 第39页
- 第40页
- 第41页
- 第42页
- 第43页
- 第44页
- 第45页
- 第46页
- 第47页
- 第48页
- 第49页
- 第50页
- 第51页
- 第52页
- 第53页
- 第54页
- 第55页
- 第56页
- 第57页
- 第58页
- 第59页
- 第60页
- 第61页
- 第62页
- 第63页
- 第64页
- 第65页
- 第66页
- 第67页
- 第68页
- 第69页
- 第70页
- 第71页
- 第72页
- 第73页
- 第74页
- 第75页
- 第76页
- 第77页
- 第78页
- 第79页
- 第80页
- 第81页
- 第82页
- 第83页
- 第84页
- 第85页
- 第86页
- 第87页
- 第88页
- 第89页
- 第90页
- 第91页
- 第92页
- 第93页
- 第94页
- 第95页
- 第96页
- 第97页
- 第98页
1. (教材 P9 练习 T1 变式)填空:
(1) $x^{2}+4x+$
(2) $x^{2}-\frac{4}{5}x+$
(1) $x^{2}+4x+$
4
$=(x+$2
$)^{2}$.(2) $x^{2}-\frac{4}{5}x+$
\frac{4}{25}
$=(x-$\frac{2}{5}
$)^{2}$.
答案:
$1.(1)4 2 (2)\frac{4}{25} \frac{2}{5}$
2. (2024·德州)把多项式 $x^{2}-3x + 4$ 进行配方,结果为(
A.$(x - 3)^{2}-5$
B.$(x-\frac{3}{2})^{2}+\frac{7}{4}$
C.$(x-\frac{3}{2})^{2}+\frac{25}{4}$
D.$(x+\frac{3}{2})^{2}+\frac{7}{4}$
B
)A.$(x - 3)^{2}-5$
B.$(x-\frac{3}{2})^{2}+\frac{7}{4}$
C.$(x-\frac{3}{2})^{2}+\frac{25}{4}$
D.$(x+\frac{3}{2})^{2}+\frac{7}{4}$
答案:
2.B
3. 把一元二次方程 $a^{2}-8a = 9$ 配方,需在方程两边都加上
16
.
答案:
3.16
4. 用配方法解方程 $x^{2}+4x - 1 = 0$,变形正确的是(
A.$(x + 2)^{2}=5$
B.$(x + 4)^{2}=5$
C.$(x + 2)^{2}=1$
D.$(x + 4)^{2}=1$
A
)A.$(x + 2)^{2}=5$
B.$(x + 4)^{2}=5$
C.$(x + 2)^{2}=1$
D.$(x + 4)^{2}=1$
答案:
4.A
5. 若一元二次方程 $x^{2}+px + q = 0$ 配方后的结果为 $(x - 2)^{2}=1$,则 $p$,$q$ 的值分别是(
A.$4$,$3$
B.$0$,$-5$
C.$-4$,$3$
D.$-4$,$4$
C
)A.$4$,$3$
B.$0$,$-5$
C.$-4$,$3$
D.$-4$,$4$
答案:
5.C
6. 用配方法解方程:
(1) $x^{2}-2x - 2 = 0$.
(2) $x^{2}-5x - 6 = 0$.
(1) $x^{2}-2x - 2 = 0$.
(2) $x^{2}-5x - 6 = 0$.
答案:
6.解:
(1)x² - 2x = 2,x² - 2x + 1 = 2 + 1,即(x - 1)² = 3.
∴x - 1 = ±√3.
∴$x₁ = 1 + √3,x₂ = 1 - √3.(2)x² - 5x = 6,x² - 5x + (\frac{5}{2})² = 6 + (\frac{5}{2})²,$即$(x - \frac{5}{2})² = \frac{49}{4}.$
∴$x - \frac{5}{2} = ±\frac{7}{2}.$
∴x₁ = 6,x₂ = -1.
(1)x² - 2x = 2,x² - 2x + 1 = 2 + 1,即(x - 1)² = 3.
∴x - 1 = ±√3.
∴$x₁ = 1 + √3,x₂ = 1 - √3.(2)x² - 5x = 6,x² - 5x + (\frac{5}{2})² = 6 + (\frac{5}{2})²,$即$(x - \frac{5}{2})² = \frac{49}{4}.$
∴$x - \frac{5}{2} = ±\frac{7}{2}.$
∴x₁ = 6,x₂ = -1.
7. 用配方法解一元二次方程 $3x^{2}-12x - 1 = 0$,配方正确的是(
A.$3(x - 2)^{2}=5$
B.$(3x - 2)^{2}=13$
C.$(x - 2)^{2}=5$
D.$(x - 2)^{2}=\frac{13}{3}$
D
)A.$3(x - 2)^{2}=5$
B.$(3x - 2)^{2}=13$
C.$(x - 2)^{2}=5$
D.$(x - 2)^{2}=\frac{13}{3}$
答案:
7.D
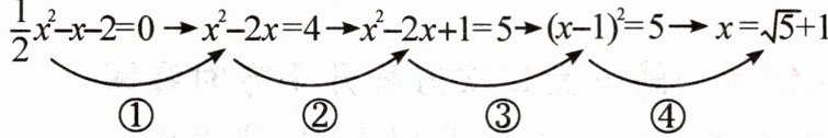
8. 下列用配方法解方程 $\frac{1}{2}x^{2}-x - 2 = 0$ 的四个步骤中,出现错误的是(
$\frac{1}{2}x^{2}-x - 2 = 0 \xrightarrow{①} x^{2}-2x = 4 \xrightarrow{②} x^{2}-2x + 1 = 5 \xrightarrow{③} (x - 1)^{2}=5 \xrightarrow{④} x=\sqrt{5}+1$

A.①
B.②
C.③
D.④
D
)$\frac{1}{2}x^{2}-x - 2 = 0 \xrightarrow{①} x^{2}-2x = 4 \xrightarrow{②} x^{2}-2x + 1 = 5 \xrightarrow{③} (x - 1)^{2}=5 \xrightarrow{④} x=\sqrt{5}+1$
A.①
B.②
C.③
D.④
答案:
8.D
9. 用配方法解方程:
(1) $2x^{2}-4x = -1$.
(2) $4x^{2}+4x - 3 = 0$.
(1) $2x^{2}-4x = -1$.
(2) $4x^{2}+4x - 3 = 0$.
答案:
9.解:$(1)x² - 2x = -\frac{1}{2},x² - 2x + 1 = -\frac{1}{2} + 1,$即$(x - 1)² = \frac{1}{2}.$
∴$x - 1 = ±\frac{\sqrt{2}}{2}.$
∴$x₁ = 1 + \frac{\sqrt{2}}{2},x₂ = 1 - \frac{\sqrt{2}}{2}.(2)x² + x = \frac{3}{4},x² + x + (\frac{1}{2})² = \frac{3}{4} + (\frac{1}{2})²,$即$(x + \frac{1}{2})² = 1.$
∴$x + \frac{1}{2} = ±1.$
∴$x₁ = \frac{1}{2},x₂ = -\frac{3}{2}.$
∴$x - 1 = ±\frac{\sqrt{2}}{2}.$
∴$x₁ = 1 + \frac{\sqrt{2}}{2},x₂ = 1 - \frac{\sqrt{2}}{2}.(2)x² + x = \frac{3}{4},x² + x + (\frac{1}{2})² = \frac{3}{4} + (\frac{1}{2})²,$即$(x + \frac{1}{2})² = 1.$
∴$x + \frac{1}{2} = ±1.$
∴$x₁ = \frac{1}{2},x₂ = -\frac{3}{2}.$
10. 阅读下列解答过程,并完成相应任务.
解方程:$2x^{2}+6x - 5 = 0$.
解:移项,得 $2x^{2}+6x = 5$. ①
二次项系数化为 1,得 $x^{2}+3x=\frac{5}{2}$. ②
配方,得 $x^{2}+3x+\frac{9}{4}=\frac{5}{2}$,③
即 $(x+\frac{3}{2})^{2}=\frac{5}{2}$.
$\therefore x+\frac{3}{2}=\pm\frac{\sqrt{10}}{2}$. ④
$\therefore x_{1}=\frac{-3+\sqrt{10}}{2},x_{2}=\frac{-3-\sqrt{10}}{2}$. ⑤
任务:
(1) 上述过程从步骤
(2) 请写出正确的解答过程.
解方程:$2x^{2}+6x - 5 = 0$.
解:移项,得 $2x^{2}+6x = 5$. ①
二次项系数化为 1,得 $x^{2}+3x=\frac{5}{2}$. ②
配方,得 $x^{2}+3x+\frac{9}{4}=\frac{5}{2}$,③
即 $(x+\frac{3}{2})^{2}=\frac{5}{2}$.
$\therefore x+\frac{3}{2}=\pm\frac{\sqrt{10}}{2}$. ④
$\therefore x_{1}=\frac{-3+\sqrt{10}}{2},x_{2}=\frac{-3-\sqrt{10}}{2}$. ⑤
任务:
(1) 上述过程从步骤
③
(填序号)开始出现错误,错误的原因是配方时,只在方程的左边加上一次项系数一半的平方,而在右边没有加
.(2) 请写出正确的解答过程.
答案:
10.解:
(1)③ 配方时,只在方程的左边加上一次项系数一半的平方,而在右边没有加
(2)移项,得2x² + 6x = 5.二次项系数化为1,得$x² + 3x = \frac{5}{2}.$配方,得$x² + 3x + (\frac{3}{2})² = \frac{19}{4} + (\frac{3}{2})²,$即$(x + \frac{3}{2})² = \frac{19}{4}.$
∴$x + \frac{3}{2} = ±\frac{\sqrt{19}}{2}.$
∴$x₁ = \frac{-3 + \sqrt{19}}{2},x₂ = \frac{-3 - \sqrt{19}}{2}.$
(1)③ 配方时,只在方程的左边加上一次项系数一半的平方,而在右边没有加
(2)移项,得2x² + 6x = 5.二次项系数化为1,得$x² + 3x = \frac{5}{2}.$配方,得$x² + 3x + (\frac{3}{2})² = \frac{19}{4} + (\frac{3}{2})²,$即$(x + \frac{3}{2})² = \frac{19}{4}.$
∴$x + \frac{3}{2} = ±\frac{\sqrt{19}}{2}.$
∴$x₁ = \frac{-3 + \sqrt{19}}{2},x₂ = \frac{-3 - \sqrt{19}}{2}.$
查看更多完整答案,请扫码查看