第56页
- 第1页
- 第2页
- 第3页
- 第4页
- 第5页
- 第6页
- 第7页
- 第8页
- 第9页
- 第10页
- 第11页
- 第12页
- 第13页
- 第14页
- 第15页
- 第16页
- 第17页
- 第18页
- 第19页
- 第20页
- 第21页
- 第22页
- 第23页
- 第24页
- 第25页
- 第26页
- 第27页
- 第28页
- 第29页
- 第30页
- 第31页
- 第32页
- 第33页
- 第34页
- 第35页
- 第36页
- 第37页
- 第38页
- 第39页
- 第40页
- 第41页
- 第42页
- 第43页
- 第44页
- 第45页
- 第46页
- 第47页
- 第48页
- 第49页
- 第50页
- 第51页
- 第52页
- 第53页
- 第54页
- 第55页
- 第56页
- 第57页
- 第58页
- 第59页
- 第60页
- 第61页
- 第62页
- 第63页
- 第64页
- 第65页
- 第66页
- 第67页
- 第68页
- 第69页
- 第70页
- 第71页
- 第72页
- 第73页
- 第74页
- 第75页
- 第76页
- 第77页
- 第78页
- 第79页
- 第80页
- 第81页
- 第82页
- 第83页
- 第84页
- 第85页
- 第86页
- 第87页
- 第88页
- 第89页
- 第90页
- 第91页
- 第92页
- 第93页
- 第94页
- 第95页
- 第96页
- 第97页
- 第98页
1. (2023·河南)小林同学不仅是一名羽毛球运动爱好者,还喜欢运用数学知识对羽毛球比赛进行技术分析,下面是他对击球线路的分析.
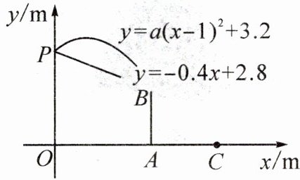
如图,在平面直角坐标系中,点 A,C 在 x 轴上,球网 AB 与 y 轴的水平距离 $ OA = 3m $, $ CA = 2m $,击球点 P 在 y 轴上. 若选择扣球,羽毛球的飞行高度 $ y(m) $与水平距离 $ x(m) $近似满足一次函数关系 $ y = - 0.4x + 2.8 $;若选择吊球,羽毛球的飞行高度 $ y(m) $与水平距离 $ x(m) $近似满足二次函数关系 $ y = a(x - 1)^2 + 3.2 $.
(1)求点 P 的坐标和 a 的值.
(2)小林分析发现,上面两种击球方式均能使球过网.要使球的落地点到点 C 的距离更近,请通过计算判断应选择哪种击球方式.

如图,在平面直角坐标系中,点 A,C 在 x 轴上,球网 AB 与 y 轴的水平距离 $ OA = 3m $, $ CA = 2m $,击球点 P 在 y 轴上. 若选择扣球,羽毛球的飞行高度 $ y(m) $与水平距离 $ x(m) $近似满足一次函数关系 $ y = - 0.4x + 2.8 $;若选择吊球,羽毛球的飞行高度 $ y(m) $与水平距离 $ x(m) $近似满足二次函数关系 $ y = a(x - 1)^2 + 3.2 $.
(1)求点 P 的坐标和 a 的值.
(2)小林分析发现,上面两种击球方式均能使球过网.要使球的落地点到点 C 的距离更近,请通过计算判断应选择哪种击球方式.
答案:
1.解:
(1)在y = -0.4x + 2.8中,令x = 0,得y = 2.8.
∴点P的坐标为(0,2.8).把P(0,2.8)代入y = a(x - 1)² + 3.2,得a + 3.2 = 2.8,解得a = -0.4.
∴a的值是 -0.4.
(2)
∵OA = 3m, CA = 2m,
∴OC = 5m.
∴C(5,0).在y = -0.4x + 2.8中,令y = 0,得x = 7.在y = -0.4(x - 1)² + 3.2中,令y = 0,得x = -2√2 + 1 (舍去)或x = 2√2 + 1.
∵|7 - 5| > |2√2 + 1 - 5|,
∴选择吊球方式,球的落地点到点C的距离更近.
(1)在y = -0.4x + 2.8中,令x = 0,得y = 2.8.
∴点P的坐标为(0,2.8).把P(0,2.8)代入y = a(x - 1)² + 3.2,得a + 3.2 = 2.8,解得a = -0.4.
∴a的值是 -0.4.
(2)
∵OA = 3m, CA = 2m,
∴OC = 5m.
∴C(5,0).在y = -0.4x + 2.8中,令y = 0,得x = 7.在y = -0.4(x - 1)² + 3.2中,令y = 0,得x = -2√2 + 1 (舍去)或x = 2√2 + 1.
∵|7 - 5| > |2√2 + 1 - 5|,
∴选择吊球方式,球的落地点到点C的距离更近.
2. (2024·南充模拟)电商小李在某平台上对一款成本单价为 10 元的商品进行直播销售,规定销售单价不低于成本单价,且不高于成本单价的 3 倍.通过前几天的销售发现,当销售单价为 15 元时,每天可售出 700 件,销售单价每上涨 10 元,每天销售量就减少 200 件,设此商品的销售单价为 x 元,每天的销售量为 y 件.
(1)求 y 关于 x 的函数关系式,并写出 x 的取值范围.
(2)若销售该商品每天的利润为 7 500 元,求该商品的销售单价.
(3)小李热心公益事业,决定每销售一件该商品就捐款 $ m $元($ m > 0 $)给希望工程,当每天销售最大利润为 6 000 元时,求 m 的值.
(1)求 y 关于 x 的函数关系式,并写出 x 的取值范围.
(2)若销售该商品每天的利润为 7 500 元,求该商品的销售单价.
(3)小李热心公益事业,决定每销售一件该商品就捐款 $ m $元($ m > 0 $)给希望工程,当每天销售最大利润为 6 000 元时,求 m 的值.
答案:
2.解:
(1)由题意,得y = 700 - (x - 15)/10 × 200 = -20x + 1000.
∵销售单价不低于成本单价,且不高于成本单价的3倍,
∴10 ≤ x ≤ 30.
(2)由题意,得(x - 10)( -20x + 1000) = 7500,解得x₁ = 25,x₂ = 35.
∵10 ≤ x ≤ 30,
∴x = 25.
答:该商品的销售单价为25元.
(3)设销售该商品每天的总利润为w元,则w = (x - 10 - m)( -20x + 1000) = -20(x - 50)(x - 10 - m),
∴x = (50 + 10 + m)/2 = m/2 + 30.
∵m > 0,
∴10 ≤ x ≤ 30在对称轴左侧.
∵抛物线开口向下,
∴w随x的增大而增大.当x = 30时,w最大 = 6000,即 -20×(30 - 50)(30 - 10 - m) = 6000,解得m = 5.
(1)由题意,得y = 700 - (x - 15)/10 × 200 = -20x + 1000.
∵销售单价不低于成本单价,且不高于成本单价的3倍,
∴10 ≤ x ≤ 30.
(2)由题意,得(x - 10)( -20x + 1000) = 7500,解得x₁ = 25,x₂ = 35.
∵10 ≤ x ≤ 30,
∴x = 25.
答:该商品的销售单价为25元.
(3)设销售该商品每天的总利润为w元,则w = (x - 10 - m)( -20x + 1000) = -20(x - 50)(x - 10 - m),
∴x = (50 + 10 + m)/2 = m/2 + 30.
∵m > 0,
∴10 ≤ x ≤ 30在对称轴左侧.
∵抛物线开口向下,
∴w随x的增大而增大.当x = 30时,w最大 = 6000,即 -20×(30 - 50)(30 - 10 - m) = 6000,解得m = 5.
查看更多完整答案,请扫码查看