第36页
- 第1页
- 第2页
- 第3页
- 第4页
- 第5页
- 第6页
- 第7页
- 第8页
- 第9页
- 第10页
- 第11页
- 第12页
- 第13页
- 第14页
- 第15页
- 第16页
- 第17页
- 第18页
- 第19页
- 第20页
- 第21页
- 第22页
- 第23页
- 第24页
- 第25页
- 第26页
- 第27页
- 第28页
- 第29页
- 第30页
- 第31页
- 第32页
- 第33页
- 第34页
- 第35页
- 第36页
- 第37页
- 第38页
- 第39页
- 第40页
- 第41页
- 第42页
- 第43页
- 第44页
- 第45页
- 第46页
- 第47页
- 第48页
- 第49页
- 第50页
- 第51页
- 第52页
- 第53页
- 第54页
- 第55页
- 第56页
- 第57页
- 第58页
- 第59页
- 第60页
- 第61页
- 第62页
- 第63页
- 第64页
- 第65页
- 第66页
- 第67页
- 第68页
- 第69页
- 第70页
- 第71页
- 第72页
- 第73页
- 第74页
- 第75页
- 第76页
- 第77页
- 第78页
- 第79页
- 第80页
- 第81页
- 第82页
- 第83页
- 第84页
- 第85页
- 第86页
- 第87页
- 第88页
- 第89页
- 第90页
- 第91页
- 第92页
- 第93页
- 第94页
- 第95页
- 第96页
- 第97页
- 第98页
1. (教材P37练习变式)填写下列抛物线的开口方向、对称轴及顶点坐标.

答案:
1.向下 直线$x=-3(-3,5)$ 向上 直线$x=-1(-1,-2)$向上 直线$x=5(5,-7)$ 向下 直线$x=2(2,6)$
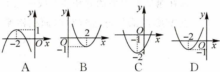
2. 二次函数$y=(x + 2)^2 - 1$的图象大致为(

D
)
答案:
2.D
3. (2024·哈尔滨)二次函数$y = 2(x + 1)^2 + 3$的最小值是(
A.$-1$
B.$1$
C.$2$
D.$3$
D
)A.$-1$
B.$1$
C.$2$
D.$3$
答案:
3.D
4. 对于抛物线$y = - (x - 2)^2 + 5$,下列判断正确的是(
A.抛物线的开口向上
B.对称轴为直线$x = 2$
C.抛物线的顶点坐标是$(-2,5)$
D.当$x>3$时,$y$随$x$的增大而增大
B
)A.抛物线的开口向上
B.对称轴为直线$x = 2$
C.抛物线的顶点坐标是$(-2,5)$
D.当$x>3$时,$y$随$x$的增大而增大
答案:
4.B
5. 若点$(-2,a)$,$(3,b)$都在二次函数$y=(x + 1)^2 - 1$的图象上,则$a$与$b$的大小关系是(
A.$a < b$
B.$a = b$
C.$a > b$
D.不确定
A
)A.$a < b$
B.$a = b$
C.$a > b$
D.不确定
答案:
5.A
6. (2023·哈尔滨)抛物线$y = - (x + 2)^2 + 6$与$y$轴的交点坐标是
(0,2)
.
答案:
6.(0,2)
7. 如果抛物线$y=(x + m)^2 + m + 1$的对称轴是直线$x = - 1$,那么它的顶点坐标是
(-1,2)
.
答案:
7.(-1,2)
8. 将抛物线$y = 6x^2$先向左平移$2$个单位长度,再向上平移$3$个单位长度后,得到( )
A.$y = 6(x + 2)^2 + 3$
B.$y = 6(x + 2)^2 - 3$
C.$y = 6(x - 2)^2 + 3$
D.$y = 6(x - 2)^2 - 3$
A.$y = 6(x + 2)^2 + 3$
B.$y = 6(x + 2)^2 - 3$
C.$y = 6(x - 2)^2 + 3$
D.$y = 6(x - 2)^2 - 3$
答案:
8.A
9. 将抛物线$y = - \frac{1}{2}x^2$先向
右(或下)
平移1(或2)
个单位长度,再向下(或右)
平移2(或1)
个单位长度后,得到抛物线$y = - \frac{1}{2}(x - 1)^2 - 2$.
答案:
9.右(或下) 1(或2)下(或右) 2(或1)
10. 将抛物线$y = a(x - h)^2 + k$先向左平移$2$个单位长度,再向下平移$3$个单位长度,得到二次函数$y = - 2(x + 3)^2 + 1$的图象.
(1)确定$a$,$h$,$k$的值.
(2)写出二次函数$y = a(x - h)^2 + k$的增减性和最值.
(1)确定$a$,$h$,$k$的值.
(2)写出二次函数$y = a(x - h)^2 + k$的增减性和最值.
答案:
10.解:
(1)由题意,得$a=-2,-h + 2 = 3,k - 3 = 1.\therefore a=-2,h=-1,k=4$.
(2)由
(1)知,$y=-2(x + 1)^{2}+4$.$\therefore$当$x<-1$时,$y$随$x$的增大而增大;当$x>-1$时,$y$随$x$的增大而减小;当$x=-1$时,$y$取最大值4.
(1)由题意,得$a=-2,-h + 2 = 3,k - 3 = 1.\therefore a=-2,h=-1,k=4$.
(2)由
(1)知,$y=-2(x + 1)^{2}+4$.$\therefore$当$x<-1$时,$y$随$x$的增大而增大;当$x>-1$时,$y$随$x$的增大而减小;当$x=-1$时,$y$取最大值4.
11. 抛物线的函数解析式为$y = 3(x - 2)^2 + 1$,若将$x$轴向下平移$2$个单位长度,将$y$轴向左平移$3$个单位长度,则该抛物线在新的平面直角坐标系中的函数解析式为(
A.$y = 3(x + 1)^2 + 3$
B.$y = 3(x - 5)^2 + 3$
C.$y = 3(x - 5)^2 - 1$
D.$y = 3(x + 1)^2 - 1$
B
)A.$y = 3(x + 1)^2 + 3$
B.$y = 3(x - 5)^2 + 3$
C.$y = 3(x - 5)^2 - 1$
D.$y = 3(x + 1)^2 - 1$
答案:
11.B
查看更多完整答案,请扫码查看