第47页
- 第1页
- 第2页
- 第3页
- 第4页
- 第5页
- 第6页
- 第7页
- 第8页
- 第9页
- 第10页
- 第11页
- 第12页
- 第13页
- 第14页
- 第15页
- 第16页
- 第17页
- 第18页
- 第19页
- 第20页
- 第21页
- 第22页
- 第23页
- 第24页
- 第25页
- 第26页
- 第27页
- 第28页
- 第29页
- 第30页
- 第31页
- 第32页
- 第33页
- 第34页
- 第35页
- 第36页
- 第37页
- 第38页
- 第39页
- 第40页
- 第41页
- 第42页
- 第43页
- 第44页
- 第45页
- 第46页
- 第47页
- 第48页
- 第49页
- 第50页
- 第51页
- 第52页
- 第53页
- 第54页
- 第55页
- 第56页
- 第57页
- 第58页
- 第59页
- 第60页
- 第61页
- 第62页
- 第63页
- 第64页
- 第65页
- 第66页
- 第67页
- 第68页
- 第69页
- 第70页
- 第71页
- 第72页
- 第73页
- 第74页
- 第75页
- 第76页
- 第77页
- 第78页
- 第79页
- 第80页
- 第81页
- 第82页
- 第83页
- 第84页
- 第85页
- 第86页
- 第87页
- 第88页
- 第89页
- 第90页
- 第91页
- 第92页
- 第93页
- 第94页
- 第95页
- 第96页
- 第97页
- 第98页
14. (新考向)推理能力已知二次函数$y = ax^{2}+bx + c(a\neq0)$的最小值为2,则(
A.$a > 0,b^{2}-4ac = 0$
B.$a > 0,b^{2}-4ac < 0$
C.$a < 0,b^{2}-4ac = 0$
D.$a < 0,b^{2}-4ac > 0$
B
)A.$a > 0,b^{2}-4ac = 0$
B.$a > 0,b^{2}-4ac < 0$
C.$a < 0,b^{2}-4ac = 0$
D.$a < 0,b^{2}-4ac > 0$
答案:
14.B
15. 二次函数$y = ax^{2}+bx + c$的图象如图所示,下列说法错误的是(

A.$a < 0,b > 0$
B.$b^{2}-4ac > 0$
C.方程$ax^{2}+bx + c = 0$的解是$x_{1}=5,x_{2}=-1$
D.不等式$ax^{2}+bx + c > 0$的解集是$0 < x < 5$
D
)A.$a < 0,b > 0$
B.$b^{2}-4ac > 0$
C.方程$ax^{2}+bx + c = 0$的解是$x_{1}=5,x_{2}=-1$
D.不等式$ax^{2}+bx + c > 0$的解集是$0 < x < 5$
答案:
15.D
16. (2024·泸州)已知二次函数$y = ax^{2}+(2a - 3)x + a - 1$(x是自变量)的图象经过第一、二、四象限,则实数a的取值范围为(
A.$1\leqslant a < \frac{9}{8}$
B.$0 < a < \frac{3}{2}$
C.$0 < a < \frac{9}{8}$
D.$1\leqslant a < \frac{3}{2}$
A
)A.$1\leqslant a < \frac{9}{8}$
B.$0 < a < \frac{3}{2}$
C.$0 < a < \frac{9}{8}$
D.$1\leqslant a < \frac{3}{2}$
答案:
16.A
17. (2023·南充)抛物线$y = -x^{2}+kx + k-\frac{5}{4}$与x轴的一个交点为$A(m,0)$,若$-2\leqslant m\leqslant1$,则实数k的取值范围是(
A.$-\frac{21}{4}\leqslant k\leqslant1$
B.$k\leqslant-\frac{21}{4}$或$k\geqslant1$
C.$-5\leqslant k\leqslant\frac{9}{8}$
D.$k\leqslant-5$或$k\geqslant\frac{9}{8}$
B
)A.$-\frac{21}{4}\leqslant k\leqslant1$
B.$k\leqslant-\frac{21}{4}$或$k\geqslant1$
C.$-5\leqslant k\leqslant\frac{9}{8}$
D.$k\leqslant-5$或$k\geqslant\frac{9}{8}$
答案:
17.B
1. 如图,抛物线$y_{1}=ax^{2}$与直线$y_{2}=bx + c$的两个交点坐标分别为$A(m,-\frac{9}{4}),B(1,-1)$。
(1)m的值为
(2)不等式$y_{1}>y_{2}$的解集是

(1)m的值为
-3/2
,方程$ax^{2}-bx - c = 0$的解是x₁=-3/2,x₂=1
。(2)不等式$y_{1}>y_{2}$的解集是
-3/2<x<1
,不等式$y_{1}\leqslant y_{2}$的解集是x≤-3/2或x≥1
。
答案:
1.
(1)$-\frac{3}{2}$,$x₁=-\frac{3}{2}$,$x₂=1$
(2)$-\frac{3}{2}<x<1$ $x\leqslant-\frac{3}{2}$或$x\geqslant1$
(1)$-\frac{3}{2}$,$x₁=-\frac{3}{2}$,$x₂=1$
(2)$-\frac{3}{2}<x<1$ $x\leqslant-\frac{3}{2}$或$x\geqslant1$
2. 已知二次函数$y_{1}=x^{2}+bx - 3$的图象与直线$y_{2}=x + 1$交于点$A(-1,0)$,$C(4,m)$。
(1)求二次函数的解析式和m的值。
(2)当$y_{1}>y_{2}$时,求自变量x的取值范围。
(3)将直线AC沿y轴上下平移,当平移后的直线与抛物线只有一个公共点时,求平移后的直线解析式。
(1)求二次函数的解析式和m的值。
(2)当$y_{1}>y_{2}$时,求自变量x的取值范围。
(3)将直线AC沿y轴上下平移,当平移后的直线与抛物线只有一个公共点时,求平移后的直线解析式。
答案:
2.解:
(1)把A(-1,0)代入$y₁=x^{2}+bx-3$,得0=1-b-3,解得b=-2.
∴$y₁=x^{2}-2x-3$.把C(4,m)代入$y₂=x+1$,得m=4+1=5.
(2)如图,根据图象可知,当$y₁>y₂$时,自变量x的取值范围是x<-1或x>4.
(3)设直线AC平移后的解析式为y=x+k.联立$\begin{cases}y=x+k\\y=x^{2}-2x-3\end{cases}$,得$x^{2}-3x-3-k=0$.
∵平移后的直线与抛物线只有一个公共点,
∴$\Delta=(-3)^{2}-4(-k-3)=0$,解得$k=-\frac{21}{4}$.
∴平移后的直线解析式为$y=x-\frac{21}{4}$.
2.解:
(1)把A(-1,0)代入$y₁=x^{2}+bx-3$,得0=1-b-3,解得b=-2.
∴$y₁=x^{2}-2x-3$.把C(4,m)代入$y₂=x+1$,得m=4+1=5.
(2)如图,根据图象可知,当$y₁>y₂$时,自变量x的取值范围是x<-1或x>4.
(3)设直线AC平移后的解析式为y=x+k.联立$\begin{cases}y=x+k\\y=x^{2}-2x-3\end{cases}$,得$x^{2}-3x-3-k=0$.
∵平移后的直线与抛物线只有一个公共点,
∴$\Delta=(-3)^{2}-4(-k-3)=0$,解得$k=-\frac{21}{4}$.
∴平移后的直线解析式为$y=x-\frac{21}{4}$.
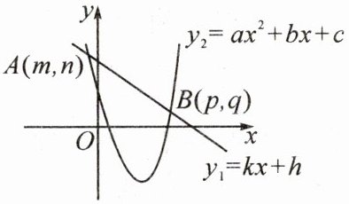
(1)若直线$y_{1}=kx + h$与抛物线$y_{2}=ax^{2}+bx + c$没有交点,则方程$ax^{2}+bx + c = kx + h$中$\Delta < 0$;
(2)若直线$y_{1}=kx + h$与抛物线$y_{2}=ax^{2}+bx + c$有一个交点,则方程$ax^{2}+bx + c = kx + h$中$\Delta$;
(3)如图,直线$y_{1}=kx + h$与抛物线$y_{2}=ax^{2}+bx + c$交于点$A(m,n)$,$B(p,q)$,则方程$ax^{2}+bx + c = kx + h$的根为$x_{1}=m,x_{2}=p$,不等式$y_{1}<y_{2}$的解集为$x < m$或$x > p$,不等式$y_{1}>y_{2}$的解集为。

(2)若直线$y_{1}=kx + h$与抛物线$y_{2}=ax^{2}+bx + c$有一个交点,则方程$ax^{2}+bx + c = kx + h$中$\Delta$;
(3)如图,直线$y_{1}=kx + h$与抛物线$y_{2}=ax^{2}+bx + c$交于点$A(m,n)$,$B(p,q)$,则方程$ax^{2}+bx + c = kx + h$的根为$x_{1}=m,x_{2}=p$,不等式$y_{1}<y_{2}$的解集为$x < m$或$x > p$,不等式$y_{1}>y_{2}$的解集为。
答案:
(2) $\Delta = 0$;
(3) $m < x < p$
(2) $\Delta = 0$;
(3) $m < x < p$
查看更多完整答案,请扫码查看