2026年金考卷中考45套汇编数学河北专版
注:目前有些书本章节名称可能整理的还不是很完善,但都是按照顺序排列的,请同学们按照顺序仔细查找。练习册 2026年金考卷中考45套汇编数学河北专版 答案主要是用来给同学们做完题方便对答案用的,请勿直接抄袭。
第42页
- 第1页
- 第2页
- 第3页
- 第4页
- 第5页
- 第6页
- 第7页
- 第8页
- 第9页
- 第10页
- 第11页
- 第12页
- 第13页
- 第14页
- 第15页
- 第16页
- 第17页
- 第18页
- 第19页
- 第20页
- 第21页
- 第22页
- 第23页
- 第24页
- 第25页
- 第26页
- 第27页
- 第28页
- 第29页
- 第30页
- 第31页
- 第32页
- 第33页
- 第34页
- 第35页
- 第36页
- 第37页
- 第38页
- 第39页
- 第40页
- 第41页
- 第42页
- 第43页
- 第44页
- 第45页
- 第46页
- 第47页
- 第48页
- 第49页
- 第50页
- 第51页
- 第52页
- 第53页
- 第54页
- 第55页
- 第56页
- 第57页
- 第58页
- 第59页
- 第60页
- 第61页
- 第62页
- 第63页
- 第64页
- 第65页
- 第66页
- 第67页
- 第68页
- 第69页
- 第70页
- 第71页
- 第72页
- 第73页
- 第74页
- 第75页
- 第76页
- 第77页
- 第78页
- 第79页
- 第80页
- 第81页
- 第82页
- 第83页
- 第84页
- 第85页
- 第86页
- 第87页
- 第88页
- 第89页
- 第90页
- 第91页
- 第92页
- 第93页
- 第94页
- 第95页
- 第96页
- 第97页
- 第98页
- 第99页
- 第100页
- 第101页
- 第102页
- 第103页
- 第104页
- 第105页
- 第106页
- 第107页
- 第108页
- 第109页
- 第110页
- 第111页
- 第112页
- 第113页
- 第114页
- 第115页
- 第116页
- 第117页
- 第118页
- 第119页
- 第120页
23. (本小题满分12分)
如图,在平面直角坐标系中,直线$y = \frac{4}{3}x + 8$与x轴交于点A,与y轴交于点B,过点B的直线交x轴正半轴于点C,且$\triangle ABC$的面积为56。D为线段AB的中点,E为y轴上一动点,连接DE,将线段DE绕着点E顺时针旋转$90^{\circ}$得到线段FE,连接DF。
(1)求点C的坐标及直线BC的解析式。
(2)在点E运动的过程中,若$\triangle DEF$的面积为5,求此时点E的坐标。
(3)设点E的坐标为$(0,m)$。
①用m表示点F的坐标;
②点E运动的过程中,若点F始终在$\triangle ABC$的内部(包括边界),请直接写出满足条件的m的取值范围。

如图,在平面直角坐标系中,直线$y = \frac{4}{3}x + 8$与x轴交于点A,与y轴交于点B,过点B的直线交x轴正半轴于点C,且$\triangle ABC$的面积为56。D为线段AB的中点,E为y轴上一动点,连接DE,将线段DE绕着点E顺时针旋转$90^{\circ}$得到线段FE,连接DF。
(1)求点C的坐标及直线BC的解析式。
(2)在点E运动的过程中,若$\triangle DEF$的面积为5,求此时点E的坐标。
(3)设点E的坐标为$(0,m)$。
①用m表示点F的坐标;
②点E运动的过程中,若点F始终在$\triangle ABC$的内部(包括边界),请直接写出满足条件的m的取值范围。
答案:
23
(1)对于y = $\frac{4}{3}$x + 8,令x = 0,则y = 8,
∴B(0,8),
∴OB = 8.
令y = 0,则$\frac{4}{3}$x + 8 = 0,解得x = -6,
∴A(-6,0).
∵D为线段AB的中点,
∴D(-3,4).
∵△ABC的面积为56,
∴S_△ABC = $\frac{1}{2}$AC·OB = $\frac{1}{2}$AC×8 = 56,
∴AC = 14,
∴C(8,0).
设直线BC的解析式为y = kx + b,
将B(0,8),C(8,0)分别代入y = kx + b,
得$\begin{cases} b = 8, \\ 8k + b = 0, \end{cases}$解得$\begin{cases} k = -1, \\ b = 8, \end{cases}$
∴直线BC的解析式为y = -x + 8.
(2)设E(0,y).
∵线段DE绕着点E顺时针旋转90°得到线段FE,
∴FE = DE,∠DEF = 90°.
∵△DEF的面积为5,
∴S_△DEF = $\frac{1}{2}$DE·EF = $\frac{1}{2}$DE² = 5,
∴DE = $\sqrt{10}$.
由
(1)知D(-3,4),
∴$\sqrt{10}$ = $\sqrt{(-3 - 0)^2 + (4 - y)^2}$,
解得y = 3或5,
∴此时点E的坐标为(0,3)或(0,5).
(3)①过点D作DG⊥y轴于点G,过点F作FH⊥y轴于点H,则∠DGE = ∠EHF = 90°(点拨:构造“一线三直角”模型),
∴∠GDE + ∠GED = 90°.
∵∠DEF = 90°,
∴∠HEF + ∠GED = 90°,
∴∠GDE = ∠HEF.
又
∵DE = EF,
∴△DGE≌△EHF(点拨:“一线三直角”全等模型),
∴EH = DG,FH = EG.
由
(1)知D(-3,4).
(i)当点E在点D上方时,如图
(1),
此时EH = DG = 3,FH = EG = m - 4,
∴点F的坐标为(4 - m,m + 3).
(ii)当点E在点D下方时,如图
(2),
此时EH = DG = 3,FH = EG = 4 - m,
∴点F的坐标为(4 - m,m + 3).
综上所述,点F的坐标为(4 - m,m + 3).
②-3 ≤ m ≤ $\frac{31}{7}$.
解法提示:如图
(3),当点F在边AB上,即位于点F₁的位置时(临界位置1),
结合①可得m + 3 = $\frac{4}{3}$×(4 - m) + 8,解得m = $\frac{31}{7}$.
当点F在边AC上,即位于点F₂的位置时(临界位置2),
结合①得m + 3 = 0,解得m = -3.
分析可知,若点F始终在△ABC的内部(包括边界),则-3 ≤ m ≤ $\frac{31}{7}$.
名师辨模型 “一线三直角”全等模型
23
(1)对于y = $\frac{4}{3}$x + 8,令x = 0,则y = 8,
∴B(0,8),
∴OB = 8.
令y = 0,则$\frac{4}{3}$x + 8 = 0,解得x = -6,
∴A(-6,0).
∵D为线段AB的中点,
∴D(-3,4).
∵△ABC的面积为56,
∴S_△ABC = $\frac{1}{2}$AC·OB = $\frac{1}{2}$AC×8 = 56,
∴AC = 14,
∴C(8,0).
设直线BC的解析式为y = kx + b,
将B(0,8),C(8,0)分别代入y = kx + b,
得$\begin{cases} b = 8, \\ 8k + b = 0, \end{cases}$解得$\begin{cases} k = -1, \\ b = 8, \end{cases}$
∴直线BC的解析式为y = -x + 8.
(2)设E(0,y).
∵线段DE绕着点E顺时针旋转90°得到线段FE,
∴FE = DE,∠DEF = 90°.
∵△DEF的面积为5,
∴S_△DEF = $\frac{1}{2}$DE·EF = $\frac{1}{2}$DE² = 5,
∴DE = $\sqrt{10}$.
由
(1)知D(-3,4),
∴$\sqrt{10}$ = $\sqrt{(-3 - 0)^2 + (4 - y)^2}$,
解得y = 3或5,
∴此时点E的坐标为(0,3)或(0,5).
(3)①过点D作DG⊥y轴于点G,过点F作FH⊥y轴于点H,则∠DGE = ∠EHF = 90°(点拨:构造“一线三直角”模型),
∴∠GDE + ∠GED = 90°.
∵∠DEF = 90°,
∴∠HEF + ∠GED = 90°,
∴∠GDE = ∠HEF.
又
∵DE = EF,
∴△DGE≌△EHF(点拨:“一线三直角”全等模型),
∴EH = DG,FH = EG.
由
(1)知D(-3,4).
(i)当点E在点D上方时,如图
(1),
此时EH = DG = 3,FH = EG = m - 4,
∴点F的坐标为(4 - m,m + 3).
(ii)当点E在点D下方时,如图
(2),
此时EH = DG = 3,FH = EG = 4 - m,
∴点F的坐标为(4 - m,m + 3).
综上所述,点F的坐标为(4 - m,m + 3).
②-3 ≤ m ≤ $\frac{31}{7}$.
解法提示:如图
(3),当点F在边AB上,即位于点F₁的位置时(临界位置1),
结合①可得m + 3 = $\frac{4}{3}$×(4 - m) + 8,解得m = $\frac{31}{7}$.
当点F在边AC上,即位于点F₂的位置时(临界位置2),
结合①得m + 3 = 0,解得m = -3.
分析可知,若点F始终在△ABC的内部(包括边界),则-3 ≤ m ≤ $\frac{31}{7}$.
名师辨模型 “一线三直角”全等模型
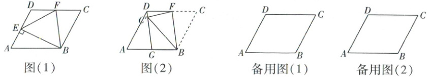
24. (本小题满分11分)
问题情境:
数学活动课上,老师出示了一个问题:如图(1),在$□ ABCD$中,$BE \perp AD$,垂足为E,F为CD的中点,连接EF,BF。
独立思考:
(1)试猜想EF与BF的数量关系:
实践探究:
(2)嘉嘉将$□ ABCD$沿着BF(F为CD的中点)所在直线折叠,如图(2),点C的对应点为$C'$,连接$DC'$并延长交AB于点G,请判断AG与BG的数量关系,并加以证明。
问题解决:
(3)若$□ ABCD$的面积为5,边长$AB = \frac{5}{2}$,$BC = \sqrt{5}$,在$□ ABCD$的AD边上有一个动点M,点M沿AD方向从点A开始运动,到点D停止。随着点M的运动,琪琪沿BM折叠$□ ABCD$,折叠后点A的对应点为$A'$,当$A'B$与$□ ABCD$的边垂直时,请直接写出$\triangle A'BM$与$□ ABCD$重叠部分的面积。

问题情境:
数学活动课上,老师出示了一个问题:如图(1),在$□ ABCD$中,$BE \perp AD$,垂足为E,F为CD的中点,连接EF,BF。
独立思考:
(1)试猜想EF与BF的数量关系:
EF = BF
。实践探究:
(2)嘉嘉将$□ ABCD$沿着BF(F为CD的中点)所在直线折叠,如图(2),点C的对应点为$C'$,连接$DC'$并延长交AB于点G,请判断AG与BG的数量关系,并加以证明。
问题解决:
(3)若$□ ABCD$的面积为5,边长$AB = \frac{5}{2}$,$BC = \sqrt{5}$,在$□ ABCD$的AD边上有一个动点M,点M沿AD方向从点A开始运动,到点D停止。随着点M的运动,琪琪沿BM折叠$□ ABCD$,折叠后点A的对应点为$A'$,当$A'B$与$□ ABCD$的边垂直时,请直接写出$\triangle A'BM$与$□ ABCD$重叠部分的面积。
答案:
24
(1)EF = BF
解法提示:如图
(1),过点F作FH//AD交BE于点H,则FH//AD//BC,
∴$\frac{DF}{CF}$ = $\frac{EH}{HB}$(依据:平行线分线段成比例).
∵F为CD的中点,
∴DF = CF,
∴EH = HB.
∵BE⊥AD,FH//AD,
∴BE⊥FH,
∴FH垂直平分BE,
∴EF = BF(依据:线段垂直平分线上的点到线段两端的距离相等).
一题多解 如图,延长EF,BC交于点Q,易证BE⊥BC,△DFE≌△CFQ,
∴EF = FQ,
∴BF = $\frac{1}{2}$EQ = EF.
(2)AG = BG.
证明:如图
(2),连接CC'.
由折叠的性质,可得C'F = CF,BF⊥CC'.
∵F为CD的中点,
∴DF = CF,
∴C'F = CF = DF,
∴∠FC'C = ∠FCC',∠FC'D = ∠FDC'.
∵∠FC'C + ∠FCC' + ∠FC'D + ∠FDC' = 180°,
∴∠FC'C + ∠FC'D = 90°,即∠DC'C = 90°,
∴CC'⊥DG,
∴DG//BF.
∵四边形ABCD是平行四边形,
∴CD = AB,CD//AB,
∴四边形DGBF是平行四边形(依据:两组对边分别平行的四边形是平行四边形),
∴DF = BG.
∵DF = $\frac{1}{2}$CD,
∴BG = $\frac{1}{2}$AB,
∴AG = BG.
(3)$\frac{11}{6}$或$\frac{5\sqrt{5}}{2}$ - 5.
解法提示:分两种情况讨论.
①当A'B⊥CD时,如图
(3),设A'B,A'M分别交CD于点P,N,过点M作MJ⊥AB于点J,过点D作DT⊥AB于点T,
则A'B⊥AB,四边形DTBP是矩形,
∴DT = BP.
∵S_□ABCD = AB·DT,
∴$\frac{5}{2}$DT = 5,
∴DT = 2,
∴BP = DT = 2,
∴A'P = A'B - BP = AB - BP = $\frac{5}{2}$ - 2 = $\frac{1}{2}$.
在Rt△ADT中,AT = $\sqrt{AD^2 - DT^2}$ = $\sqrt{(\sqrt{5})^2 - 2^2}$ = 1,
∴tanA = $\frac{MJ}{AJ}$ = $\frac{DT}{AT}$ = 2.
设AJ = x,则MJ = 2x.
由折叠的性质,得∠A'BM = ∠ABM = $\frac{1}{2}$∠ABA' = 45°,
∴BJ = MJ = 2x.
∵AB = AJ + BJ,
∴x + 2x = $\frac{5}{2}$,解得x = $\frac{5}{6}$,
∴MJ = 2x = $\frac{5}{3}$.
∵tanA' = tanA = 2,
∴$\frac{PN}{A'P}$ = 2,
∴PN = 1,
∴S_重叠 = S_四边形MBPN = S_△A'BM - S_△A'NP = $\frac{1}{2}$AB·MJ - $\frac{1}{2}$NP·A'P = $\frac{1}{2}$×$\frac{5}{2}$×$\frac{5}{3}$ - $\frac{1}{2}$×1×$\frac{1}{2}$ = $\frac{11}{6}$.
②当A'B⊥AD时,如图
(4),设A'B交AD于点I.
∵S_□ABCD = AD·BI,
∴$\sqrt{5}$BI = 5,
∴BI = $\sqrt{5}$,
∴A'I = A'B - BI = $\frac{5}{2}$ - $\sqrt{5}$.
由①知tanA' = 2,
∴$\frac{MI}{A'I}$ = 2,
∴MI = 2A'I = 5 - 2$\sqrt{5}$,
∴S_重叠 = S_△BMI = $\frac{1}{2}$MI·BI = $\frac{1}{2}$×(5 - 2$\sqrt{5}$)×$\sqrt{5}$ = $\frac{5\sqrt{5}}{2}$ - 5.
综上所述,△A'BM与□ABCD重叠部分的面积为$\frac{11}{6}$或$\frac{5\sqrt{5}}{2}$ - 5.
24
(1)EF = BF
解法提示:如图
(1),过点F作FH//AD交BE于点H,则FH//AD//BC,
∴$\frac{DF}{CF}$ = $\frac{EH}{HB}$(依据:平行线分线段成比例).
∵F为CD的中点,
∴DF = CF,
∴EH = HB.
∵BE⊥AD,FH//AD,
∴BE⊥FH,
∴FH垂直平分BE,
∴EF = BF(依据:线段垂直平分线上的点到线段两端的距离相等).
一题多解 如图,延长EF,BC交于点Q,易证BE⊥BC,△DFE≌△CFQ,
∴EF = FQ,
∴BF = $\frac{1}{2}$EQ = EF.
(2)AG = BG.
证明:如图
(2),连接CC'.
由折叠的性质,可得C'F = CF,BF⊥CC'.
∵F为CD的中点,
∴DF = CF,
∴C'F = CF = DF,
∴∠FC'C = ∠FCC',∠FC'D = ∠FDC'.
∵∠FC'C + ∠FCC' + ∠FC'D + ∠FDC' = 180°,
∴∠FC'C + ∠FC'D = 90°,即∠DC'C = 90°,
∴CC'⊥DG,
∴DG//BF.
∵四边形ABCD是平行四边形,
∴CD = AB,CD//AB,
∴四边形DGBF是平行四边形(依据:两组对边分别平行的四边形是平行四边形),
∴DF = BG.
∵DF = $\frac{1}{2}$CD,
∴BG = $\frac{1}{2}$AB,
∴AG = BG.
(3)$\frac{11}{6}$或$\frac{5\sqrt{5}}{2}$ - 5.
解法提示:分两种情况讨论.
①当A'B⊥CD时,如图
(3),设A'B,A'M分别交CD于点P,N,过点M作MJ⊥AB于点J,过点D作DT⊥AB于点T,
则A'B⊥AB,四边形DTBP是矩形,
∴DT = BP.
∵S_□ABCD = AB·DT,
∴$\frac{5}{2}$DT = 5,
∴DT = 2,
∴BP = DT = 2,
∴A'P = A'B - BP = AB - BP = $\frac{5}{2}$ - 2 = $\frac{1}{2}$.
在Rt△ADT中,AT = $\sqrt{AD^2 - DT^2}$ = $\sqrt{(\sqrt{5})^2 - 2^2}$ = 1,
∴tanA = $\frac{MJ}{AJ}$ = $\frac{DT}{AT}$ = 2.
设AJ = x,则MJ = 2x.
由折叠的性质,得∠A'BM = ∠ABM = $\frac{1}{2}$∠ABA' = 45°,
∴BJ = MJ = 2x.
∵AB = AJ + BJ,
∴x + 2x = $\frac{5}{2}$,解得x = $\frac{5}{6}$,
∴MJ = 2x = $\frac{5}{3}$.
∵tanA' = tanA = 2,
∴$\frac{PN}{A'P}$ = 2,
∴PN = 1,
∴S_重叠 = S_四边形MBPN = S_△A'BM - S_△A'NP = $\frac{1}{2}$AB·MJ - $\frac{1}{2}$NP·A'P = $\frac{1}{2}$×$\frac{5}{2}$×$\frac{5}{3}$ - $\frac{1}{2}$×1×$\frac{1}{2}$ = $\frac{11}{6}$.
②当A'B⊥AD时,如图
(4),设A'B交AD于点I.
∵S_□ABCD = AD·BI,
∴$\sqrt{5}$BI = 5,
∴BI = $\sqrt{5}$,
∴A'I = A'B - BI = $\frac{5}{2}$ - $\sqrt{5}$.
由①知tanA' = 2,
∴$\frac{MI}{A'I}$ = 2,
∴MI = 2A'I = 5 - 2$\sqrt{5}$,
∴S_重叠 = S_△BMI = $\frac{1}{2}$MI·BI = $\frac{1}{2}$×(5 - 2$\sqrt{5}$)×$\sqrt{5}$ = $\frac{5\sqrt{5}}{2}$ - 5.
综上所述,△A'BM与□ABCD重叠部分的面积为$\frac{11}{6}$或$\frac{5\sqrt{5}}{2}$ - 5.
查看更多完整答案,请扫码查看