2025年人教金学典同步练习册同步解析与测评高中数学必修第一册人教版A版
注:目前有些书本章节名称可能整理的还不是很完善,但都是按照顺序排列的,请同学们按照顺序仔细查找。练习册 2025年人教金学典同步练习册同步解析与测评高中数学必修第一册人教版A版 答案主要是用来给同学们做完题方便对答案用的,请勿直接抄袭。
第58页
- 第1页
- 第2页
- 第3页
- 第4页
- 第5页
- 第6页
- 第7页
- 第8页
- 第9页
- 第10页
- 第11页
- 第12页
- 第13页
- 第14页
- 第15页
- 第16页
- 第17页
- 第18页
- 第19页
- 第20页
- 第21页
- 第22页
- 第23页
- 第24页
- 第25页
- 第26页
- 第27页
- 第28页
- 第29页
- 第30页
- 第31页
- 第32页
- 第33页
- 第34页
- 第35页
- 第36页
- 第37页
- 第38页
- 第39页
- 第40页
- 第41页
- 第42页
- 第43页
- 第44页
- 第45页
- 第46页
- 第47页
- 第48页
- 第49页
- 第50页
- 第51页
- 第52页
- 第53页
- 第54页
- 第55页
- 第56页
- 第57页
- 第58页
- 第59页
- 第60页
- 第61页
- 第62页
- 第63页
- 第64页
- 第65页
- 第66页
- 第67页
- 第68页
- 第69页
- 第70页
- 第71页
- 第72页
- 第73页
- 第74页
- 第75页
- 第76页
- 第77页
- 第78页
- 第79页
- 第80页
- 第81页
- 第82页
- 第83页
- 第84页
- 第85页
- 第86页
- 第87页
- 第88页
- 第89页
- 第90页
- 第91页
- 第92页
- 第93页
- 第94页
- 第95页
- 第96页
- 第97页
- 第98页
- 第99页
- 第100页
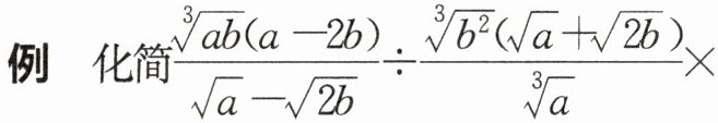
分析:把根式化为分数指数幂,利用分数指数幂的运算性质即可解决问题.
答案:
解:原式 $ = \frac{a^{\frac{1}{3}} b^{\frac{1}{3}}(a - 2b)}{\sqrt{a} - \sqrt{2b}} × \frac{a^{\frac{1}{3}}}{b^{\frac{2}{3}}(\sqrt{a} + \sqrt{2b})} × a^{\frac{1}{3}} b^{\frac{4}{3}} $
$ = a^{\frac{1}{3} + \frac{1}{3} + \frac{1}{3}} b^{\frac{1}{3} - \frac{2}{3} + \frac{4}{3}} (a - 2b)^{1 - 1} $
$ = ab $.
评析:化简时应注意运算顺序以及指数幂的运算性质、乘法公式的运用,化简的结果应为最简形式或数值.
变式:化简 $ 2\sqrt[4]{b} \left( - 3\sqrt[4]{b} × \frac{1}{\sqrt[3]{a}} \right) ÷ \left( - \frac{6\sqrt[3]{a^2}}{\sqrt{b}} \right) $.
提示与答案:把根式化为分数指数幂的形式进行运算,可得化简结果为 $ \frac{b}{a} $.
$ = a^{\frac{1}{3} + \frac{1}{3} + \frac{1}{3}} b^{\frac{1}{3} - \frac{2}{3} + \frac{4}{3}} (a - 2b)^{1 - 1} $
$ = ab $.
评析:化简时应注意运算顺序以及指数幂的运算性质、乘法公式的运用,化简的结果应为最简形式或数值.
变式:化简 $ 2\sqrt[4]{b} \left( - 3\sqrt[4]{b} × \frac{1}{\sqrt[3]{a}} \right) ÷ \left( - \frac{6\sqrt[3]{a^2}}{\sqrt{b}} \right) $.
提示与答案:把根式化为分数指数幂的形式进行运算,可得化简结果为 $ \frac{b}{a} $.
1. 已知 $ a \in \mathbf{R} $,则下列各式中不一定有意义的是(
A.$ \sqrt{a^2} $
B.$ \sqrt[3]{a + 1} $
C.$ \sqrt[4]{a} $
D.$ \sqrt[5]{-a^2} $
C
).A.$ \sqrt{a^2} $
B.$ \sqrt[3]{a + 1} $
C.$ \sqrt[4]{a} $
D.$ \sqrt[5]{-a^2} $
答案:
1.C
2. 设 $ a > 0 $,下列运算中正确的是(
A.$ a^{\frac{1}{2}} a^{\frac{1}{2}} = a^{\frac{1}{4}} $
B.$ a^{\frac{3}{2}} a^{-\frac{3}{2}} = 1 $
C.$ a^{\frac{1}{2}} + a^{\frac{1}{2}} = a $
D.$ aa^{\frac{2}{3}} = a^{\frac{2}{3}} $
B
).A.$ a^{\frac{1}{2}} a^{\frac{1}{2}} = a^{\frac{1}{4}} $
B.$ a^{\frac{3}{2}} a^{-\frac{3}{2}} = 1 $
C.$ a^{\frac{1}{2}} + a^{\frac{1}{2}} = a $
D.$ aa^{\frac{2}{3}} = a^{\frac{2}{3}} $
答案:
2.B
3. 已知 $ a > 0 $,化简 $ \frac{(\sqrt[6]{a})^5 \sqrt[4]{a^5}}{\sqrt{a} \sqrt[3]{a} \sqrt[4]{a}} $ 的结果为
a
.
答案:
3.$a$
4. 计算下列各式:
(1) $ \left[ \left( \frac{2}{5} \right)^{-2} + \left( 5 + \frac{1}{16} \right)^{\frac{1}{2}} - 8^{-\frac{1}{3}} + 3.14^0 \right]^{-\frac{1}{2}} $;
(2) $ 3a^{\frac{5}{2}} b^{\frac{1}{3}} ÷ \left( - \frac{3}{2} a^{\frac{1}{2}} b^{-\frac{2}{3}} \right) $ $ (a > 0, b > 0) $.
(1) $ \left[ \left( \frac{2}{5} \right)^{-2} + \left( 5 + \frac{1}{16} \right)^{\frac{1}{2}} - 8^{-\frac{1}{3}} + 3.14^0 \right]^{-\frac{1}{2}} $;
(2) $ 3a^{\frac{5}{2}} b^{\frac{1}{3}} ÷ \left( - \frac{3}{2} a^{\frac{1}{2}} b^{-\frac{2}{3}} \right) $ $ (a > 0, b > 0) $.
答案:
4.
(1)原式=$(\frac{25}{4}+\frac{9}{4}-\frac{1}{2}+1)^{-\frac{1}{2}}=\frac{1}{3}$.
(2)原式=$-(3÷\frac{3}{2})×\frac{a^{\frac{5}{2}}b^{\frac{1}{3}}}{a^{\frac{1}{2}}b^{-\frac{2}{3}}}=-2a^{2}b$.
(1)原式=$(\frac{25}{4}+\frac{9}{4}-\frac{1}{2}+1)^{-\frac{1}{2}}=\frac{1}{3}$.
(2)原式=$-(3÷\frac{3}{2})×\frac{a^{\frac{5}{2}}b^{\frac{1}{3}}}{a^{\frac{1}{2}}b^{-\frac{2}{3}}}=-2a^{2}b$.
查看更多完整答案,请扫码查看