2025年同步导学与优化训练七年级数学上册人教版
注:目前有些书本章节名称可能整理的还不是很完善,但都是按照顺序排列的,请同学们按照顺序仔细查找。练习册 2025年同步导学与优化训练七年级数学上册人教版 答案主要是用来给同学们做完题方便对答案用的,请勿直接抄袭。
第57页
- 第1页
- 第2页
- 第3页
- 第4页
- 第5页
- 第6页
- 第7页
- 第8页
- 第9页
- 第10页
- 第11页
- 第12页
- 第13页
- 第14页
- 第15页
- 第16页
- 第17页
- 第18页
- 第19页
- 第20页
- 第21页
- 第22页
- 第23页
- 第24页
- 第25页
- 第26页
- 第27页
- 第28页
- 第29页
- 第30页
- 第31页
- 第32页
- 第33页
- 第34页
- 第35页
- 第36页
- 第37页
- 第38页
- 第39页
- 第40页
- 第41页
- 第42页
- 第43页
- 第44页
- 第45页
- 第46页
- 第47页
- 第48页
- 第49页
- 第50页
- 第51页
- 第52页
- 第53页
- 第54页
- 第55页
- 第56页
- 第57页
- 第58页
- 第59页
- 第60页
- 第61页
- 第62页
- 第63页
- 第64页
- 第65页
- 第66页
- 第67页
- 第68页
- 第69页
- 第70页
- 第71页
- 第72页
- 第73页
- 第74页
- 第75页
- 第76页
- 第77页
- 第78页
- 第79页
- 第80页
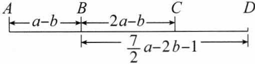
20. $A$,$B$,$C$,$D$四个车站的位置如图所示,$A$,$B两站之间的距离AB = a - b$,$B$,$C两站之间的距离BC = 2a - b$,$B$,$D两站之间的距离BD= \frac{7}{2}a - 2b - 1$。
(1) 求$A$,$C两站之间的距离AC$;
(2) 若$A$,$C两站之间的距离AC = 90$,求$C$,$D两站之间的距离CD$。

(1) 求$A$,$C两站之间的距离AC$;
(2) 若$A$,$C两站之间的距离AC = 90$,求$C$,$D两站之间的距离CD$。
答案:
20.
(1)解:A,C两站之间的距离等于A,B两站之间的距离加上B,C两站之间的距离,即$AC=a-b+2a-b=3a-2b$.
(2)解:C,D两站之间的距离等于B,D两站之间的距离减去B,C两站之间的距离,即$CD=(\frac{7}{2}a-2b-1)-(2a-b)=\frac{3}{2}a-b-1$.因为$AC=3a-2b=90$,所以$\frac{3}{2}a-b=45$.所以$CD=45-1=44$.
(1)解:A,C两站之间的距离等于A,B两站之间的距离加上B,C两站之间的距离,即$AC=a-b+2a-b=3a-2b$.
(2)解:C,D两站之间的距离等于B,D两站之间的距离减去B,C两站之间的距离,即$CD=(\frac{7}{2}a-2b-1)-(2a-b)=\frac{3}{2}a-b-1$.因为$AC=3a-2b=90$,所以$\frac{3}{2}a-b=45$.所以$CD=45-1=44$.
21. 已知$A = 2a^{2}+3ab - 2a-\frac{1}{3}$,$B = -a^{2}+\frac{1}{2}ab+\frac{2}{3}$。
(1) 当$a = -1$,$b = \frac{1}{2}$时,求$4A-(3A - 2B)$的值;
(2) 若代数式$4A-(3A - 2B)的值与a$的取值无关,求$b$的值。
(1) 当$a = -1$,$b = \frac{1}{2}$时,求$4A-(3A - 2B)$的值;
(2) 若代数式$4A-(3A - 2B)的值与a$的取值无关,求$b$的值。
答案:
21.
(1)解:$4A-(3A-2B)=4A-3A+2B=A+2B$.因为$A=2a^{2}+3ab-2a-\frac{1}{3}$,$B=-a^{2}+\frac{1}{2}ab+\frac{2}{3}$,所以$A+2B=2a^{2}+3ab-2a-\frac{1}{3}+2(-a^{2}+\frac{1}{2}ab+\frac{2}{3})=2a^{2}+3ab-2a-\frac{1}{3}-2a^{2}+ab+\frac{4}{3}=4ab-2a+1$.当$a=-1$,$b=\frac{1}{2}$时,原式$=-2+2+1=1$.
(2)解:由
(1)可知,$4A-(3A-2B)=4ab-2a+1=(4b-2)a+1$.因为代数式$4A-(3A-2B)$的值与$a$的取值无关,所以$4b-2=0$.所以$b=\frac{1}{2}$.
(1)解:$4A-(3A-2B)=4A-3A+2B=A+2B$.因为$A=2a^{2}+3ab-2a-\frac{1}{3}$,$B=-a^{2}+\frac{1}{2}ab+\frac{2}{3}$,所以$A+2B=2a^{2}+3ab-2a-\frac{1}{3}+2(-a^{2}+\frac{1}{2}ab+\frac{2}{3})=2a^{2}+3ab-2a-\frac{1}{3}-2a^{2}+ab+\frac{4}{3}=4ab-2a+1$.当$a=-1$,$b=\frac{1}{2}$时,原式$=-2+2+1=1$.
(2)解:由
(1)可知,$4A-(3A-2B)=4ab-2a+1=(4b-2)a+1$.因为代数式$4A-(3A-2B)$的值与$a$的取值无关,所以$4b-2=0$.所以$b=\frac{1}{2}$.
查看更多完整答案,请扫码查看