2025年同步导学与优化训练七年级数学上册人教版
注:目前有些书本章节名称可能整理的还不是很完善,但都是按照顺序排列的,请同学们按照顺序仔细查找。练习册 2025年同步导学与优化训练七年级数学上册人教版 答案主要是用来给同学们做完题方便对答案用的,请勿直接抄袭。
第45页
- 第1页
- 第2页
- 第3页
- 第4页
- 第5页
- 第6页
- 第7页
- 第8页
- 第9页
- 第10页
- 第11页
- 第12页
- 第13页
- 第14页
- 第15页
- 第16页
- 第17页
- 第18页
- 第19页
- 第20页
- 第21页
- 第22页
- 第23页
- 第24页
- 第25页
- 第26页
- 第27页
- 第28页
- 第29页
- 第30页
- 第31页
- 第32页
- 第33页
- 第34页
- 第35页
- 第36页
- 第37页
- 第38页
- 第39页
- 第40页
- 第41页
- 第42页
- 第43页
- 第44页
- 第45页
- 第46页
- 第47页
- 第48页
- 第49页
- 第50页
- 第51页
- 第52页
- 第53页
- 第54页
- 第55页
- 第56页
- 第57页
- 第58页
- 第59页
- 第60页
- 第61页
- 第62页
- 第63页
- 第64页
- 第65页
- 第66页
- 第67页
- 第68页
- 第69页
- 第70页
- 第71页
- 第72页
- 第73页
- 第74页
- 第75页
- 第76页
- 第77页
- 第78页
- 第79页
- 第80页
14. 有下列说法:①若$a$,$b$互为相反数,则$a + b = 0$;②若$a$,$b$同号,则$|a + b| = |a| + |b|$;③$-a$一定是负数;④若$ab = 1$,则$a$,$b$互为倒数;⑤若$ab = 0$,则$a = 0$.其中正确的是
①②④
.(填序号)
答案:
①②④ 解析:若$a$,$b$互为相反数,则$a+b=0$,故①正确;若$a$,$b$同号,则$|a+b|=|a|+|b|$,故②正确;当$a$为非正数时,$-a$是非负数,故③错误;若$ab=1$,则$a$,$b$互为倒数,故④正确;若$ab=0$,则$a=0$或$b=0$,故⑤错误.综上可知,①②④正确.
15. (传统文化)我国古代典籍《庄子·天下篇》中有这样一句话:“一尺之棰,日取其半,万世不竭.”意思是:即使是一尺长的木棍,第一天截取它的一半,以后每天截取剩下部分的一半,那么世世代代也截取不尽.按此做法,第$n$天后“一尺之棰”剩余的长度为
$\dfrac{1}{2^{n}}$
尺.(用含$n$的式子表示)
答案:
$\dfrac{1}{2^{n}}$ 解析:由题意可得,第一天剩下$\dfrac{1}{2}$尺,第二天剩下$\dfrac{1}{2}×\dfrac{1}{2}=\dfrac{1}{2^{2}}$(尺),第三天剩下$\dfrac{1}{2}×\dfrac{1}{2}×\dfrac{1}{2}=\dfrac{1}{2^{3}}$(尺)……则第$n$天后"一尺之棰"剩余的长度为$\dfrac{1}{2^{n}}$尺.
16. 计算:
(1) $(-7)×5 - (-36)÷4$;
(2) $-1^{4} - (1 - 0.4)×\frac{1}{3}×(2 - 3^{2})$.
(1) $(-7)×5 - (-36)÷4$;
(2) $-1^{4} - (1 - 0.4)×\frac{1}{3}×(2 - 3^{2})$.
答案:
(1)$(-7)×5-(-36)÷4=-35-(-9)=-35+9=-26$.
(2)$-1^{4}-(1-0.4)×\dfrac{1}{3}×(2-3^{2})=-1-0.6×\dfrac{1}{3}×(2-9)=-1-0.2×(-7)=-1+1.4=0.4$.
(1)$(-7)×5-(-36)÷4=-35-(-9)=-35+9=-26$.
(2)$-1^{4}-(1-0.4)×\dfrac{1}{3}×(2-3^{2})=-1-0.6×\dfrac{1}{3}×(2-9)=-1-0.2×(-7)=-1+1.4=0.4$.
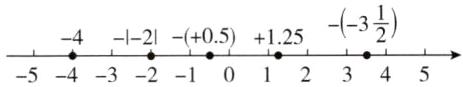
17. 画出数轴并在数轴上表示出下列各数,再将这些数用“$<$”连接起来.
$-4$,$+1.25$,$-|-2|$,$-(+0.5)$,$-(-3\frac{1}{2})$.
$-4$,$+1.25$,$-|-2|$,$-(+0.5)$,$-(-3\frac{1}{2})$.
答案:
解:$-\vert-2\vert=-2$,$-(+0.5)=-0.5$,$-(-3\dfrac{1}{2})=3\dfrac{1}{2}$.在数轴上表示各数如图所示.
$-4<-\vert-2\vert<-(+0.5)<+1.25<-(-3\dfrac{1}{2})$.
解:$-\vert-2\vert=-2$,$-(+0.5)=-0.5$,$-(-3\dfrac{1}{2})=3\dfrac{1}{2}$.在数轴上表示各数如图所示.
18. 人的脚印与身高之间存在一定的关系,如果用$a$表示脚印长度,$b$表示身高,$a与b的关系近似表示为b = 7a - 3.07$.
(1) 某人脚印长度为$24.5\mathrm{cm}$,则他的身高约为多少?(结果精确到$0.1\mathrm{cm}$)
(2) 已知甲的身高为$1.87\mathrm{m}$,乙的身高为$1.75\mathrm{m}$,测量的脚印长度为$26.9\mathrm{cm}$,请你帮助判断一下,此脚印大概是甲、乙哪个人的脚印?
(1) 某人脚印长度为$24.5\mathrm{cm}$,则他的身高约为多少?(结果精确到$0.1\mathrm{cm}$)
(2) 已知甲的身高为$1.87\mathrm{m}$,乙的身高为$1.75\mathrm{m}$,测量的脚印长度为$26.9\mathrm{cm}$,请你帮助判断一下,此脚印大概是甲、乙哪个人的脚印?
答案:
(1)当$a=24.5\ cm$时,$b=7a-3.07=7×24.5-3.07\approx168.4(cm)$.
(2)当$a=26.9\ cm$时,$b=7a-3.07=7×26.9-3.07=185.23(cm)$,与甲的身高比较接近,所以大概是甲的脚印.
(1)当$a=24.5\ cm$时,$b=7a-3.07=7×24.5-3.07\approx168.4(cm)$.
(2)当$a=26.9\ cm$时,$b=7a-3.07=7×26.9-3.07=185.23(cm)$,与甲的身高比较接近,所以大概是甲的脚印.
查看更多完整答案,请扫码查看