第83页
- 第2页
- 第3页
- 第4页
- 第5页
- 第6页
- 第7页
- 第8页
- 第9页
- 第10页
- 第11页
- 第12页
- 第13页
- 第14页
- 第15页
- 第16页
- 第17页
- 第18页
- 第19页
- 第20页
- 第21页
- 第22页
- 第23页
- 第24页
- 第25页
- 第26页
- 第27页
- 第28页
- 第29页
- 第30页
- 第31页
- 第32页
- 第33页
- 第34页
- 第35页
- 第36页
- 第37页
- 第38页
- 第39页
- 第40页
- 第41页
- 第42页
- 第43页
- 第44页
- 第45页
- 第46页
- 第47页
- 第48页
- 第49页
- 第50页
- 第51页
- 第52页
- 第53页
- 第54页
- 第55页
- 第56页
- 第57页
- 第58页
- 第59页
- 第60页
- 第61页
- 第62页
- 第63页
- 第64页
- 第65页
- 第66页
- 第67页
- 第68页
- 第69页
- 第70页
- 第71页
- 第72页
- 第73页
- 第74页
- 第75页
- 第76页
- 第77页
- 第78页
- 第79页
- 第80页
- 第81页
- 第82页
- 第83页
- 第84页
- 第85页
- 第86页
- 第87页
- 第88页
- 第89页
- 第90页
- 第91页
- 第92页
- 第93页
- 第94页
- 第95页
- 第96页
- 第97页
- 第98页
- 第99页
- 第100页
二元一次方程有
无数
个解,以这些解为坐标的点组成的图象与其相应的一次
函数的图象相同
。
答案:
无数,一次,相同
求两条直线$l_{1}:y = k_{1}x + b_{1}(k_{1} \neq 0)$,$l_{2}:y = k_{2}x + b_{2}(k_{2} \neq 0)$的交点,就是解关于$x$,$y$的方程组
如果两个一次函数的图象没有
$\begin{cases}y = k_{1}x + b_{1}\\y = k_{2}x + b_{2}\end{cases}$
。两条相交直线只有一个交点,对应的二元一次方程组只有一个解
,反之也成立。如果两个一次函数的图象没有
交点
,那么对应的二元一次方程组无解,反之也成立。
答案:
$\begin{cases}y = k_{1}x + b_{1}\\y = k_{2}x + b_{2}\end{cases}$;解;交点
1. 已知方程组$\begin{cases}2x + y = 3,\\x + 2y = 3\end{cases} 的解为\begin{cases}x = 1,\\y = 1,\end{cases} 则函数y = - 2x + 3与y = -\frac{1}{2}x + \frac{3}{2}$的图象的交点坐标为(
A.$(1,1)$
B.$( - 1,1)$
C.$(1, - 1)$
D.$( - 1, - 1)$
1,1
)。A.$(1,1)$
B.$( - 1,1)$
C.$(1, - 1)$
D.$( - 1, - 1)$
答案:
A
2. 若一次函数$y = 3x + 6与y = 2x - 4的图象的交点坐标为(a,b)$,则解是$\begin{cases}x = a,\\y = b\end{cases} $的方程组是(
A.$\begin{cases}y - 3x = 6,\\2x + y = - 4\end{cases} $
B.$\begin{cases}3x + y + 6 = 0,\\2x - 4 - y = 0\end{cases} $
C.$\begin{cases}3x - y = - 6,\\2x - y - 4 = 0\end{cases} $
D.$\begin{cases}3x - y = 6,\\2x - y = 4\end{cases} $
C
)。A.$\begin{cases}y - 3x = 6,\\2x + y = - 4\end{cases} $
B.$\begin{cases}3x + y + 6 = 0,\\2x - 4 - y = 0\end{cases} $
C.$\begin{cases}3x - y = - 6,\\2x - y - 4 = 0\end{cases} $
D.$\begin{cases}3x - y = 6,\\2x - y = 4\end{cases} $
答案:
C
3. 若一次函数$y = k_{1}x + b_{1}与y = k_{2}x + b_{2}$的图象没有交点,则方程组$\begin{cases}y = k_{1}x + b_{1},\\y = k_{2}x + b_{2}\end{cases} $的解的情况是(
A.有无数个解
B.有两个解
C.只有一个解
D.没有解
D
)。A.有无数个解
B.有两个解
C.只有一个解
D.没有解
答案:
D
4. 下面四条直线,其中直线上每个点的坐标都是二元一次方程$x - 2y = 2$的解的是(

A.
B.
C.
D.
C
)。A.
B.
C.
D.
答案:
C
5. 若正比例函数$y = kx的图象经过直线y = x + 1与y = 3x + 5$的交点,则$y = kx$的图象位于(
A.第一、三象限
B.第二、四象限
C.第一、二象限
D.第一、二、三象限
A
)。A.第一、三象限
B.第二、四象限
C.第一、二象限
D.第一、二、三象限
答案:
A
6. 如图,已知函数$y = ax + b和y = kx的图象交于点P$,则根据图象,可得关于$x$,$y的二元一次方程组\begin{cases}y = ax + b,\\y = kx\end{cases} $的解是

$\begin{cases}x=-4\\y=-2\end{cases}$
。
答案:
$\begin{cases}x=-4\\y=-2\end{cases}$
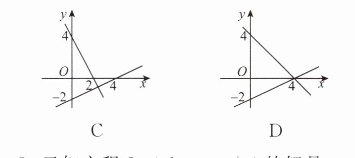
7. 用图象法解方程组$\begin{cases}x - 2y = 4,\\2x + y = 4\end{cases} $时,下图中正确的是(


C
)。
答案:
C
查看更多完整答案,请扫码查看