第65页
- 第2页
- 第3页
- 第4页
- 第5页
- 第6页
- 第7页
- 第8页
- 第9页
- 第10页
- 第11页
- 第12页
- 第13页
- 第14页
- 第15页
- 第16页
- 第17页
- 第18页
- 第19页
- 第20页
- 第21页
- 第22页
- 第23页
- 第24页
- 第25页
- 第26页
- 第27页
- 第28页
- 第29页
- 第30页
- 第31页
- 第32页
- 第33页
- 第34页
- 第35页
- 第36页
- 第37页
- 第38页
- 第39页
- 第40页
- 第41页
- 第42页
- 第43页
- 第44页
- 第45页
- 第46页
- 第47页
- 第48页
- 第49页
- 第50页
- 第51页
- 第52页
- 第53页
- 第54页
- 第55页
- 第56页
- 第57页
- 第58页
- 第59页
- 第60页
- 第61页
- 第62页
- 第63页
- 第64页
- 第65页
- 第66页
- 第67页
- 第68页
- 第69页
- 第70页
- 第71页
- 第72页
- 第73页
- 第74页
- 第75页
- 第76页
- 第77页
- 第78页
- 第79页
- 第80页
- 第81页
- 第82页
- 第83页
- 第84页
- 第85页
- 第86页
- 第87页
- 第88页
- 第89页
- 第90页
- 第91页
- 第92页
- 第93页
- 第94页
- 第95页
- 第96页
- 第97页
- 第98页
- 第99页
- 第100页
5. 如图,直线$l_1$反映了某商品的销售收入与销售量之间的关系,直线$l_2$反映了该商品的成本与销售量之间的关系,当销售收入大于成本时,该商品开始赢利,当销售量$x$

>100
$t$时,该商品开始赢利。
答案:
$>100$
6. 甲、乙两只气球分别从不同高度同时匀速上升$60min$,气球所在位置距离地面的高度$y(m)与气球上升的时间x(min)$之间的关系如图所示。给出下列说法:①甲气球上升过程中$y与x之间的关系式为y = 2x + 5$;②$10min$时,甲气球在乙气球上方;③当两只气球高度差为$15m$时,上升时间为$50min$;④上升$60min$,乙气球距离地面高度为$40m$。其中错误的有

①②④
。(填序号)
答案:
①②④
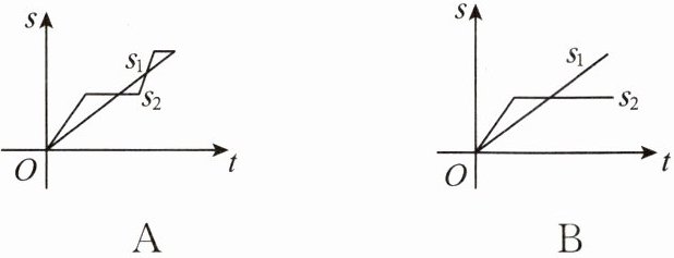
7. “龟兔赛跑”讲述了这样的故事:领先的兔子看着缓慢爬行的乌龟,骄傲起来,睡了一觉。当它醒来时,发现乌龟快到终点了,于是急忙追赶,但为时已晚,乌龟还是先到达了终点。用$s_1$,$s_2$分别表示乌龟和兔子所行的路程,$t$表示时间,则下列图象中与故事情节相吻合的是(


B
)。
答案:
答案:B。
8. “龟兔赛跑”后,输了比赛的兔子没有气馁,总结反思之后,和乌龟约定再赛一场。如图所示的是“龟兔再次赛跑”时所行路程$y(m)与时间x(min)$之间的关系,$y_1$表示兔子所行路程,$y_2$表示乌龟所行路程,给出下列说法:①乌龟在途中休息了$10min$;②兔子和乌龟同时从起点出发;③兔子在乌龟出发$40\sim50min$期间追上乌龟;④乌龟和兔子再次赛跑的全程为$1000m$。其中正确的是

①③④
。(填序号)
答案:
①③④
9. $A$,$B两地相距300km$,甲、乙两车同时从$A地出发前往B$地,如图所示的是甲、乙两车行驶路程$y(km)随行驶时间t(h)$变化的图象,结合图象信息,回答下列问题:

(1)甲车的速度为______$km/h$;
(2)当甲、乙两车相距$10km$时,乙车行驶的时间为______$h$。
(1)甲车的速度为
(2)当甲、乙两车相距$10km$时,乙车行驶的时间为
(1)甲车的速度为______$km/h$;
(2)当甲、乙两车相距$10km$时,乙车行驶的时间为______$h$。
(1)甲车的速度为
90
$km/h$;(2)当甲、乙两车相距$10km$时,乙车行驶的时间为
1或$\frac{29}{9}$
$h$。
答案:
(1) 由图象可知,甲车行驶300km到达B地所用时间为$\frac{10}{3}h$,根据速度公式$v = \frac{s}{t}$,甲车速度为$300÷\frac{10}{3}=90km/h$。
(2) 设乙车速度为$v$,由图象可知乙车在$t = 1h$时行驶路程为100km,故乙车速度$v=100km/h$,乙车到达B地时间为$300÷100 = 3h$。
甲车路程函数:$y_{甲}=90t$;乙车路程函数:$y_{乙}=100t(t\leq3h)$,$y_{乙}=300(t>3h)$。
情况1:乙车到达B地前($t\leq3h$),两车相距10km,即$|100t - 90t|=10$,解得$t = 1h$。
情况2:乙车到达B地后($t>3h$),甲车继续行驶,两车相距10km,即$300 - 90t=10$,解得$t=\frac{29}{9}h$。
综上,乙车行驶时间为$1h$或$\frac{29}{9}h$。
(1) 90
(2) 1或$\frac{29}{9}$
(1) 由图象可知,甲车行驶300km到达B地所用时间为$\frac{10}{3}h$,根据速度公式$v = \frac{s}{t}$,甲车速度为$300÷\frac{10}{3}=90km/h$。
(2) 设乙车速度为$v$,由图象可知乙车在$t = 1h$时行驶路程为100km,故乙车速度$v=100km/h$,乙车到达B地时间为$300÷100 = 3h$。
甲车路程函数:$y_{甲}=90t$;乙车路程函数:$y_{乙}=100t(t\leq3h)$,$y_{乙}=300(t>3h)$。
情况1:乙车到达B地前($t\leq3h$),两车相距10km,即$|100t - 90t|=10$,解得$t = 1h$。
情况2:乙车到达B地后($t>3h$),甲车继续行驶,两车相距10km,即$300 - 90t=10$,解得$t=\frac{29}{9}h$。
综上,乙车行驶时间为$1h$或$\frac{29}{9}h$。
(1) 90
(2) 1或$\frac{29}{9}$
查看更多完整答案,请扫码查看