第35页
- 第1页
- 第2页
- 第3页
- 第4页
- 第5页
- 第6页
- 第7页
- 第8页
- 第9页
- 第10页
- 第11页
- 第12页
- 第13页
- 第14页
- 第15页
- 第16页
- 第17页
- 第18页
- 第19页
- 第20页
- 第21页
- 第22页
- 第23页
- 第24页
- 第25页
- 第26页
- 第27页
- 第28页
- 第29页
- 第30页
- 第31页
- 第32页
- 第33页
- 第34页
- 第35页
- 第36页
- 第37页
- 第38页
- 第39页
- 第40页
- 第41页
- 第42页
- 第43页
- 第44页
- 第45页
- 第46页
- 第47页
- 第48页
- 第49页
- 第50页
- 第51页
- 第52页
- 第53页
- 第54页
- 第55页
- 第56页
- 第57页
- 第58页
- 第59页
- 第60页
- 第61页
- 第62页
- 第63页
- 第64页
- 第65页
- 第66页
- 第67页
- 第68页
- 第69页
- 第70页
- 第71页
- 第72页
- 第73页
- 第74页
- 第75页
- 第76页
- 第77页
- 第78页
- 第79页
- 第80页
- 第81页
- 第82页
- 第83页
- 第84页
- 第85页
- 第86页
- 第87页
- 第88页
- 第89页
- 第90页
- 第91页
- 第92页
- 第93页
- 第94页
- 第95页
- 第96页
- 第97页
- 第98页
- 第99页
1 [2025合肥瑶海区期中]下列式子是单项式的有( )
①$4x$; ②$-4x^{2}y$; ③$3a^{2}bc$;
④0; ⑤$a$; ⑥$2+x$.
A.3个
B.4个
C.5个
D.6个
①$4x$; ②$-4x^{2}y$; ③$3a^{2}bc$;
④0; ⑤$a$; ⑥$2+x$.
A.3个
B.4个
C.5个
D.6个
答案:
C 2+x不是单项式,其他式子都是单项式,故单项式有5个.
2 [2025阜阳期末]单项式$-\frac {2x^{2}y^{3}}{3}$的系数是____,次数是____.
答案:
$-\frac{2}{3}$ 5
3 [2025宿州期中]在代数式$\frac {1}{2}ab,\frac {a+b}{2},ab^{2}+b+1,x^{3}+x^{2}-3$中,多项式有( )
A.2个
B.3个
C.4个
D.1个
A.2个
B.3个
C.4个
D.1个
答案:
B 题中多项式有$\frac{a+b}{2},ab^{2}+b+1,x^{3}+x^{2}-3$,共3个.
4 [2024芜湖期末]多项式$-x^{2}-\frac {1}{2}x-1$的各项分别是( )
A.$-x^{2},\frac {1}{2}x,1$
B.$-x^{2},-\frac {1}{2}x,-1$
C.$x^{2},\frac {1}{2}x,1$
D.$x^{2},-\frac {1}{2}x,-1$
A.$-x^{2},\frac {1}{2}x,1$
B.$-x^{2},-\frac {1}{2}x,-1$
C.$x^{2},\frac {1}{2}x,1$
D.$x^{2},-\frac {1}{2}x,-1$
答案:
B
5 [2025合肥期中]多项式$3xy-2xy^{2}+1$的次数及最高次项的系数分别是( )
A.2,-3
B.2,3
C.3,-2
D.3,2
A.2,-3
B.2,3
C.3,-2
D.3,2
答案:
C 多项式$3xy-2xy^{2}+1$的最高次项为$-2xy^{2}$,所以多项式$3xy-2xy^{2}+1$的次数及最高次项的系数分别是3,-2.
6 [2025阜阳期中]下列关于多项式$5ab^{2}-2a^{2}bc-1$的说法中,正确的是( )
A.它是三次三项式
B.它是二次四项式
C.它的最高次项是$-2a^{2}bc$
D.它的常数项是1
A.它是三次三项式
B.它是二次四项式
C.它的最高次项是$-2a^{2}bc$
D.它的常数项是1
答案:
C 因为多项式$5ab^{2}-2a^{2}bc-1$的次数为$2+1+1=4$,所以多项式$5ab^{2}-2a^{2}bc-1$是四次三项式,故A,B项不正确.因为多项式$5ab^{2}-2a^{2}bc-1$的最高次项为$-2a^{2}bc$,常数项为-1,故C项正确,D项不正确.
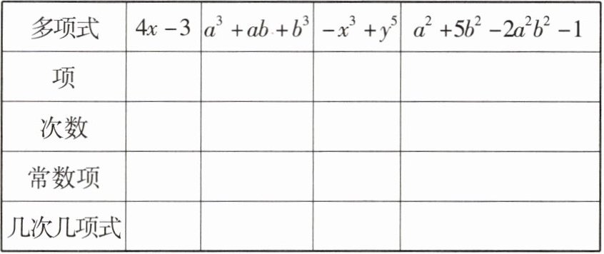
7 教材P68T2变式 根据多项式的特征填空.
|多项式|$4x-3$|$a^{3}+ab+b^{3}$|$-x^{3}+y^{5}$|$a^{2}+5b^{2}-2a^{2}b^{2}-1$|
|项| | | | |
|次数| | | | |
|常数项| | | | |
|几次几项式| | | | |

|多项式|$4x-3$|$a^{3}+ab+b^{3}$|$-x^{3}+y^{5}$|$a^{2}+5b^{2}-2a^{2}b^{2}-1$|
|项| | | | |
|次数| | | | |
|常数项| | | | |
|几次几项式| | | | |
答案:
多项式 $4x-3$ $a^{3}+ab+b^{3}$ $-x^{3}+y^{5}$ $a^{2}+5b^{2}-2a^{2}b^{2}-1$
项 $4x,-3$ $a^{3},ab,b^{3}$ $-x^{3},y^{5}$ $a^{2},5b^{2},-2a^{2}b^{2},-1$
次数 1 3 5 4
常数项 -3 0 0 -1
几次几项式 一次二项式 三次三项式 五次二项式 四次四项式
项 $4x,-3$ $a^{3},ab,b^{3}$ $-x^{3},y^{5}$ $a^{2},5b^{2},-2a^{2}b^{2},-1$
次数 1 3 5 4
常数项 -3 0 0 -1
几次几项式 一次二项式 三次三项式 五次二项式 四次四项式
8 新趋势·结论开放 如图是一名同学数学笔记可见的一部分.若要将这个式子补充完整,则你补充的内容是____.
$x^{2}y+xy-5+$____是一个五次四项式.
$x^{2}y+xy-5+$____是一个五次四项式.
答案:
$2x^{5}$(答案不唯一)
9 [2025马鞍山雨山区期中]若代数式$2x^{|m|}-(m+3)x+7是关于x$的三次二项式,求$m$的值.
答案:
解:由题意得,$|m|=3$,且$m+3=0$,解得$m=-3.$
10 下列说法错误的是( )
A.$m$是单项式也是整式
B.$\frac {1}{2}(m-n)$是多项式也是整式
C.整式一定是单项式
D.整式不一定是多项式
A.$m$是单项式也是整式
B.$\frac {1}{2}(m-n)$是多项式也是整式
C.整式一定是单项式
D.整式不一定是多项式
答案:
C 因为单个字母是单项式,单项式一定是整式,所以A正确;因为$\frac{1}{2}(m-n)$是多项式,且多项式是整式,所以B正确;因为单项式与多项式统称为整式,所以整式不一定是单项式,整式也不一定是多项式,所以C错误,D正确.
11 给出下列式子:①$b$;②$2mn$;③$x^{2}-2xyz$;④$3x^{3}y-2x^{2}y^{2}$;⑤$-3$.
其中单项式有____,
多项式有____,
整式有____.(填序号)
其中单项式有____,
多项式有____,
整式有____.(填序号)
答案:
①②⑤ ③④ ①②③④⑤
查看更多完整答案,请扫码查看