第43页
- 第1页
- 第2页
- 第3页
- 第4页
- 第5页
- 第6页
- 第7页
- 第8页
- 第9页
- 第10页
- 第11页
- 第12页
- 第13页
- 第14页
- 第15页
- 第16页
- 第17页
- 第18页
- 第19页
- 第20页
- 第21页
- 第22页
- 第23页
- 第24页
- 第25页
- 第26页
- 第27页
- 第28页
- 第29页
- 第30页
- 第31页
- 第32页
- 第33页
- 第34页
- 第35页
- 第36页
- 第37页
- 第38页
- 第39页
- 第40页
- 第41页
- 第42页
- 第43页
- 第44页
- 第45页
- 第46页
- 第47页
- 第48页
- 第49页
- 第50页
- 第51页
- 第52页
- 第53页
- 第54页
- 第55页
- 第56页
- 第57页
- 第58页
- 第59页
- 第60页
- 第61页
- 第62页
- 第63页
- 第64页
- 第65页
- 第66页
- 第67页
- 第68页
- 第69页
- 第70页
- 第71页
- 第72页
- 第73页
- 第74页
- 第75页
- 第76页
- 第77页
- 第78页
- 第79页
- 第80页
- 第81页
- 第82页
- 第83页
- 第84页
- 第85页
- 第86页
- 第87页
- 第88页
- 第89页
- 第90页
- 第91页
- 第92页
- 第93页
- 第94页
- 第95页
- 第96页
- 第97页
- 第98页
- 第99页
- 第100页
- 第101页
- 第102页
- 第103页
- 第104页
- 第105页
- 第106页
- 第107页
- 第108页
- 第109页
- 第110页
- 第111页
- 第112页
- 第113页
- 第114页
- 第115页
- 第116页
- 第117页
- 第118页
- 第119页
- 第120页
- 第121页
- 第122页
- 第123页
- 第124页
1. [2023.承德模拟改编]下列有关电压的说法中,正确的是( )
A. 用电器有电流通过,它的两端不一定有电压
B. 电路两端有电压,一定有电流通过
C. 用电器有电流通过,它的两端一定有电压
D. 电源是提供电压的装置,不同的电源提供的电压一定是不相同的
A. 用电器有电流通过,它的两端不一定有电压
B. 电路两端有电压,一定有电流通过
C. 用电器有电流通过,它的两端一定有电压
D. 电源是提供电压的装置,不同的电源提供的电压一定是不相同的
答案:
C [点拨]电压是电流产生的原因,某用电器有电流通过,它的两端一定有电压,故A错误,C正确;电路两端有电压,电路中不一定有电流,要想有电流,电路必须闭合,故B错误;电源是提供电压的装置,不同的电源提供的电压可能不相同,也可能相同,故D错误。
2. 下列有关电压的说法正确的是( )
A. 对人体安全的电压为36V
B. 1V = 10mV
C. 一节干电池的电压约为1.5V
D. 电压可以使所有电荷移动形成电流
A. 对人体安全的电压为36V
B. 1V = 10mV
C. 一节干电池的电压约为1.5V
D. 电压可以使所有电荷移动形成电流
答案:
C [点拨]对人体安全的电压为不高于36V,故A错误;1V = 1000mV,故B错误;电压可以使自由电荷定向移动形成电流,故D错误。
3. [2024.泉州期中]在番茄上相隔一定距离分别插入锌、铜金属片,可做成“番茄电池”,将番茄电池与已调零的电压表相连,指针偏转如图所示。则甲是番茄电池的________极,番茄电池两端的电压为________V。

答案:
负;0.8 [点拨]由题图可知,电压表正向偏转,与电压表正接线柱相连的是乙,因此乙是正极,甲是负极;题图中选择的是0~3V量程,分度值为0.1V,则其示数为0.8V,故番茄电池两端的电压为0.8V。
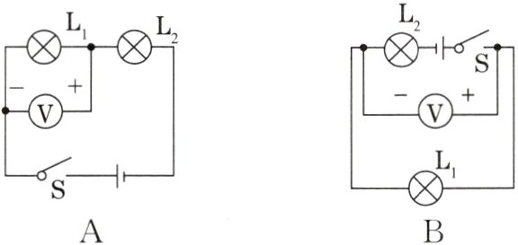
4. 如图所示电路中,能正确测出小灯泡L两端电压的是( )
答案:
B [点拨]A中电压表与小灯泡L₁并联,测量的是小灯泡L₁两端的电压,但电压表的正、负接线柱接反了,故A不符合题意;B中电压表与小灯泡L₂并联,测量的是小灯泡L₂两端的电压,“+”“ - ”接线柱接法也正确,故B符合题意;C中电压表与灯泡L₁并联,测量的是灯泡L₁两端的电压,故C不符合题意;D中电压表与电源并联,测量的是电源两端的电压,也是小灯泡L₁和L₂串联后的总电压,故D不符合题意。
5. 根据如图所示的实物图,在虚线框中画出它对应的电路图。
答案:
[解]如图所示。
[解]如图所示。
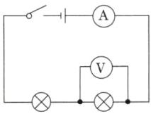
6. 如图所示电路中,开关S闭合后,电压表的示数等于( )

A. 电源电压
B. L1两端的电压
C. L2两端的电压
D. L1和L2两端的总电压
A. 电源电压
B. L1两端的电压
C. L2两端的电压
D. L1和L2两端的总电压
答案:
C [点拨]用“去源法”判断电压表测量哪个用电器的电压,去掉电源,如图所示,可以看出电压表接在L₂的两端,所以电压表的示数等于L₂两端的电压。
C [点拨]用“去源法”判断电压表测量哪个用电器的电压,去掉电源,如图所示,可以看出电压表接在L₂的两端,所以电压表的示数等于L₂两端的电压。
查看更多完整答案,请扫码查看