第33页
- 第1页
- 第2页
- 第3页
- 第4页
- 第5页
- 第6页
- 第7页
- 第8页
- 第9页
- 第10页
- 第11页
- 第12页
- 第13页
- 第14页
- 第15页
- 第16页
- 第17页
- 第18页
- 第19页
- 第20页
- 第21页
- 第22页
- 第23页
- 第24页
- 第25页
- 第26页
- 第27页
- 第28页
- 第29页
- 第30页
- 第31页
- 第32页
- 第33页
- 第34页
- 第35页
- 第36页
- 第37页
- 第38页
- 第39页
- 第40页
- 第41页
- 第42页
- 第43页
- 第44页
- 第45页
- 第46页
- 第47页
- 第48页
- 第49页
- 第50页
- 第51页
- 第52页
- 第53页
- 第54页
- 第55页
- 第56页
- 第57页
- 第58页
- 第59页
- 第60页
- 第61页
- 第62页
- 第63页
- 第64页
- 第65页
- 第66页
- 第67页
- 第68页
- 第69页
- 第70页
- 第71页
- 第72页
- 第73页
- 第74页
- 第75页
- 第76页
- 第77页
- 第78页
- 第79页
- 第80页
- 第81页
- 第82页
- 第83页
- 第84页
- 第85页
- 第86页
- 第87页
- 第88页
- 第89页
- 第90页
- 第91页
- 第92页
- 第93页
- 第94页
- 第95页
- 第96页
- 第97页
- 第98页
- 第99页
- 第100页
- 第101页
- 第102页
- 第103页
- 第104页
- 第105页
- 第106页
- 第107页
- 第108页
- 第109页
- 第110页
- 第111页
- 第112页
- 第113页
- 第114页
- 第115页
- 第116页
- 第117页
- 第118页
- 第119页
- 第120页
- 第121页
- 第122页
- 第123页
- 第124页
1.[2023.淮安期中]如图所示,根据图甲所示电路图,连接图乙所示实物电路。
答案:
[解]如图所示。
[解]如图所示。
2.根据图甲所示的电路图,用笔画线代替导线,连接图乙中的实物电路。
答案:
[解]如图所示。
[解]如图所示。
3.[2023.大连期末]如图所示,用笔画线代替导线将电路补充完整,要求两灯并联,开关S控制干路,S₂控制L₁。
答案:
[解]如图所示。
[解]如图所示。
4.[2024.南京期中]在如图所示的电路中,有一根导线连接错误,请在错误导线上画“×”,并画出正确连接方式。要求:改正后,灯泡和电动机并联,开关S控制所有用电器,S₁只控制电动机。
电路的连接(-)3见答案册10页
电路的连接(-)3见答案册10页
答案:
[解]如图所示。
[解]如图所示。
5.根据实物图在方框中画出电路图。
答案:
[解]如图所示。
[点拨]由实物图知,灯泡L₁与电动机并联,开关S₁在灯泡L₁支路上,开关S₂在电动机支路上。
[解]如图所示。
[点拨]由实物图知,灯泡L₁与电动机并联,开关S₁在灯泡L₁支路上,开关S₂在电动机支路上。
6.[2023.吉林模拟]如图是一个电学实验的实物电路,请在方框中画出它的电路图。
答案:
[解]如图所示。
[点拨]由实物图可知,电流从电源正极出发开始分支,一条支路经开关S₁后流向灯泡L₁,另一条支路经过灯泡L₂,然后两支电流汇合经过S₂回到电源负极。
[解]如图所示。
[点拨]由实物图可知,电流从电源正极出发开始分支,一条支路经开关S₁后流向灯泡L₁,另一条支路经过灯泡L₂,然后两支电流汇合经过S₂回到电源负极。
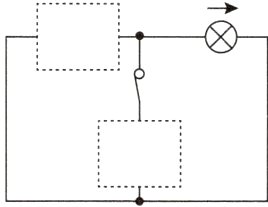
7.[2023.南充月考]请在下图两虚线框内分别填入电源与灯泡的电路符号,使之成为并联电路,且电流方向符合图中箭头所示。
答案:
[解]如图所示。
[解]如图所示。
8.[2024.遂宁月考]如图甲所示是某榨汁机。为保障安全,设计师给该榨汁机设置了电源开关S和安全开关S₂,当杯体放在主机上时,安全开关S₂自动闭合,此时再闭合电源开关,电动机才能启动,开始榨汁。请按以上要求在图乙中用横平线或竖直线代替导线,画出该榨汁机的电路图。
答案:
[解]如图所示。
[解]如图所示。
查看更多完整答案,请扫码查看