第8页
- 第1页
- 第2页
- 第3页
- 第4页
- 第5页
- 第6页
- 第7页
- 第8页
- 第9页
- 第10页
- 第11页
- 第12页
- 第13页
- 第14页
- 第15页
- 第16页
- 第17页
- 第18页
- 第19页
- 第20页
- 第21页
- 第22页
- 第23页
- 第24页
- 第25页
- 第26页
- 第27页
- 第28页
- 第29页
- 第30页
- 第31页
- 第32页
- 第33页
- 第34页
- 第35页
- 第36页
- 第37页
- 第38页
- 第39页
- 第40页
- 第41页
- 第42页
- 第43页
- 第44页
- 第45页
- 第46页
- 第47页
- 第48页
- 第49页
- 第50页
- 第51页
- 第52页
- 第53页
- 第54页
- 第55页
- 第56页
- 第57页
- 第58页
- 第59页
- 第60页
- 第61页
- 第62页
- 第63页
- 第64页
- 第65页
- 第66页
- 第67页
- 第68页
- 第69页
- 第70页
- 第71页
- 第72页
- 第73页
- 第74页
- 第75页
- 第76页
- 第77页
- 第78页
- 第79页
15. 计算:
(1)$2\div\sqrt{2}\times\frac{1}{\sqrt{2}}$;
(2)$-\frac{4}{3}\sqrt{18}\div2\sqrt{8}\times\frac{1}{3}\sqrt{54}$.
(3)$\sqrt{\frac{18a^{3}}{b}}\div\sqrt{\frac{2a}{b}}$.
(1)$2\div\sqrt{2}\times\frac{1}{\sqrt{2}}$;
(2)$-\frac{4}{3}\sqrt{18}\div2\sqrt{8}\times\frac{1}{3}\sqrt{54}$.
(3)$\sqrt{\frac{18a^{3}}{b}}\div\sqrt{\frac{2a}{b}}$.
答案:
(1)解:原式$=2\times\frac{1}{\sqrt{2}}\times\frac{1}{\sqrt{2}} = 1$。
(2)解:原式$=-\frac{4}{3}\times\frac{1}{2}\times\frac{1}{3}\times\sqrt{18\times\frac{1}{8}\times54}=-\frac{2}{9}\sqrt{9\times\frac{1}{4}\times54}=-\frac{2}{9}\times\frac{9}{2}\sqrt{6}=-\sqrt{6}$。
(3)解:原式$=\sqrt{\frac{18a^{3}}{b}\times\frac{b}{2a}}=\sqrt{9a^{2}} = 3a$。
(1)解:原式$=2\times\frac{1}{\sqrt{2}}\times\frac{1}{\sqrt{2}} = 1$。
(2)解:原式$=-\frac{4}{3}\times\frac{1}{2}\times\frac{1}{3}\times\sqrt{18\times\frac{1}{8}\times54}=-\frac{2}{9}\sqrt{9\times\frac{1}{4}\times54}=-\frac{2}{9}\times\frac{9}{2}\sqrt{6}=-\sqrt{6}$。
(3)解:原式$=\sqrt{\frac{18a^{3}}{b}\times\frac{b}{2a}}=\sqrt{9a^{2}} = 3a$。
16.(教材第9页例7变式)如图,在Rt$\triangle ABC$中,$\angle ACB = 90^{\circ}$,$S_{\triangle ABC}=\sqrt{18}$,$BC = \sqrt{3}$,$AB = 3\sqrt{3}$,$CD\perp AB$于点$D$,求$AC$和$CD$的长.
答案:
解:$\because S_{\triangle ABC}=\frac{1}{2}AC\cdot BC=\frac{1}{2}AB\cdot CD,\therefore AC=\frac{2S_{\triangle ABC}}{BC}=\frac{2\times\sqrt{18}}{\sqrt{3}}=2\sqrt{\frac{18}{3}}=2\sqrt{6},CD=\frac{2S_{\triangle ABC}}{AB}=\frac{2\times\sqrt{18}}{3\sqrt{3}}=\frac{2}{3}\sqrt{\frac{18}{3}}=\frac{2\sqrt{6}}{3}$。
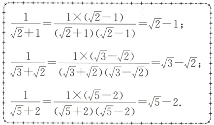
17.(核心素养·运算能力)阅读下面的计算过程:
试求:
(1)$\frac{1}{\sqrt{7}+\sqrt{6}}$的值;
(2)$\frac{2}{\sqrt{5}+\sqrt{3}}$的值;
(3)$\frac{1}{1+\sqrt{2}}+\frac{1}{\sqrt{2}+\sqrt{3}}+\frac{1}{\sqrt{3}+\sqrt{4}}+\cdots+\frac{1}{\sqrt{98}+\sqrt{99}}+\frac{1}{\sqrt{99}+\sqrt{100}}$的值.
试求:
(1)$\frac{1}{\sqrt{7}+\sqrt{6}}$的值;
(2)$\frac{2}{\sqrt{5}+\sqrt{3}}$的值;
(3)$\frac{1}{1+\sqrt{2}}+\frac{1}{\sqrt{2}+\sqrt{3}}+\frac{1}{\sqrt{3}+\sqrt{4}}+\cdots+\frac{1}{\sqrt{98}+\sqrt{99}}+\frac{1}{\sqrt{99}+\sqrt{100}}$的值.
答案:
解:
(1)原式$=\frac{\sqrt{7}-\sqrt{6}}{(\sqrt{7}+\sqrt{6})(\sqrt{7}-\sqrt{6})}=\sqrt{7}-\sqrt{6}$。
(2)原式$=\frac{2(\sqrt{5}-\sqrt{3})}{(\sqrt{5}+\sqrt{3})(\sqrt{5}-\sqrt{3})}=\sqrt{5}-\sqrt{3}$。
(3)原式$=\sqrt{2}-1+\sqrt{3}-\sqrt{2}+\sqrt{4}-\sqrt{3}+\cdots+\sqrt{99}-\sqrt{98}+\sqrt{100}-\sqrt{99}=\sqrt{100}-1 = 9$。
(1)原式$=\frac{\sqrt{7}-\sqrt{6}}{(\sqrt{7}+\sqrt{6})(\sqrt{7}-\sqrt{6})}=\sqrt{7}-\sqrt{6}$。
(2)原式$=\frac{2(\sqrt{5}-\sqrt{3})}{(\sqrt{5}+\sqrt{3})(\sqrt{5}-\sqrt{3})}=\sqrt{5}-\sqrt{3}$。
(3)原式$=\sqrt{2}-1+\sqrt{3}-\sqrt{2}+\sqrt{4}-\sqrt{3}+\cdots+\sqrt{99}-\sqrt{98}+\sqrt{100}-\sqrt{99}=\sqrt{100}-1 = 9$。
查看更多完整答案,请扫码查看