第83页
- 第1页
- 第2页
- 第3页
- 第4页
- 第5页
- 第6页
- 第7页
- 第8页
- 第9页
- 第10页
- 第11页
- 第12页
- 第13页
- 第14页
- 第15页
- 第16页
- 第17页
- 第18页
- 第19页
- 第20页
- 第21页
- 第22页
- 第23页
- 第24页
- 第25页
- 第26页
- 第27页
- 第28页
- 第29页
- 第30页
- 第31页
- 第32页
- 第33页
- 第34页
- 第35页
- 第36页
- 第37页
- 第38页
- 第39页
- 第40页
- 第41页
- 第42页
- 第43页
- 第44页
- 第45页
- 第46页
- 第47页
- 第48页
- 第49页
- 第50页
- 第51页
- 第52页
- 第53页
- 第54页
- 第55页
- 第56页
- 第57页
- 第58页
- 第59页
- 第60页
- 第61页
- 第62页
- 第63页
- 第64页
- 第65页
- 第66页
- 第67页
- 第68页
- 第69页
- 第70页
- 第71页
- 第72页
- 第73页
- 第74页
- 第75页
- 第76页
- 第77页
- 第78页
- 第79页
- 第80页
- 第81页
- 第82页
- 第83页
- 第84页
- 第85页
- 第86页
- 第87页
- 第88页
- 第89页
- 第90页
- 第91页
- 第92页
- 第93页
- 第94页
- 第95页
9.(2024广东梅州五华模拟)如图,在平面直角坐标系中,点P在反比例函数y = $\frac{k}{x}$(x>0)的图象上,点A,B在x轴上,且PA⊥PB,垂足为P,PA交y轴于点C,AO = BO = BP,△ABP的面积是2,则k的值是 ( )

A.1
B.$\frac{3}{2}$
C.$\sqrt{3}$
D.2
A.1
B.$\frac{3}{2}$
C.$\sqrt{3}$
D.2
答案:
9A 如图,连接OP,作PD⊥x轴于D,
∵△ABP的面积是2,AO = BO,
∴△OBP的面积为1,
∵PA⊥PB,AO = BO = BP,
∴sin∠PAB = $\frac{1}{2}$,
∴∠PAB = 30°,
∴∠PBA = 60°,
∴△POB为等边三角形,
∴S△POD = $\frac{1}{2}$S△POB = $\frac{1}{2}$,
∴$\frac{|k|}{2}$ = $\frac{1}{2}$,
∴k = ±1,
∵反比例函数的图象位于第一象限,
∴k = 1.故选A.
9A 如图,连接OP,作PD⊥x轴于D,
∵△ABP的面积是2,AO = BO,
∴△OBP的面积为1,
∵PA⊥PB,AO = BO = BP,
∴sin∠PAB = $\frac{1}{2}$,
∴∠PAB = 30°,
∴∠PBA = 60°,
∴△POB为等边三角形,
∴S△POD = $\frac{1}{2}$S△POB = $\frac{1}{2}$,
∴$\frac{|k|}{2}$ = $\frac{1}{2}$,
∴k = ±1,
∵反比例函数的图象位于第一象限,
∴k = 1.故选A.
10.(2024甘肃武威凉州一模)如图,已知在矩形ABCD中,M是AD边的中点,BM与AC垂直,交直线AC于点N,连接DN,则下列四个结论:①CN = 2AN;②DN = DC;③tan∠CAD = $\sqrt{2}$;④△AMN∽△CAB.其中,正确的为 ( )

A.①②③④
B.①②③
C.①②④
D.②③④
A.①②③④
B.①②③
C.①②④
D.②③④
答案:
10C
∵矩形ABCD中,AD//BC,
∴△AMN∽△CBN,
∴$\frac{AM}{BC}$ = $\frac{AN}{CN}$,
∵M是AD边的中点,
∴AM = MD = $\frac{1}{2}$AD = $\frac{1}{2}$BC,
∴$\frac{AM}{BC}$ = $\frac{AN}{CN}$ = $\frac{1}{2}$,
∴CN = 2AN,故①正确;如图,过D作DH//BM交BC于H,连接NH,
∵DH//BM,BM⊥AC,
∴DH⊥AC,
∵DH//BM,AD//BC,
∴四边形BMDH是平行四边形,
∴BH = MD = $\frac{1}{2}$BC,
∴BH = CH,
∵∠BNC = 90°,
∴NH = HC,
∴DH是NC的垂直平分线,
∴DN = DC,故②正确;
∵四边形ABCD是矩形,
∴AD//BC,∠ABC = 90°,
∴∠DAC = ∠ACB,∠ABC = ∠ANM = 90°,
∴△AMN∽△CAB,故④正确;
∵∠DAC = ∠BCA,∠BAC + ∠ACB = 90°,∠DAC + ∠AMB = 90°,
∴∠BAC = ∠AMB,
∵∠ABC = ∠BAM = 90°,
∴△ABM∽△BCA,
∴$\frac{AM}{AB}$ = $\frac{AB}{BC}$,
∴AB² = $\frac{1}{2}$BC²,
∴AB = $\frac{\sqrt{2}}{2}$BC,
∵tan∠DAC = tan∠ACB = $\frac{AB}{BC}$,
∴tan∠DAC = $\frac{\sqrt{2}}{2}$,故③错误.故选C.
10C
∵矩形ABCD中,AD//BC,
∴△AMN∽△CBN,
∴$\frac{AM}{BC}$ = $\frac{AN}{CN}$,
∵M是AD边的中点,
∴AM = MD = $\frac{1}{2}$AD = $\frac{1}{2}$BC,
∴$\frac{AM}{BC}$ = $\frac{AN}{CN}$ = $\frac{1}{2}$,
∴CN = 2AN,故①正确;如图,过D作DH//BM交BC于H,连接NH,
∵DH//BM,BM⊥AC,
∴DH⊥AC,
∵DH//BM,AD//BC,
∴四边形BMDH是平行四边形,
∴BH = MD = $\frac{1}{2}$BC,
∴BH = CH,
∵∠BNC = 90°,
∴NH = HC,
∴DH是NC的垂直平分线,
∴DN = DC,故②正确;
∵四边形ABCD是矩形,
∴AD//BC,∠ABC = 90°,
∴∠DAC = ∠ACB,∠ABC = ∠ANM = 90°,
∴△AMN∽△CAB,故④正确;
∵∠DAC = ∠BCA,∠BAC + ∠ACB = 90°,∠DAC + ∠AMB = 90°,
∴∠BAC = ∠AMB,
∵∠ABC = ∠BAM = 90°,
∴△ABM∽△BCA,
∴$\frac{AM}{AB}$ = $\frac{AB}{BC}$,
∴AB² = $\frac{1}{2}$BC²,
∴AB = $\frac{\sqrt{2}}{2}$BC,
∵tan∠DAC = tan∠ACB = $\frac{AB}{BC}$,
∴tan∠DAC = $\frac{\sqrt{2}}{2}$,故③错误.故选C.
11.(2023浙江金华武义模拟)如图,矩形ABCD中,AD = 2,AB = 4,剪去一个矩形AEFD后,余下的矩形EBCF∽矩形BCDA,则CF的长为________.(M9227002)

答案:
11答案 1
解析
∵四边形ABCD是矩形,
∴AD = BC = 2,AB = DC = 4,
∵矩形EBCF∽矩形BCDA,
∴$\frac{BC}{CD}$ = $\frac{CF}{AD}$,即$\frac{2}{4}$ = $\frac{CF}{2}$,
∴CF = 1.
解析
∵四边形ABCD是矩形,
∴AD = BC = 2,AB = DC = 4,
∵矩形EBCF∽矩形BCDA,
∴$\frac{BC}{CD}$ = $\frac{CF}{AD}$,即$\frac{2}{4}$ = $\frac{CF}{2}$,
∴CF = 1.
12.(新独家原创)定义一种运算:$\begin{vmatrix}a&b\\c&d\end{vmatrix}=ad - bc$.例如:$\begin{vmatrix}1&2\\-3&4\end{vmatrix}=1×4 - 2×(-3)=10$,则$\begin{vmatrix}\sin60°&\cos45°\\\tan30°&\sqrt{2}\end{vmatrix}$的值为________.
答案:
12答案 $\frac{\sqrt{6}}{3}$
解析 $\begin{vmatrix}\sin 60^{\circ}&\cos 45^{\circ}\\\tan 30^{\circ}&\sqrt{2}\end{vmatrix}$ = sin 60°×$\sqrt{2}$ - cos 45°·tan 30° = $\frac{\sqrt{3}}{2}$×$\sqrt{2}$ - $\frac{\sqrt{2}}{2}$×$\frac{\sqrt{3}}{3}$ = $\frac{\sqrt{6}}{2}$ - $\frac{\sqrt{6}}{6}$ = $\frac{\sqrt{6}}{3}$.
解析 $\begin{vmatrix}\sin 60^{\circ}&\cos 45^{\circ}\\\tan 30^{\circ}&\sqrt{2}\end{vmatrix}$ = sin 60°×$\sqrt{2}$ - cos 45°·tan 30° = $\frac{\sqrt{3}}{2}$×$\sqrt{2}$ - $\frac{\sqrt{2}}{2}$×$\frac{\sqrt{3}}{3}$ = $\frac{\sqrt{6}}{2}$ - $\frac{\sqrt{6}}{6}$ = $\frac{\sqrt{6}}{3}$.
13.(易错题)(2023辽宁抚顺东洲模拟)如图,已知点E(-6,2),F(-1,-1),以点O为位似中心,把△EFO各边缩小到原来的$\frac{1}{2}$,则点E的对应点的坐标为________________.(M9227006)

答案:
13答案 (-3,1)或(3,-1)
解析
∵以点O为位似中心,把△EFO各边缩小到原来的$\frac{1}{2}$,点E的坐标为(-6,2),
∴点E的对应点的坐标为(-6×$\frac{1}{2}$,2×$\frac{1}{2}$)或(-6×(-$\frac{1}{2}$),2×(-$\frac{1}{2}$)),即(-3,1)或(3,-1).
易错点 易忽略其中一种情况.
解析
∵以点O为位似中心,把△EFO各边缩小到原来的$\frac{1}{2}$,点E的坐标为(-6,2),
∴点E的对应点的坐标为(-6×$\frac{1}{2}$,2×$\frac{1}{2}$)或(-6×(-$\frac{1}{2}$),2×(-$\frac{1}{2}$)),即(-3,1)或(3,-1).
易错点 易忽略其中一种情况.
14.(2024浙江宁波一模)一个正三棱柱的三视图如图所示,若这个正三棱柱的表面积为24 + 8$\sqrt{3}$,则a的值是________.

答案:
14答案 2
解析 由左视图知底面正三角形的高为2$\sqrt{3}$,可得底面正三角形的边长为4,
∴底面正三角形的面积为$\frac{1}{2}$×4×2$\sqrt{3}$ = 4$\sqrt{3}$,
∵这个正三棱柱的表面积为24 + 8$\sqrt{3}$,
∴3×4a + 2×4$\sqrt{3}$ = 24 + 8$\sqrt{3}$,
∴a = 2.
解析 由左视图知底面正三角形的高为2$\sqrt{3}$,可得底面正三角形的边长为4,
∴底面正三角形的面积为$\frac{1}{2}$×4×2$\sqrt{3}$ = 4$\sqrt{3}$,
∵这个正三棱柱的表面积为24 + 8$\sqrt{3}$,
∴3×4a + 2×4$\sqrt{3}$ = 24 + 8$\sqrt{3}$,
∴a = 2.
15.(2024湖南中考)如图,左图为《天工开物》记载的用于舂(chōng)捣谷物的工具——“碓(duì)”的结构简图,右图为其平面示意图.已知AB⊥CD于点B,AB与水平线l相交于点O,OE⊥l.若BC = 4分米,OB = 12分米,∠BOE = 60°,则点C到水平线l的距离CF为________分米(结果用含根号的式子表示).

答案:
15答案 (6 - 2$\sqrt{3}$)
解析 如图,延长DC交l于点H,连接OC,在Rt△OBH中,∠BOH = 90° - 60° = 30°,OB = 12分米,
∴BH = 12×tan 30° = 4$\sqrt{3}$(分米),OH = 8$\sqrt{3}$分米,
∵S△OBH = S△OCH + S△OBC,
∴$\frac{1}{2}$OB·BH = $\frac{1}{2}$OH·CF + $\frac{1}{2}$OB·BC,即$\frac{1}{2}$×12×4$\sqrt{3}$ = $\frac{1}{2}$×8$\sqrt{3}$×CF + $\frac{1}{2}$×12×4,
∴CF = (6 - 2$\sqrt{3}$)分米.
15答案 (6 - 2$\sqrt{3}$)
解析 如图,延长DC交l于点H,连接OC,在Rt△OBH中,∠BOH = 90° - 60° = 30°,OB = 12分米,
∴BH = 12×tan 30° = 4$\sqrt{3}$(分米),OH = 8$\sqrt{3}$分米,
∵S△OBH = S△OCH + S△OBC,
∴$\frac{1}{2}$OB·BH = $\frac{1}{2}$OH·CF + $\frac{1}{2}$OB·BC,即$\frac{1}{2}$×12×4$\sqrt{3}$ = $\frac{1}{2}$×8$\sqrt{3}$×CF + $\frac{1}{2}$×12×4,
∴CF = (6 - 2$\sqrt{3}$)分米.
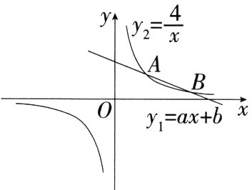
16.(2024四川广元旺苍三模)如图,一次函数y₁ = ax + b与反比例函数y₂ = $\frac{4}{x}$的图象交于A、B两点,点A的横坐标为2,点B的纵坐标为1,在反比例函数y₂ = $\frac{4}{x}$位于第三象限的图象上存在一点P,要使点P到直线AB的距离最短,则点P的坐标为________.

答案:
16答案 (-2$\sqrt{2}$,-$\sqrt{2}$)
解析
∵点A、B在反比例函数y₂ = $\frac{4}{x}$的图象上,且点A的横坐标为2,点B的纵坐标为1,
∴A(2,2),B(4,1).
∵A(2,2),B(4,1)在一次函数y₁ = ax + b的图象上,
∴$\begin{cases}2a + b = 2\\4a + b = 1\end{cases}$,解得$\begin{cases}a = -\frac{1}{2}\\b = 3\end{cases}$,
∴直线AB的解析式为y₁ = -$\frac{1}{2}$x + 3.设直线AB向下平移m个单位时,其与反比例函数在第三象限内的图象只有一个交点,交点为点P,此时点P到直线AB的距离最短,令-$\frac{1}{2}$x + 3 - m = $\frac{4}{x}$,整理得x² - 2(3 - m)x + 8 = 0,令Δ = 4(3 - m)² - 32 = 0,解得m = 3 + 2$\sqrt{2}$或m = 3 - 2$\sqrt{2}$(舍去),此时x² - 2(3 - m)x + 8 = 0整理为x² + 4$\sqrt{2}$x + 8 = 0,解得x₁ = x₂ = -2$\sqrt{2}$,
∴满足条件的点P的坐标为(-2$\sqrt{2}$,-$\sqrt{2}$).
解析
∵点A、B在反比例函数y₂ = $\frac{4}{x}$的图象上,且点A的横坐标为2,点B的纵坐标为1,
∴A(2,2),B(4,1).
∵A(2,2),B(4,1)在一次函数y₁ = ax + b的图象上,
∴$\begin{cases}2a + b = 2\\4a + b = 1\end{cases}$,解得$\begin{cases}a = -\frac{1}{2}\\b = 3\end{cases}$,
∴直线AB的解析式为y₁ = -$\frac{1}{2}$x + 3.设直线AB向下平移m个单位时,其与反比例函数在第三象限内的图象只有一个交点,交点为点P,此时点P到直线AB的距离最短,令-$\frac{1}{2}$x + 3 - m = $\frac{4}{x}$,整理得x² - 2(3 - m)x + 8 = 0,令Δ = 4(3 - m)² - 32 = 0,解得m = 3 + 2$\sqrt{2}$或m = 3 - 2$\sqrt{2}$(舍去),此时x² - 2(3 - m)x + 8 = 0整理为x² + 4$\sqrt{2}$x + 8 = 0,解得x₁ = x₂ = -2$\sqrt{2}$,
∴满足条件的点P的坐标为(-2$\sqrt{2}$,-$\sqrt{2}$).
查看更多完整答案,请扫码查看