第35页
- 第1页
- 第2页
- 第3页
- 第4页
- 第5页
- 第6页
- 第7页
- 第8页
- 第9页
- 第10页
- 第11页
- 第12页
- 第13页
- 第14页
- 第15页
- 第16页
- 第17页
- 第18页
- 第19页
- 第20页
- 第21页
- 第22页
- 第23页
- 第24页
- 第25页
- 第26页
- 第27页
- 第28页
- 第29页
- 第30页
- 第31页
- 第32页
- 第33页
- 第34页
- 第35页
- 第36页
- 第37页
- 第38页
- 第39页
- 第40页
- 第41页
- 第42页
- 第43页
- 第44页
- 第45页
- 第46页
- 第47页
- 第48页
- 第49页
- 第50页
- 第51页
- 第52页
- 第53页
- 第54页
- 第55页
- 第56页
- 第57页
- 第58页
- 第59页
- 第60页
- 第61页
- 第62页
- 第63页
- 第64页
- 第65页
- 第66页
- 第67页
- 第68页
- 第69页
- 第70页
- 第71页
- 第72页
- 第73页
- 第74页
- 第75页
- 第76页
- 第77页
- 第78页
- 第79页
1 [2025 黑龙江齐齐哈尔校级期末]从一张正方形铁皮上截去 2 cm 宽的一个长方形(长方形的长与正方形铁皮的边长相等),余下部分的面积是$ 48 cm^2,$则原来的正方形铁皮的面积是 ( )
$A. 24 cm^2$
$B. 32 cm^2$
$C. 8 cm^2$
$D. 64 cm^2$
$A. 24 cm^2$
$B. 32 cm^2$
$C. 8 cm^2$
$D. 64 cm^2$
答案:
D 【解析】设原来正方形铁皮的边长为x cm,则余下部分为长x cm、宽(x - 2)cm的长方形。根据题意,得x(x - 2)=48,解得x = 8或x = - 6(不合题意,舍去),
∴x² = 8×8 = 64。故选D。
∴x² = 8×8 = 64。故选D。
2 [2025 陕西咸阳调研]用一根长 12 cm 的铁丝围成一个斜边长为 5 cm 的直角三角形,则这个直角三角形较短的直角边长为______ cm.
答案:
3 【解析】设一条直角边长为x cm,则另一条直角边长为(12 - 5 - x)cm。根据勾股定理,得x²+(12 - 5 - x)² = 5²,解得x₁ = 4,x₂ = 3,
∴两直角边长分别为3 cm和4 cm,
∴这个直角三角形较短的直角边长为3 cm。故答案为3。
∴两直角边长分别为3 cm和4 cm,
∴这个直角三角形较短的直角边长为3 cm。故答案为3。
3 [2025 山东青岛校级质检]如图,把长 40 cm、宽 30 cm 的矩形纸板剪掉 2 个小正方形和 2 个小矩形(阴影部分即剪掉部分),将剩余的部分折成一个有盖的长方体盒子,设剪掉的小正方形的边长为 x cm(纸板的厚度忽略不计),若折成的长方体盒子的表面积是$ 950 cm^2,$则 x 的值是______.
]

]
答案:
5 【解析】依题意,得40×30 - 2x² - 2x·(40/2)=950,整理得x² + 20x - 125 = 0,解得x₁ = 5,x₂ = - 25(不合题意,舍去),
∴x的值是5。故答案为5。
∴x的值是5。故答案为5。
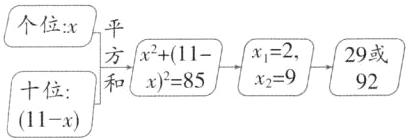
4 [2024 辽宁大连期中]一个两位数的个位数字与十位数字的和为 11,并且个位数字与十位数字的平方和为 85,则这个两位数是______.
答案:
92或29 【解析】
92或29 【解析】
5 [2025 江西九江校级质检]如图是一张月历表,在此月历表上可以用一个矩形任意圈出 2×2 个位置上相邻的数(如 2,3,9,10). 如果圈出的 4 个数中最大数与最小数的积为 128,求这 4 个数中最小的数.
]

]
答案:
思路分析:第一步:审题——题图中圈出的4个数中,最大数与最小数的差是10 - 2 = 8;第二步:设未知数——设最小数为x,则最大数为x + 8;第三步:找等量关系列方程——最小数与最大数的乘积为128,即x(x + 8)=128。易错警示:由一元二次方程的根与系数的关系求出m的值后,容易忽略Δ≥0,导致错误。思路分析:题目所给月历表中,圈出的4个数中最大数与最小数的差始终是8,设最小数为x,则最大数为x + 8,列方程求解即可。
【解】设这4个数中最小数是x,则最大数为x + 8。根据题意,得x(x + 8)=128,解得x₁ = 8,x₂ = - 16(不合题意,舍去),此时圈出的4个数为8,9,15,16。答:这4个数中最小的数是8。
【解】设这4个数中最小数是x,则最大数为x + 8。根据题意,得x(x + 8)=128,解得x₁ = 8,x₂ = - 16(不合题意,舍去),此时圈出的4个数为8,9,15,16。答:这4个数中最小的数是8。
6 [2024 湖北武汉江岸区期中]如图,Rt△ACB 中,∠C= 90°,AC= 7,BC= 5,点 P 从点 B 出发向终点 C 以 1 个单位长度每秒的速度移动,点 Q 从点 C 出发向终点 A 以 2 个单位长度每秒的速度移动,P,Q 两点同时出发,一点先到达终点时 P,Q 两点同时停止移动,则当△PCQ 的面积等于 4 时,经过的时间为 ( )

A.1 秒
B.2 秒
C.4 秒
D.1 秒或 4 秒
A.1 秒
B.2 秒
C.4 秒
D.1 秒或 4 秒
答案:
A 【解析】设经过t秒时,△PCQ的面积等于4。由题意得BP = t,CQ = 2t,则CP = 5 - t。
∵S△PCQ=(1/2)CQ·CP,
∴4=(1/2)×2t×(5 - t),整理得t² - 5t + 4 = 0,解得t₁ = 1,t₂ = 4(不合题意,舍去),即经过1秒时,△PCQ的面积等于4,故选A。
∵S△PCQ=(1/2)CQ·CP,
∴4=(1/2)×2t×(5 - t),整理得t² - 5t + 4 = 0,解得t₁ = 1,t₂ = 4(不合题意,舍去),即经过1秒时,△PCQ的面积等于4,故选A。
7 如图,在正方形 ABCD 中,AB= 5 cm,动点 P 以 √2 cm/s 的速度从点 A 出发,沿 AC 向点 C 移动,同时动点 Q 以 1 cm/s 的速度从点 C 出发,沿 CB 向点 B 移动,设 P,Q 两点移动时间为 t s(0<t<5). 在 P,Q 两点移动的过程中,PQ 的长度能否等于√10 cm? 若能,求出此时 t 的值;若不能,请说明理由.
]

]
答案:
思路分析:AC = 5√2,AP = √2t,PC = 5√2 - √2t,作PH⊥BC,PH = HC,PC = 5√2 - √2t,PH = 5 - t,CQ = t,HQ = |5 - 2t|,勾股定理,PQ = √10,求t值。
【解】能。在正方形ABCD中,
∵AB = 5 cm,
∴AC = 5√2 cm。由题意得AP = √2t cm,CQ = t cm,
∴PC=(5√2 - √2t)cm,BQ=(5 - t)cm。过点P作PH⊥BC于点H,则易得PH = HC=(5 - t)cm,
∴HQ = |HC - CQ| = |5 - 2t| cm.在Rt△PHQ中,
∵∠PHQ = 90°,
∴PH² + HQ² = PQ²。
∵PQ的长度等于√10 cm,
∴(5 - t)²+(5 - 2t)²=(√10)²解得t₁ = 2,t₂ = 4。故在P,Q两点移动的值为2或4。
【解】能。在正方形ABCD中,
∵AB = 5 cm,
∴AC = 5√2 cm。由题意得AP = √2t cm,CQ = t cm,
∴PC=(5√2 - √2t)cm,BQ=(5 - t)cm。过点P作PH⊥BC于点H,则易得PH = HC=(5 - t)cm,
∴HQ = |HC - CQ| = |5 - 2t| cm.在Rt△PHQ中,
∵∠PHQ = 90°,
∴PH² + HQ² = PQ²。
∵PQ的长度等于√10 cm,
∴(5 - t)²+(5 - 2t)²=(√10)²解得t₁ = 2,t₂ = 4。故在P,Q两点移动的值为2或4。
查看更多完整答案,请扫码查看