第27页
- 第1页
- 第2页
- 第3页
- 第4页
- 第5页
- 第6页
- 第7页
- 第8页
- 第9页
- 第10页
- 第11页
- 第12页
- 第13页
- 第14页
- 第15页
- 第16页
- 第17页
- 第18页
- 第19页
- 第20页
- 第21页
- 第22页
- 第23页
- 第24页
- 第25页
- 第26页
- 第27页
- 第28页
- 第29页
- 第30页
- 第31页
- 第32页
- 第33页
- 第34页
- 第35页
- 第36页
- 第37页
- 第38页
- 第39页
- 第40页
- 第41页
- 第42页
- 第43页
- 第44页
- 第45页
- 第46页
- 第47页
- 第48页
- 第49页
- 第50页
- 第51页
- 第52页
- 第53页
- 第54页
- 第55页
- 第56页
- 第57页
- 第58页
- 第59页
- 第60页
- 第61页
- 第62页
- 第63页
- 第64页
- 第65页
- 第66页
- 第67页
- 第68页
- 第69页
- 第70页
- 第71页
- 第72页
- 第73页
- 第74页
- 第75页
- 第76页
- 第77页
- 第78页
- 第79页
1 [2025 河北沧州质检]将二次三项式 $2x^{2}-8x + 7$ 进行配方,正确的结果是 ( )
A.$(x - 2)^{2}+3$
B.$2(x - 2)^{2}+3$
C.$2(x - 2)^{2}-1$
D.$2(x - 2)^{2}+1$
A.$(x - 2)^{2}+3$
B.$2(x - 2)^{2}+3$
C.$2(x - 2)^{2}-1$
D.$2(x - 2)^{2}+1$
答案:
C 【解析】原式=2(x²-4x)+7=2(x²-4x+4-4)+7=2(x-2)²-8+7=2(x-2)²-1. 故选 C.
2 [2025 重庆北碚区校级期末]设 $x_{1}$ 为一元二次方程 $2x^{2}-2x - 1 = 0$ 较大的实数根,则 ( )
A.$3\lt x_{1}\lt4$
B.$2\lt x_{1}\lt3$
C.$1\lt x_{1}\lt2$
D.$0\lt x_{1}\lt1$
A.$3\lt x_{1}\lt4$
B.$2\lt x_{1}\lt3$
C.$1\lt x_{1}\lt2$
D.$0\lt x_{1}\lt1$
答案:
C 【解析】
∵2x²-2x-1=0,
∴2x²-2x=1,x²-x=1/2,配方,得x²-x+1/4=1/2+1/4,
∴(x-1/2)²=3/4,
∴x-1/2=±√3/2,
∴x₁=1/2+√3/2,x₂=1/2-√3/2,
∴1<x₁<2. 故选 C.
∵2x²-2x-1=0,
∴2x²-2x=1,x²-x=1/2,配方,得x²-x+1/4=1/2+1/4,
∴(x-1/2)²=3/4,
∴x-1/2=±√3/2,
∴x₁=1/2+√3/2,x₂=1/2-√3/2,
∴1<x₁<2. 故选 C.
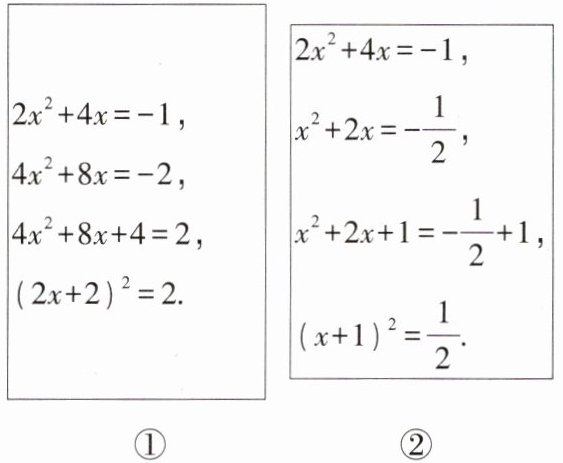
3 在解方程 2x^{2}+4x + 1 = 0 时,对方程进行配方,①是嘉嘉的做法,②是琪琪的做法,对于两人的做法,说法正确的是 ( )
①
$\begin{aligned}2x^{2}+4x&= -1\\4x^{2}+8x&= -2\\4x^{2}+8x + 4&= 2\\(2x + 2)^{2}&= 2\end{aligned} $
②

A.两人都正确
B.嘉嘉正确,琪琪不正确
C.嘉嘉不正确,琪琪正确
D.两人都不正确
①
$\begin{aligned}2x^{2}+4x&= -1\\4x^{2}+8x&= -2\\4x^{2}+8x + 4&= 2\\(2x + 2)^{2}&= 2\end{aligned} $
②
A.两人都正确
B.嘉嘉正确,琪琪不正确
C.嘉嘉不正确,琪琪正确
D.两人都不正确
答案:
A
4 [2024 山东聊城期末]用配方法解一元二次方程 $-3x^{2}+12x - 2 = 0$ 时,将它化为 $(x + a)^{2}= b$ 的形式,则 $a + b$ 的值为______.
答案:
4/3 【解析】-3x²+12x-2=0,二次项系数化为1,得x²-4x+2/3=0,移项,得x²-4x=-2/3,配方,得x²-4x+4=-2/3+4,即(x-2)²=10/3,
∴a=-2,b=10/3,
∴a+b=-2+10/3=4/3. 故答案为4/3.
∴a=-2,b=10/3,
∴a+b=-2+10/3=4/3. 故答案为4/3.
5 [2024 湖北恩施州期中]当 $x = $______时,代数式 $3x^{2}-6x$ 的值等于 12.
答案:
1±√5 【解析】根据题意得3x²-6x=12,即x²-2x=4,配方得x²-2x+1=5,即(x-1)²=5,开方得x-1=±√5,解得x=1±√5.
6 用配方法解下列方程:
(1) $-3x^{2}+4x + 1 = 0$;
(2) $(3x - 1)(x - 2)= 12$;
(3) $\frac{3}{4}x^{2}+3x + 1 = 0$.
(1) $-3x^{2}+4x + 1 = 0$;
(2) $(3x - 1)(x - 2)= 12$;
(3) $\frac{3}{4}x^{2}+3x + 1 = 0$.
答案:
【解】
(1)-3x²+4x +1=0,二次项系数化为1,得x² -4/3x -1/3=0.移项并配方,得x² -4/3x +4/9=1/3 +4/9,即(x-2/3)²=7/9,
∴x-2/3=±√7/3,
∴x=(2±√7)/3,x₂=(2-√7)/3.
(2)展开,得3x² -6x-x +2=12.整理,得3x² -7x -10=0.配方,得3(x² -7/3x +49/36)-49/12 -10=0.移项、合并同类项,得3(x-7/6)²=169/12,即(x-7/6)²=169/36.开平方,得x-7/6=±13/6,
∴x₁=10/3,x₂=-1.
(3)3/4x² +3x +1=0,二次项系数化为1,得x² +4x +4/3=0.配方,得(x+2)² -4 +4/3=0.移项、合并同类项,得(x+2)²=8/3.开平方,得x+2=±2√6/3.
∴x₁=(2√6 -6)/3,x₂=(-2√6 +6)/3.
(1)-3x²+4x +1=0,二次项系数化为1,得x² -4/3x -1/3=0.移项并配方,得x² -4/3x +4/9=1/3 +4/9,即(x-2/3)²=7/9,
∴x-2/3=±√7/3,
∴x=(2±√7)/3,x₂=(2-√7)/3.
(2)展开,得3x² -6x-x +2=12.整理,得3x² -7x -10=0.配方,得3(x² -7/3x +49/36)-49/12 -10=0.移项、合并同类项,得3(x-7/6)²=169/12,即(x-7/6)²=169/36.开平方,得x-7/6=±13/6,
∴x₁=10/3,x₂=-1.
(3)3/4x² +3x +1=0,二次项系数化为1,得x² +4x +4/3=0.配方,得(x+2)² -4 +4/3=0.移项、合并同类项,得(x+2)²=8/3.开平方,得x+2=±2√6/3.
∴x₁=(2√6 -6)/3,x₂=(-2√6 +6)/3.
7 [2025 陕西西安调研]某种爆竹点燃后,其上升高度 $h(m)$ 和时间 $t(s)$ 符合关系式: $h = v_{0}t-\frac{1}{2}gt^{2}(0\lt t\lt4)$,其中 $g$ 按 $10m/s^{2}$ 计算. 这种爆竹点燃后以 $v_{0}= 20m/s$ 的初速度上升,问:这种爆竹在地面上点燃后,经过多长时间离地面的高度为 15m?
答案:
【解】根据题意可得h=20t-1/2×10t²=-5t²+20t,
∴当这种爆竹离地面的高度为15m时,-5t²+20t=15,整理,得t²-4t=-3,配方,得t²-4t+(-2)²=-3+(-2)²,
∴(t-2)²=1,解得t₁=1,t₂=3. 故这种爆竹在地面上点燃后,经过1s或3s离地面的高度为15m.
∴当这种爆竹离地面的高度为15m时,-5t²+20t=15,整理,得t²-4t=-3,配方,得t²-4t+(-2)²=-3+(-2)²,
∴(t-2)²=1,解得t₁=1,t₂=3. 故这种爆竹在地面上点燃后,经过1s或3s离地面的高度为15m.
8 [2024 贵州遵义期中]小明在学习了用配方法解一元二次方程后,用配方法解方程 $2x^{2}-8x + 3 = 0$ 的过程如下.
解: $2x^{2}-8x= -3$ $\xrightarrow{①}$ $x^{2}-4x= -3$ $\xrightarrow{②}$ $x^{2}-4x + 4= -3 + 4$ $\xrightarrow{③}$ $(x - 2)^{2}= 1$ $\xrightarrow{④}$ $x - 2= \pm1$ $\xrightarrow{⑤}$ $x_{1}= 3,x_{2}= 1$.
(1)上述解方程的过程中,小明从第______步开始出现了错误(填序号);
(2)请正确利用配方法解方程 $2x^{2}-8x + 3 = 0$.
解: $2x^{2}-8x= -3$ $\xrightarrow{①}$ $x^{2}-4x= -3$ $\xrightarrow{②}$ $x^{2}-4x + 4= -3 + 4$ $\xrightarrow{③}$ $(x - 2)^{2}= 1$ $\xrightarrow{④}$ $x - 2= \pm1$ $\xrightarrow{⑤}$ $x_{1}= 3,x_{2}= 1$.
(1)上述解方程的过程中,小明从第______步开始出现了错误(填序号);
(2)请正确利用配方法解方程 $2x^{2}-8x + 3 = 0$.
答案:
【解】
(1)题中解方程的过程中,从第①步开始出现了错误. 故答案为①.思路分析:根据题意分以下两种情况讨论:当x>0时;当x<0时,分别列方程求解即可.易错警示:用配方法解二次项系数不为1的一元二次方程,将二次项系数化为1时,各项都要除以二次项的系数,不要漏项.
(2)2x²-8x+3=0,移项,得2x²-8x=-3,二次项系数化为1,得x²-4x=-3/2,配方,得x²-4x+4=-3/2+4,即(x-2)²=5/2,开平方,得x-2=±√10/2,解得x₁=2+√10/2,x₂=2-√10/2.
(1)题中解方程的过程中,从第①步开始出现了错误. 故答案为①.思路分析:根据题意分以下两种情况讨论:当x>0时;当x<0时,分别列方程求解即可.易错警示:用配方法解二次项系数不为1的一元二次方程,将二次项系数化为1时,各项都要除以二次项的系数,不要漏项.
(2)2x²-8x+3=0,移项,得2x²-8x=-3,二次项系数化为1,得x²-4x=-3/2,配方,得x²-4x+4=-3/2+4,即(x-2)²=5/2,开平方,得x-2=±√10/2,解得x₁=2+√10/2,x₂=2-√10/2.
查看更多完整答案,请扫码查看