第25页
- 第1页
- 第2页
- 第3页
- 第4页
- 第5页
- 第6页
- 第7页
- 第8页
- 第9页
- 第10页
- 第11页
- 第12页
- 第13页
- 第14页
- 第15页
- 第16页
- 第17页
- 第18页
- 第19页
- 第20页
- 第21页
- 第22页
- 第23页
- 第24页
- 第25页
- 第26页
- 第27页
- 第28页
- 第29页
- 第30页
- 第31页
- 第32页
- 第33页
- 第34页
- 第35页
- 第36页
- 第37页
- 第38页
- 第39页
- 第40页
- 第41页
- 第42页
- 第43页
- 第44页
- 第45页
- 第46页
- 第47页
- 第48页
- 第49页
- 第50页
- 第51页
- 第52页
- 第53页
- 第54页
- 第55页
- 第56页
- 第57页
- 第58页
- 第59页
- 第60页
- 第61页
- 第62页
- 第63页
- 第64页
- 第65页
- 第66页
- 第67页
- 第68页
- 第69页
- 第70页
- 第71页
- 第72页
- 第73页
- 第74页
- 第75页
- 第76页
- 第77页
- 第78页
- 第79页
1 [2025 河南周口质检]方程 $ x^{2}= 2 $ 的根是( )
A.$ x_{1}= x_{2}= \sqrt{2} $
B.$ x_{1}= \sqrt{2},x_{2}= -\sqrt{2} $
C.$ x= \sqrt{2} $
D.$ x= -\sqrt{2} $
A.$ x_{1}= x_{2}= \sqrt{2} $
B.$ x_{1}= \sqrt{2},x_{2}= -\sqrt{2} $
C.$ x= \sqrt{2} $
D.$ x= -\sqrt{2} $
答案:
B 【解析】
∵x²=2,
∴x=±√2,
∴x₁=√2,x₂=-√2. 故选 B.
∵x²=2,
∴x=±√2,
∴x₁=√2,x₂=-√2. 故选 B.
2 [2025 江苏南京期中]若关于 $ x $ 的方程 $ (x - 4)^{2}= m + 1 $ 有实数根,则 $ m $ 的取值范围是( )
A.$ m \geq 0 $
B.$ m \geq -1 $
C.$ m > -1 $
D.$ m > 1 $
A.$ m \geq 0 $
B.$ m \geq -1 $
C.$ m > -1 $
D.$ m > 1 $
答案:
B 【解析】
∵关于x的方程(x-4)²=m+1有实数根,
∴m+1≥0,解得m≥-1. 故选 B.
∵关于x的方程(x-4)²=m+1有实数根,
∴m+1≥0,解得m≥-1. 故选 B.
3 [2024 贵州遵义期中]已知三角形的两边长是 4 和 6,第三边的长是方程 $ (x - 3)^{2}= 4 $ 的根,则此三角形的周长为( )
A.17
B.11
C.15
D.11 或 15
A.17
B.11
C.15
D.11 或 15
答案:
C 【解析】(x-3)²=4,x-3=±2,解得x₁=5,x₂=1. 若x=5,则三角形的三边长分别为4,5,6,其周长为4+5+6=15;若x=1,6-4=2>1,不能构成三角形. 则此三角形的周长是15. 故选 C.
4 [2024 山东菏泽调研]若 $ (a^{2}+b^{2}-3)^{2}= 25 $,则 $ a^{2}+b^{2}= $( )
A.8 或 -2
B.-2
C.8
D.2 或 -8
A.8 或 -2
B.-2
C.8
D.2 或 -8
答案:
C 【解析】由(a²+b²-3)²=25,得a²+b²-3=±5,所以a²+b²=3±5,解得a²+b²=8或a²+b²=-2(不合题意,舍去). 故选 C.
5 [2024 浙江杭州期末]已知一元二次方程 $ (x - 2)^{2}= 3 $ 的两根为 $ a,b $,且 $ a > b $,则 $ 2a + b $ 的值为______。
答案:
6+√3 【解析】(x-2)²=3,
∴x-2=±√3,解得x₁=2+√3,x₂=2-√3.
∵方程(x-2)²=3的两根为a,b,且a>b,
∴a=2+√3,b=2-√3,
∴2a+b=2(2+√3)+2-√3=6+√3. 故答案为6+√3.
∴x-2=±√3,解得x₁=2+√3,x₂=2-√3.
∵方程(x-2)²=3的两根为a,b,且a>b,
∴a=2+√3,b=2-√3,
∴2a+b=2(2+√3)+2-√3=6+√3. 故答案为6+√3.
6 [2024 安徽阜阳期中]用配方法将代数式 $ x^{2}+4x - 5 $ 变形,结果正确的是( )
A.$ (x + 2)^{2}-1 $
B.$ (x + 2)^{2}-5 $
C.$ (x + 2)^{2}+4 $
D.$ (x + 2)^{2}-9 $
A.$ (x + 2)^{2}-1 $
B.$ (x + 2)^{2}-5 $
C.$ (x + 2)^{2}+4 $
D.$ (x + 2)^{2}-9 $
答案:
D 【解析】x²+4x-5=x²+4x+4-4-5=(x+2)²-9. 故选 D.
7 若把代数式 $ x^{2}-2x - 3 $ 化为 $ (x + m)^{2}+k $ 的形式,其中 $ m,k $ 为常数,则 $ m + k = $______。
答案:
-5 【解析】x²-2x-3=(x²-2x+1)-4=(x-1)²-4,故m=-1,k=-4.
∴m+k=-5.
∴m+k=-5.
8 [2024 山东东营中考]用配方法解一元二次方程 $ x^{2}-2x - 2023= 0 $,将它转化为 $ (x + a)^{2}= b $ 的形式,则 $ a^{b} $ 的值为( )
A.-2024
B.2024
C.-1
D.1
A.-2024
B.2024
C.-1
D.1
答案:
D 【解析】x²-2x-2023=0,移项,得x²-2x=2023,配方,得x²-2x+1=2023+1,即(x-1)²=2024,所以a=-1,b=2024,所以aᵇ=(-1)²⁰²⁴=1. 故选 D.
9 [2025 江苏苏州校级期中]如果代数式 $ x^{2}+x + 2 $ 与 $ 5x - 2 $ 的值相等,那么 $ x = $______。
答案:
2 【解析】根据题意得x²+x+2=5x-2,
∴x²-4x+4=0,
∴(x-2)²=0,
∴x₁=x₂=2. 故答案为2.
∴x²-4x+4=0,
∴(x-2)²=0,
∴x₁=x₂=2. 故答案为2.
10 [2025 福建泉州校级期中]若方程 $ x^{2}-4096576= 0 $ 的两根为 $ x_{1}= 2024,x_{2}= -2024 $,则方程 $ x^{2}-2x - 4096575= 0 $ 的两根为______。
答案:
x₁=2025,x₂=-2023 【解析】x²-2x-4096575=0,则x²-2x=4096575,
∴x²-2x+1=4096575+1,
∴(x-1)²=4096576,
∴x-1=±2024,
∴x₁=2025,x₂=-2023. 故答案为x₁=2025,x₂=-2023.
∴x²-2x+1=4096575+1,
∴(x-1)²=4096576,
∴x-1=±2024,
∴x₁=2025,x₂=-2023. 故答案为x₁=2025,x₂=-2023.
11 用配方法解下列方程:
(1) $ x^{2}-8x + 13= 0 $。
(2) $ x^{2}+5x + 7= 3x + 11 $。
(1) $ x^{2}-8x + 13= 0 $。
(2) $ x^{2}+5x + 7= 3x + 11 $。
答案:
【解】
(1)x²-8x+13=0,移项,得x²-8x=-13,配方,得x²-8x+16=-13+16,即(x-4)²=3,开平方,得x-4=±√3,
∴x₁=√3+4,x₂=-√3+4.
(2)移项、合并同类项,得x²+2x=4. 配方,得x²+2x+1=4+1,即(x+1)²=5,
∴x+1=±√5,
∴x₁=-1+√5,x₂=-1-√5.
(1)x²-8x+13=0,移项,得x²-8x=-13,配方,得x²-8x+16=-13+16,即(x-4)²=3,开平方,得x-4=±√3,
∴x₁=√3+4,x₂=-√3+4.
(2)移项、合并同类项,得x²+2x=4. 配方,得x²+2x+1=4+1,即(x+1)²=5,
∴x+1=±√5,
∴x₁=-1+√5,x₂=-1-√5.
12 [2025 辽宁大连期末]将长为 8 cm,宽为 6 cm 的长方形的长和宽都增加相同长度,结果长方形的面积增加了 $ 51cm^{2} $。求增加后长方形的长和宽。
答案:
【解】设长和宽各增加x cm,则增加后长方形的长为(8+x)cm,宽为(6+x)cm. 由题意,得(8+x)(6+x)=8×6+51,整理,得x²+14x=51. 配方,得x²+14x+7²=51+7²,
∴(x+7)²=100. 解得x₁=3,x₂=-17(不合题意,舍去),
∴8+x=8+3=11,6+x=6+3=9. 答:增加后长方形的长为11 cm,宽为9 cm.
∴(x+7)²=100. 解得x₁=3,x₂=-17(不合题意,舍去),
∴8+x=8+3=11,6+x=6+3=9. 答:增加后长方形的长为11 cm,宽为9 cm.
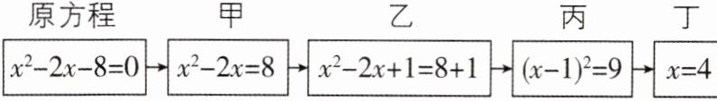
13 [2024 河北衡水调研]如图所示,在用配方法解一元二次方程时,有一位同学所负责的步骤是错误的,则这位同学是______。
答案:
丁 【解析】x²-2x-8=0,x²-2x=8,x²-2x+1=8+1,(x-1)²=9,
∴x-1=±3,解得x₁=4,x₂=-2. 由上可得,丁同学所负责的步骤是错误的,故答案为丁.
∴x-1=±3,解得x₁=4,x₂=-2. 由上可得,丁同学所负责的步骤是错误的,故答案为丁.
查看更多完整答案,请扫码查看