第27页
- 第1页
- 第2页
- 第3页
- 第4页
- 第5页
- 第6页
- 第7页
- 第8页
- 第9页
- 第10页
- 第11页
- 第12页
- 第13页
- 第14页
- 第15页
- 第16页
- 第17页
- 第18页
- 第19页
- 第20页
- 第21页
- 第22页
- 第23页
- 第24页
- 第25页
- 第26页
- 第27页
- 第28页
- 第29页
- 第30页
- 第31页
- 第32页
- 第33页
- 第34页
- 第35页
- 第36页
- 第37页
- 第38页
- 第39页
- 第40页
- 第41页
- 第42页
- 第43页
- 第44页
- 第45页
- 第46页
- 第47页
- 第48页
- 第49页
- 第50页
- 第51页
- 第52页
- 第53页
- 第54页
- 第55页
- 第56页
- 第57页
- 第58页
- 第59页
- 第60页
- 第61页
- 第62页
- 第63页
- 第64页
- 第65页
- 第66页
- 第67页
- 第68页
- 第69页
- 第70页
- 第71页
- 第72页
- 第73页
- 第74页
- 第75页
- 第76页
- 第77页
- 第78页
- 第79页
- 第80页
- 第81页
- 第82页
- 第83页
- 第84页
- 第85页
一、选择题(本大题共8小题,每小题4分,共32分)
1 [2024山东烟台中考]下列实数中的无理数是( )
A.$\frac{2}{3}$
B.3.14
C.$\sqrt{15}$
D.$\sqrt[3]{64}$
1 [2024山东烟台中考]下列实数中的无理数是( )
A.$\frac{2}{3}$
B.3.14
C.$\sqrt{15}$
D.$\sqrt[3]{64}$
答案:
C 【解析】A选项,$\frac{2}{3}$是有理数,不符合题意;B选项,3.14是有理数,不符合题意;C选项,$\sqrt{15}$是无理数,符合题意;D选项,$\sqrt[3]{64}=4$是有理数,不符合题意。故选C。
2 [2025辽宁鞍山质检]下列算式中,正确的是( )
A.$\sqrt{2}+\sqrt{3}= \sqrt{5}$
B.$3\sqrt{2}-\sqrt{2}= 2\sqrt{2}$
C.$\sqrt{\frac{4}{3}}÷\sqrt{\frac{1}{9}}= 3\sqrt{2}$
D.$\sqrt{4+\frac{1}{2}}= 2+\sqrt{\frac{1}{2}}$
A.$\sqrt{2}+\sqrt{3}= \sqrt{5}$
B.$3\sqrt{2}-\sqrt{2}= 2\sqrt{2}$
C.$\sqrt{\frac{4}{3}}÷\sqrt{\frac{1}{9}}= 3\sqrt{2}$
D.$\sqrt{4+\frac{1}{2}}= 2+\sqrt{\frac{1}{2}}$
答案:
B 【解析】$\sqrt{2}$与$\sqrt{3}$不能合并,故A选项运算错误,不符合题意;$3\sqrt{2}-\sqrt{2}=2\sqrt{2}$,故B选项运算正确,符合题意;$\sqrt{\frac{4}{3}}÷\sqrt{\frac{1}{9}}=\sqrt{\frac{4}{3}÷\frac{1}{9}}=\sqrt{\frac{4}{3}×9}=\sqrt{12}=2\sqrt{3}$,故C选项运算错误,不符合题意;$\sqrt{4+\frac{1}{2}}=\sqrt{\frac{9}{2}}=\frac{3\sqrt{2}}{2}$,故D选项运算错误,不符合题意。故选B。
3 [2025广西钦州质检]若$a= \frac{1}{\sqrt{2}-1}$,$b= \frac{1}{\sqrt{2}+1}$,则$\sqrt{ab}(\sqrt{\frac{a}{b}}-\sqrt{\frac{b}{a}})$的值为( )
A.2
B.-2
C.$\sqrt{2}$
D.$2\sqrt{2}$
A.2
B.-2
C.$\sqrt{2}$
D.$2\sqrt{2}$
答案:
A 【解析】$a=\frac{1}{\sqrt{2}-1}=\sqrt{2}+1$,$b=\frac{1}{\sqrt{2}+1}=\sqrt{2}-1$,原式$=\sqrt{a}\cdot\sqrt{b}(\frac{\sqrt{a}}{\sqrt{b}}-\frac{\sqrt{b}}{\sqrt{a}})=a - b=(\sqrt{2}+1)-(\sqrt{2}-1)=2$。故选A。
4 [2025福建三明期中]若$\sqrt{12n}$是整数,则正整数n的最小值是( )
A.3
B.4
C.5
D.6
A.3
B.4
C.5
D.6
答案:
A 【解析】因为$\sqrt{12n}$是整数,$12 = 2^{2}×3$,所以正整数n的最小值是3。故选A。
5 已知x,y为实数,且$\sqrt{2x+5}+(y-2)^{2}= 0$.若$axy-2x= y$,则实数a的值为( )
A.$\frac{3}{5}$
B.$\frac{5}{3}$
C.$\frac{2}{5}$
D.$\frac{5}{2}$
A.$\frac{3}{5}$
B.$\frac{5}{3}$
C.$\frac{2}{5}$
D.$\frac{5}{2}$
答案:
A 【解析】因为$\sqrt{2x + 5}+(y - 2)^{2}=0$,所以$2x + 5 = 0$,$y - 2 = 0$,解得$x = - 2.5$,$y = 2$。因为$axy - 2x = y$,所以$-2.5×2a - 2×(-2.5)=2$,所以$-5a + 5 = 2$,解得$a=\frac{3}{5}$。
6 [2025江苏常州期中]对于实数x,我们规定[x]表示不大于x的最大整数,如[2]= 2,[1.5]= 1,[-2.3]= -3.对数99进行如下操作:99$\xrightarrow{第1次}$[$\sqrt{99}$]= 9$\xrightarrow{第2次}$[$\sqrt{9}$]= 3$\xrightarrow{第3次}$[$\sqrt{3}$]= 1,这样只需对数99进行3次操作后即可变成1,类似地,使数2024变成1需要进行操作的次数是( )
A.3
B.4
C.5
D.6
A.3
B.4
C.5
D.6
答案:
B 【解析】$2024\xrightarrow[]{第1次}[\sqrt{2024}]=44\xrightarrow[]{第2次}[\sqrt{44}]=6\xrightarrow[]{第3次}[\sqrt{6}]=2\xrightarrow[]{第4次}[\sqrt{2}]=1$,则数2024进行4次操作后变成1。故选B。
7 [2025浙江温州期末]如图,通过画边长为1的正方形,就能准确地把$\sqrt{2}表示在数轴上的点A_{1}$处,记$A_{1}右侧最近的整数点为B_{1}$,以点$B_{1}$为圆心,$A_{1}B_{1}$为半径画半圆,交数轴于点$A_{2}$,记$A_{2}右侧最近的整数点为B_{2}$,以点$B_{2}$为圆心,$A_{2}B_{2}$为半径画半圆,交数轴于点$A_{3}$,如此继续,则$A_{8}B_{8}$的长为( )

A.$\sqrt{2}-1$
B.$\sqrt{2}$
C.$\sqrt{2}+1$
D.$2-\sqrt{2}$
A.$\sqrt{2}-1$
B.$\sqrt{2}$
C.$\sqrt{2}+1$
D.$2-\sqrt{2}$
答案:
A 【解析】由题意得$A_{1}B_{1}=2-\sqrt{2}$,则点$A_{2}$表示的数为$2 + 2-\sqrt{2}=4-\sqrt{2}$。因为$2<4-\sqrt{2}<3$,所以点$B_{2}$表示的数为3,所以$A_{2}B_{2}=\sqrt{2}-1$,同理可得$A_{3}B_{3}=2-\sqrt{2}$,$A_{4}B_{4}=\sqrt{2}-1$,$A_{5}B_{5}=2-\sqrt{2}$,$A_{6}B_{6}=\sqrt{2}-1$,$A_{7}B_{7}=2-\sqrt{2}$,$A_{8}B_{8}=\sqrt{2}-1$。故选A。
8 $a= 2019×2021-2019×2020$,$b= \sqrt{2022^{2}-4×2021}$,$c= \sqrt{2020^{2}+20}$,则a,b,c的大小关系是( )
A.$a<b<c$
B.$a<c<b$
C.$b<a<c$
D.$b<c<a$
A.$a<b<c$
B.$a<c<b$
C.$b<a<c$
D.$b<c<a$
答案:
A 【解析】$a = 2019×2021 - 2019×2020=(2020 - 1)(2020 + 1)-(2020 - 1)×2020=2020^{2}-1 - 2020^{2}+2020=2019$。因为$2022^{2}-4×2021=(2021 + 1)^{2}-4×2021=2021^{2}+2×2021 + 1 - 4×2021=2021^{2}-2×2021 + 1=(2021 - 1)^{2}=2020^{2}$,所以$b = 2020$。因为$\sqrt{2020^{2}+20}>\sqrt{2020^{2}}$,所以$c>b>a$。故选A。
二、填空题(本大题共4小题,每小题5分,共20分)
9 [2025陕西西安期中]张师傅将一个体积为28$cm^{3}$的铁块和一个体积为36$cm^{3}$的铁块熔铸成一个大正方体铁块,若熔铸过程无损耗,则熔铸成的大正方体铁块的棱长是______cm.
9 [2025陕西西安期中]张师傅将一个体积为28$cm^{3}$的铁块和一个体积为36$cm^{3}$的铁块熔铸成一个大正方体铁块,若熔铸过程无损耗,则熔铸成的大正方体铁块的棱长是______cm.
答案:
4 【解析】由题意知,这个大正方体铁块体积为$28 + 36 = 64(cm^{3})$,所以熔铸成的大正方体铁块的棱长是$\sqrt[3]{64}=4(cm)$。故答案为4。
10 [2025河南周口期中]若“输入x→取立方根→取算术平方根→输出2”,则x的值为______.
答案:
64 【解析】因为2是4的算术平方根,4的立方为64,所以x的值为64。故答案为64。
11 如图,在长方形ABCD中无重叠地放入面积分别为16$cm^{2}$和12$cm^{2}$的两张正方形纸片(图中阴影部分),则图中空白部分的面积为______$cm^{2}$.

答案:
$(8\sqrt{3}-12)$ 【解析】因为两张正方形纸片的面积分别为$16cm^{2}$和$12cm^{2}$,所以它们的边长分别为$\sqrt{16}=4(cm)$,$\sqrt{12}=2\sqrt{3}(cm)$,所以空白部分的面积为$2\sqrt{3}×(4 - 2\sqrt{3})=(8\sqrt{3}-12)cm^{2}$。故答案为$(8\sqrt{3}-12)$。
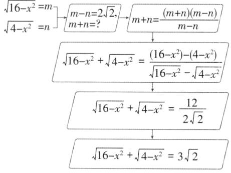
12 已知$\sqrt{16-x^{2}}-\sqrt{4-x^{2}}= 2\sqrt{2}$,则$\sqrt{16-x^{2}}+\sqrt{4-x^{2}}$= ______.
答案:
$3\sqrt{2}$ 【解析】
$3\sqrt{2}$ 【解析】
13 计算:
(1)$(\sqrt{5}-\sqrt{2})(\sqrt{5}+\sqrt{2})-(\sqrt{3}-1)^{2}$;
(2)$\sqrt{48}÷\sqrt{3}-\sqrt{\frac{1}{2}}×\sqrt{12}+\sqrt{24}$.
(1)$(\sqrt{5}-\sqrt{2})(\sqrt{5}+\sqrt{2})-(\sqrt{3}-1)^{2}$;
(2)$\sqrt{48}÷\sqrt{3}-\sqrt{\frac{1}{2}}×\sqrt{12}+\sqrt{24}$.
答案:
【解】
(1)原式$=5 - 2-(3 - 2\sqrt{3}+1)=3 - 3 + 2\sqrt{3}-1=2\sqrt{3}-1$。
(2)原式$=\sqrt{48÷3}-\sqrt{\frac{1}{2}×12}+2\sqrt{6}=4-\sqrt{6}+2\sqrt{6}=4+\sqrt{6}$。
(1)原式$=5 - 2-(3 - 2\sqrt{3}+1)=3 - 3 + 2\sqrt{3}-1=2\sqrt{3}-1$。
(2)原式$=\sqrt{48÷3}-\sqrt{\frac{1}{2}×12}+2\sqrt{6}=4-\sqrt{6}+2\sqrt{6}=4+\sqrt{6}$。
查看更多完整答案,请扫码查看