2025年名校课堂七年级数学上册北师大版甘肃专版
注:目前有些书本章节名称可能整理的还不是很完善,但都是按照顺序排列的,请同学们按照顺序仔细查找。练习册 2025年名校课堂七年级数学上册北师大版甘肃专版 答案主要是用来给同学们做完题方便对答案用的,请勿直接抄袭。
第105页
- 第1页
- 第2页
- 第3页
- 第4页
- 第5页
- 第6页
- 第7页
- 第8页
- 第9页
- 第10页
- 第11页
- 第12页
- 第13页
- 第14页
- 第15页
- 第16页
- 第17页
- 第18页
- 第19页
- 第20页
- 第21页
- 第22页
- 第23页
- 第24页
- 第25页
- 第26页
- 第27页
- 第28页
- 第29页
- 第30页
- 第31页
- 第32页
- 第33页
- 第34页
- 第35页
- 第36页
- 第37页
- 第38页
- 第39页
- 第40页
- 第41页
- 第42页
- 第43页
- 第44页
- 第45页
- 第46页
- 第47页
- 第48页
- 第49页
- 第50页
- 第51页
- 第52页
- 第53页
- 第54页
- 第55页
- 第56页
- 第57页
- 第58页
- 第59页
- 第60页
- 第61页
- 第62页
- 第63页
- 第64页
- 第65页
- 第66页
- 第67页
- 第68页
- 第69页
- 第70页
- 第71页
- 第72页
- 第73页
- 第74页
- 第75页
- 第76页
- 第77页
- 第78页
- 第79页
- 第80页
- 第81页
- 第82页
- 第83页
- 第84页
- 第85页
- 第86页
- 第87页
- 第88页
- 第89页
- 第90页
- 第91页
- 第92页
- 第93页
- 第94页
- 第95页
- 第96页
- 第97页
- 第98页
- 第99页
- 第100页
- 第101页
- 第102页
- 第103页
- 第104页
- 第105页
- 第106页
- 第107页
- 第108页
- 第109页
- 第110页
- 第111页
- 第112页
- 第113页
- 第114页
- 第115页
- 第116页
- 第117页
1. 已知A,B两海港相距153km,一号轮船从A海港以36km/h的速度向B海港行驶,同一时间二号轮船从B海港出发以42km/h的速度向A海港行驶。设行驶x h后两船相遇,则根据题意列方程为(
A.$36x - 42x = 153$
B.$36x + 42x = 153$
C.$36x + 153 = 42x$
D.无法确定
B
)A.$36x - 42x = 153$
B.$36x + 42x = 153$
C.$36x + 153 = 42x$
D.无法确定
答案:
B
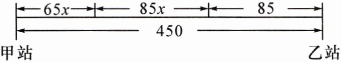
2. 甲、乙两站间的路程为450千米,一列慢车从甲站开出,每小时行驶65千米,一列快车从乙站开出,每小时行驶85千米。快车先开1小时,两车相向而行,慢车行驶多少小时后两车相遇?
设慢车行驶x小时后两车相遇,根据下面的分析图回答问题:

根据题意列方程:
因此慢车行驶
设慢车行驶x小时后两车相遇,根据下面的分析图回答问题:
根据题意列方程:
65x + 85x + 85 = 450
,解得x = $\frac{73}{30}$
。因此慢车行驶
$\frac{73}{30}$
小时后两车相遇。
答案:
65x + 85x + 85 = 450,解得x = $\frac{73}{30}$。因此慢车行驶$\frac{73}{30}$小时后两车相遇。
3. 某天,小万和姐姐相约在一条笔直的公路上一起晨练,小万以3m/s的速度向前慢跑,姐姐在小万跑了5m后以5m/s的速度追赶小万。设姐姐出发x s后追上小万,则根据题意可列方程为
5x = 3x + 5
。
答案:
5x = 3x + 5
4. 如图,甲、乙两支登山队沿同一条路线同时向山顶进发,甲队从距大本营1km的一号营地出发,每小时行进1.2km;乙队从距大本营3km的二号营地出发,每小时行进0.8km。多长时间后,甲队在途中追上乙队?
(1) 设x h后,甲队在途中追上乙队,请画图分析问题中各个量之间的关系。

(2) 根据(1)中所画的图表示的等量关系列方程解决问题。
(1) 设x h后,甲队在途中追上乙队,请画图分析问题中各个量之间的关系。
(2) 根据(1)中所画的图表示的等量关系列方程解决问题。
答案:
解:
(1)画图分析如下:
(2)根据题意,得1.2x + 1 = 0.8x + 3,解得x = 5.
答:5h后,甲队在途中追上乙队.
解:
(1)画图分析如下:
(2)根据题意,得1.2x + 1 = 0.8x + 3,解得x = 5.
答:5h后,甲队在途中追上乙队.
5. (教材P151例3变式)运动场的跑道一圈长400m,小刚练习骑自行车,平均每分钟骑350m,小强练习跑步,平均每分钟跑250m。
(1) 若两人同时同地同向出发,则经过多长时间首次相遇?
(2) 若两人同时同地反向出发,则经过多长时间首次相遇?
(1) 若两人同时同地同向出发,则经过多长时间首次相遇?
(2) 若两人同时同地反向出发,则经过多长时间首次相遇?
答案:
解:
(1)设两人同时同地同向出发,经过xmin首次相遇.根据题意,得(350 - 250)x = 400,解得x = 4.
答:两人同时同地同向出发,经过4min首次相遇.
(2)设两人同时同地反向出发,经过ymin首次相遇.根据题意,得(350 + 250)y = 400,解得y = $\frac{2}{3}$.
答:两人同时同地反向出发,经过$\frac{2}{3}$min首次相遇.
(1)设两人同时同地同向出发,经过xmin首次相遇.根据题意,得(350 - 250)x = 400,解得x = 4.
答:两人同时同地同向出发,经过4min首次相遇.
(2)设两人同时同地反向出发,经过ymin首次相遇.根据题意,得(350 + 250)y = 400,解得y = $\frac{2}{3}$.
答:两人同时同地反向出发,经过$\frac{2}{3}$min首次相遇.
6. 新考向 真实情境(2024·陕西)星期天,妈妈做饭,小峰和爸爸进行一次家庭卫生大扫除。根据这次大扫除的任务量,若小峰单独完成,需4h;若爸爸单独完成,需2h。当天,小峰先单独打扫了一段时间,然后去参加篮球训练,接着由爸爸单独完成了剩余的打扫任务。小峰和爸爸这次一共打扫了3h,求这次小峰打扫了多长时间。
答案:
解:设这次小峰打扫了xh,则爸爸打扫了(3 - x)h.根据题意,得$\frac{x}{4}$ + $\frac{3 - x}{2}$ = 1,解得x = 2.
答:这次小峰打扫了2h.
答:这次小峰打扫了2h.
查看更多完整答案,请扫码查看