第8页
- 第2页
- 第3页
- 第4页
- 第5页
- 第6页
- 第7页
- 第8页
- 第9页
- 第10页
- 第11页
- 第12页
- 第13页
- 第14页
- 第15页
- 第16页
- 第17页
- 第18页
- 第19页
- 第20页
- 第21页
- 第22页
- 第23页
- 第24页
- 第25页
- 第26页
- 第27页
- 第28页
- 第29页
- 第30页
- 第31页
- 第32页
- 第33页
- 第34页
- 第35页
- 第36页
- 第37页
- 第38页
- 第39页
- 第40页
- 第41页
- 第42页
- 第43页
- 第44页
- 第45页
- 第46页
- 第47页
- 第48页
- 第49页
- 第50页
- 第51页
- 第52页
- 第53页
- 第54页
- 第55页
- 第56页
- 第57页
- 第58页
- 第59页
- 第60页
- 第61页
- 第62页
- 第63页
- 第64页
- 第65页
- 第66页
- 第67页
- 第68页
- 第69页
- 第70页
- 第71页
- 第72页
- 第73页
- 第74页
- 第75页
- 第76页
- 第77页
- 第78页
- 第79页
- 第80页
- 第81页
- 第82页
- 第83页
- 第84页
1.(2024·安徽一模)如图,在平面直角坐标系中,△ABC的三个顶点的坐标分别为(-1,3),(0,1),(3,4).
(1)画出△ABC关于直线l:y =-x对称的△A₁B₁C₁,并写出点C的对应点C₁的坐标;
(2)将△ABC绕原点O顺时针旋转90°得到△A₂B₂C₂,画出△A₂B₂C₂,问△A₁B₁C₁与△A₂B₂C₂关于哪条直线对称?

(1)画出△ABC关于直线l:y =-x对称的△A₁B₁C₁,并写出点C的对应点C₁的坐标;
(2)将△ABC绕原点O顺时针旋转90°得到△A₂B₂C₂,画出△A₂B₂C₂,问△A₁B₁C₁与△A₂B₂C₂关于哪条直线对称?
答案:
解:
(1)图略,点$C_1$的坐标为(-4,-3)。
(2)图略,$\triangle A_1B_1C_1$与$\triangle A_2B_2C_2$关于$y$轴对称。
(1)图略,点$C_1$的坐标为(-4,-3)。
(2)图略,$\triangle A_1B_1C_1$与$\triangle A_2B_2C_2$关于$y$轴对称。
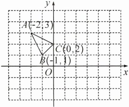
2.(2023·合肥一模)△ABC在平面直角坐标系xOy中的位置如图所示.
(1)作△ABC关于点C成中心对称的△A₁B₁C₁;
(2)以点C₁为位似中心,在图中画出将△A₁B₁C₁面积放大4倍后的△A₂B₂C₁,计算△A₂B₂C₁的面积并直接写出点A₂的坐标.

(1)作△ABC关于点C成中心对称的△A₁B₁C₁;
(2)以点C₁为位似中心,在图中画出将△A₁B₁C₁面积放大4倍后的△A₂B₂C₁,计算△A₂B₂C₁的面积并直接写出点A₂的坐标.
答案:
解:
(1)图略。
(2)图略。$S_{\triangle A_2B_2C_2}=S_{\triangle A_2'B_2'C_2'}=4\times4 - \frac{1}{2}\times2\times4-\frac{1}{2}\times4\times2 - \frac{1}{2}\times2\times2 = 6$,$A_2(4,0)$,$A_2'(-4,4)$。
(1)图略。
(2)图略。$S_{\triangle A_2B_2C_2}=S_{\triangle A_2'B_2'C_2'}=4\times4 - \frac{1}{2}\times2\times4-\frac{1}{2}\times4\times2 - \frac{1}{2}\times2\times2 = 6$,$A_2(4,0)$,$A_2'(-4,4)$。
3.(2024·合肥45中三模)如图,△OAB在平面直角坐标系中,网格是由边长为1个单位长度的小正方形组成,点O,A,B均为格点(网格线的交点).
(1)画出△OAB关于y轴对称的△OA₁B₁;
(2)画出△OAB绕原点O顺时针旋转90°后的△OA₂B₂;
(3)仅用无刻度直尺画出线段AB中点C(保留作图痕迹).

(1)画出△OAB关于y轴对称的△OA₁B₁;
(2)画出△OAB绕原点O顺时针旋转90°后的△OA₂B₂;
(3)仅用无刻度直尺画出线段AB中点C(保留作图痕迹).
答案:
解:
(1)图略。
(2)图略。
(3)图略。
(1)图略。
(2)图略。
(3)图略。
4.(2024·安徽)如图,在由边长为1个单位长度的小正方形组成的网格中建立平面直角坐标系xOy,格点(网格线的交点)A,B,C,D的坐标分别为(7,8),(2,8),(10,4),(5,4).
(1)以点D为旋转中心,将△ABC旋转180°得到△A₁B₁C₁,画出△A₁B₁C₁;
(2)直接写出以B,C₁,B₁,C为顶点的四边形的面积;
(3)在所给的网格图中确定一个格点E,使得射线AE平分∠BAC,写出点E的坐标.

(1)以点D为旋转中心,将△ABC旋转180°得到△A₁B₁C₁,画出△A₁B₁C₁;
(2)直接写出以B,C₁,B₁,C为顶点的四边形的面积;
(3)在所给的网格图中确定一个格点E,使得射线AE平分∠BAC,写出点E的坐标.
答案:
解:
(1)图略。
(2)以$B$,$C_1$,$B_1$,$C$为顶点的四边形的面积为$10\times8 - 2\times\frac{1}{2}\times2\times4 - 2\times\frac{1}{2}\times4\times8 = 40$。
(3)图略,点$E$的坐标(6,6)。(答案不唯一)
(1)图略。
(2)以$B$,$C_1$,$B_1$,$C$为顶点的四边形的面积为$10\times8 - 2\times\frac{1}{2}\times2\times4 - 2\times\frac{1}{2}\times4\times8 = 40$。
(3)图略,点$E$的坐标(6,6)。(答案不唯一)
查看更多完整答案,请扫码查看