第49页
- 第1页
- 第2页
- 第3页
- 第4页
- 第5页
- 第6页
- 第7页
- 第8页
- 第9页
- 第10页
- 第11页
- 第12页
- 第13页
- 第14页
- 第15页
- 第16页
- 第17页
- 第18页
- 第19页
- 第20页
- 第21页
- 第22页
- 第23页
- 第24页
- 第25页
- 第26页
- 第27页
- 第28页
- 第29页
- 第30页
- 第31页
- 第32页
- 第33页
- 第34页
- 第35页
- 第36页
- 第37页
- 第38页
- 第39页
- 第40页
- 第41页
- 第42页
- 第43页
- 第44页
- 第45页
- 第46页
- 第47页
- 第48页
- 第49页
- 第50页
- 第51页
- 第52页
- 第53页
- 第54页
- 第55页
- 第56页
- 第57页
- 第58页
- 第59页
- 第60页
- 第61页
- 第62页
- 第63页
- 第64页
- 第65页
- 第66页
- 第67页
- 第68页
- 第69页
- 第70页
- 第71页
- 第72页
- 第73页
- 第74页
- 第75页
- 第76页
- 第77页
- 第78页
- 第79页
- 第80页
- 第81页
- 第82页
- 第83页
- 第84页
- 第85页
- 第86页
- 第87页
- 第88页
- 第89页
- 第90页
- 第91页
1. 当 $ m = - 8 $ 时,代数式 $ m + 3 $ 的值是( ).
A.$ - 5 $
B.5
C.11
D.$ - 11 $
A.$ - 5 $
B.5
C.11
D.$ - 11 $
答案:
A
2. 下列说法正确的是( ).
A.代数式的值与代数式中的字母的取值无关
B.一般地,代数式的值是随着代数式中的字母的取值变化而变化的
C.代数式中的字母可以取任意的值
D.含有 $ x $ 的代数式的值等于 $ x $ 的值
A.代数式的值与代数式中的字母的取值无关
B.一般地,代数式的值是随着代数式中的字母的取值变化而变化的
C.代数式中的字母可以取任意的值
D.含有 $ x $ 的代数式的值等于 $ x $ 的值
答案:
B
3. 若 $ 2y - 3x = 5 $,则代数式 $ 8 - 2(2y - 3x) $ 的值是( ).
A.$ - 2 $
B.0
C.7
D.$ - 3 $
A.$ - 2 $
B.0
C.7
D.$ - 3 $
答案:
A
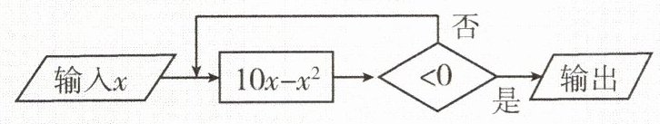
4. 一个计算程序如图所示,若 $ x = 2 $,则输出的结果是______.

答案:
-96
5. 已知 $ m = ab $,$ n = 3a - 2ab $,当 $ a = 3 $,$ b = - 2 $ 时,$ m = $______,$ n = $______.
答案:
-6 21
6. 根据下列 $ a $,$ b $ 的值,求代数式 $ \frac{3a - 4b}{2a + 3b} $ 的值.
(1)$ a = 2 $,$ b = 1 $;
(2)$ a = 6 $,$ b = \frac{1}{2} $.
(1)$ a = 2 $,$ b = 1 $;
(2)$ a = 6 $,$ b = \frac{1}{2} $.
答案:
解:(1)当a=2,b=1时,$\frac{3a-4b}{2a+3b}=\frac{3×2-4×1}{2×2+3×1}=\frac{2}{7}$.
(2)当a=6,b=$\frac{1}{2}$时,$\frac{3a-4b}{2a+3b}=\frac{3×6-4×\frac{1}{2}}{2×6+3×\frac{1}{2}}=\frac{16}{\frac{27}{2}}=\frac{32}{27}$.
(2)当a=6,b=$\frac{1}{2}$时,$\frac{3a-4b}{2a+3b}=\frac{3×6-4×\frac{1}{2}}{2×6+3×\frac{1}{2}}=\frac{16}{\frac{27}{2}}=\frac{32}{27}$.
7. 如图所示,用代数式表示图①中阴影部分的面积. 图②中四个小正方形边长相同. 当 $ a = 2\frac{1}{2} $,$ b = 3 $,$ x = \frac{1}{2} $ 时,试计算图②中阴影部分的面积.

答案:
解:图①中阴影部分的面积为mn-pq. 图②中阴影部分的面积为ab-4x². 当a=$\frac{5}{2}$,b=3,x=$\frac{1}{2}$时,ab-4x²=$\frac{5}{2}×3-4×{(\frac{1}{2})}^{2}=\frac{15}{2}-1=\frac{13}{2}$.
查看更多完整答案,请扫码查看