2025年畅行课堂九年级数学下册人教版山西专版
注:目前有些书本章节名称可能整理的还不是很完善,但都是按照顺序排列的,请同学们按照顺序仔细查找。练习册 2025年畅行课堂九年级数学下册人教版山西专版 答案主要是用来给同学们做完题方便对答案用的,请勿直接抄袭。
第49页
- 第1页
- 第2页
- 第3页
- 第4页
- 第5页
- 第6页
- 第7页
- 第8页
- 第9页
- 第10页
- 第11页
- 第12页
- 第13页
- 第14页
- 第15页
- 第16页
- 第17页
- 第18页
- 第19页
- 第20页
- 第21页
- 第22页
- 第23页
- 第24页
- 第25页
- 第26页
- 第27页
- 第28页
- 第29页
- 第30页
- 第31页
- 第32页
- 第33页
- 第34页
- 第35页
- 第36页
- 第37页
- 第38页
- 第39页
- 第40页
- 第41页
- 第42页
- 第43页
- 第44页
- 第45页
- 第46页
- 第47页
- 第48页
- 第49页
- 第50页
- 第51页
- 第52页
- 第53页
- 第54页
- 第55页
- 第56页
- 第57页
- 第58页
- 第59页
- 第60页
- 第61页
- 第62页
- 第63页
- 第64页
- 第65页
- 第66页
- 第67页
- 第68页
- 第69页
- 第70页
- 第71页
- 第72页
- 第73页
1. 如图,在Rt△ABC中,∠C = 90°,AB = 5,AC = 3,则sinB等于 ( )
A. $\frac{3}{4}$ B. $\frac{4}{5}$ C. $\frac{\sqrt{7}}{4}$ D. $\frac{3}{5}$

A. $\frac{3}{4}$ B. $\frac{4}{5}$ C. $\frac{\sqrt{7}}{4}$ D. $\frac{3}{5}$
答案:
D
2.【教材P63例1变式】在Rt△ABC中,∠C = 90°,AC = 12,BC = 5,则sinA的值为 ( )
A. $\frac{5}{12}$
B. $\frac{12}{5}$
C. $\frac{12}{13}$
D. $\frac{5}{13}$
A. $\frac{5}{12}$
B. $\frac{12}{5}$
C. $\frac{12}{13}$
D. $\frac{5}{13}$
答案:
D
3.【教材九下P65练习T2变式】把Rt△ABC三边的长度都缩小为原来的$\frac{1}{3}$,则锐角A的正弦值 ( )
A. 不变
B. 缩小为原来的$\frac{1}{3}$
C. 扩大为原来的3倍
D. 不能确定
A. 不变
B. 缩小为原来的$\frac{1}{3}$
C. 扩大为原来的3倍
D. 不能确定
答案:
A
4.【教材九下P64练习T2变式】如图,在Rt△ABC中,∠C = 90°,∠A = 45°,则sinB的值为____________.

答案:
$\frac{\sqrt{2}}{2}$
5. 如图,在平面直角坐标系内有一点P(5,12),那么OP与x轴正半轴的夹角α的正弦值为____________.

答案:
$\frac{12}{13}$
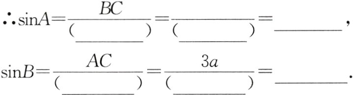
6.【答题模板】【教材九下P64练习T1变式】如图,在△ABC中,∠C = 90°,AC:BC = 3:2,
求sinA和sinB的值.
解:设AC = 3a,则BC = 2a,在Rt△ABC中,AB = $\sqrt{AC^{2}+BC^{2}}$ = $\sqrt{(\underline{3a})^{2}+(\underline{2a})^{2}}$ = __________,
∴sinA = $\frac{BC}{(\underline{AB})}$ = $\frac{(\underline{2a})}{(\underline{AB})}$ = __________,
sinB = $\frac{AC}{(\underline{AB})}$ = $\frac{3a}{(\underline{AB})}$ = __________.

解:设AC = 3a,则BC = 2a,在Rt△ABC中,AB = $\sqrt{AC^{2}+BC^{2}}$ = $\sqrt{(\underline{3a})^{2}+(\underline{2a})^{2}}$ = __________,
∴sinA = $\frac{BC}{(\underline{AB})}$ = $\frac{(\underline{2a})}{(\underline{AB})}$ = __________,
sinB = $\frac{AC}{(\underline{AB})}$ = $\frac{3a}{(\underline{AB})}$ = __________.
答案:
$3a$ $2a$ $\sqrt{13}a$ $AB$ $\sqrt{13}a$ $\frac{2\sqrt{13}}{13}$
$AB$ $\sqrt{13}a$ $\frac{3\sqrt{13}}{13}$
$AB$ $\sqrt{13}a$ $\frac{3\sqrt{13}}{13}$
7.(2022·湖州)如图,已知在Rt△ABC中,∠C = 90°,AB = 5,BC = 3. 求AC的长和sinA的值.

答案:
解:由勾股定理,得$AC = \sqrt{AB^{2}-BC^{2}}=\sqrt{5^{2}-3^{2}} = 4$,
$\therefore\sin A=\frac{BC}{AB}=\frac{3}{5}$.
故$AC$的长为4,$\sin A$的值为$\frac{3}{5}$.
$\therefore\sin A=\frac{BC}{AB}=\frac{3}{5}$.
故$AC$的长为4,$\sin A$的值为$\frac{3}{5}$.
8. 如图,在Rt△ABC中,∠C = 90°,AB = 10,sinA = $\frac{3}{5}$,则BC的长为 ( )
A. 6
B. 7.5
C. 8
D. 12.5

A. 6
B. 7.5
C. 8
D. 12.5
答案:
A
9. 如图,在Rt△ABC中,∠C = 90°,BC = 2,sinA = $\frac{1}{3}$,求AC,AB及sinB的值.

答案:
解:$\because\sin A=\frac{BC}{AB}=\frac{1}{3}$,
即$\frac{2}{AB}=\frac{1}{3}$,$\therefore AB = 6$.
由勾股定理,得$AC = \sqrt{AB^{2}-BC^{2}}=\sqrt{6^{2}-2^{2}} = 4\sqrt{2}$,
$\therefore\sin B=\frac{AC}{AB}=\frac{4\sqrt{2}}{6}=\frac{2\sqrt{2}}{3}$.
即$\frac{2}{AB}=\frac{1}{3}$,$\therefore AB = 6$.
由勾股定理,得$AC = \sqrt{AB^{2}-BC^{2}}=\sqrt{6^{2}-2^{2}} = 4\sqrt{2}$,
$\therefore\sin B=\frac{AC}{AB}=\frac{4\sqrt{2}}{6}=\frac{2\sqrt{2}}{3}$.
查看更多完整答案,请扫码查看