2025年新编高中同步作业高中数学选择性必修第二册人教版A
注:目前有些书本章节名称可能整理的还不是很完善,但都是按照顺序排列的,请同学们按照顺序仔细查找。练习册 2025年新编高中同步作业高中数学选择性必修第二册人教版A 答案主要是用来给同学们做完题方便对答案用的,请勿直接抄袭。
第79页
- 第1页
- 第2页
- 第3页
- 第4页
- 第5页
- 第6页
- 第7页
- 第8页
- 第9页
- 第10页
- 第11页
- 第12页
- 第13页
- 第14页
- 第15页
- 第16页
- 第17页
- 第18页
- 第19页
- 第20页
- 第21页
- 第22页
- 第23页
- 第24页
- 第25页
- 第26页
- 第27页
- 第28页
- 第29页
- 第30页
- 第31页
- 第32页
- 第33页
- 第34页
- 第35页
- 第36页
- 第37页
- 第38页
- 第39页
- 第40页
- 第41页
- 第42页
- 第43页
- 第44页
- 第45页
- 第46页
- 第47页
- 第48页
- 第49页
- 第50页
- 第51页
- 第52页
- 第53页
- 第54页
- 第55页
- 第56页
- 第57页
- 第58页
- 第59页
- 第60页
- 第61页
- 第62页
- 第63页
- 第64页
- 第65页
- 第66页
- 第67页
- 第68页
- 第69页
- 第70页
- 第71页
- 第72页
- 第73页
- 第74页
- 第75页
- 第76页
- 第77页
- 第78页
- 第79页
- 第80页
问题式预习
知识点一 判断函数$y = f(x)$的单调性的步骤
第 1 步,确定函数的_______;
第 2 步,求出导数$f'(x)$的_______;
第 3 步,用$f'(x)$的零点将$f(x)$的定义域划分为若干个区间,列表给出$f'(x)$在各区间上的_______,由此得出函数$y = f(x)$在定义域内的单调性.
知识点二 导数的绝对值与函数值变化的关系
一般地,设函数$y = f(x)$,在区间$(a,b)$上:
|导数的绝对值|函数值变化|函数的图象|
|----|----|----|
|越大|_______|比较“_______”(向上或向下)|
|越小|_______|比较“_______”(向上或向下)|
[微训练]


知识点一 判断函数$y = f(x)$的单调性的步骤
第 1 步,确定函数的_______;
第 2 步,求出导数$f'(x)$的_______;
第 3 步,用$f'(x)$的零点将$f(x)$的定义域划分为若干个区间,列表给出$f'(x)$在各区间上的_______,由此得出函数$y = f(x)$在定义域内的单调性.
知识点二 导数的绝对值与函数值变化的关系
一般地,设函数$y = f(x)$,在区间$(a,b)$上:
|导数的绝对值|函数值变化|函数的图象|
|----|----|----|
|越大|_______|比较“_______”(向上或向下)|
|越小|_______|比较“_______”(向上或向下)|
[微训练]
答案:
定义域@@零点@@正负@@较快@@陡峭@@较慢@@平缓
1. 函数$y = 3x - x^3$的单调递增区间为( )
A. $(0,+\infty)$
B. $(-\infty,-1)$
C. $(-1,1)$
D. $(1,+\infty)$
A. $(0,+\infty)$
B. $(-\infty,-1)$
C. $(-1,1)$
D. $(1,+\infty)$
答案:
C 解析:$y' = 3 - 3x^{2}$,令$y' > 0$,得$-1 x 1$,即函数的单调递增区间为$(-1,1)$。
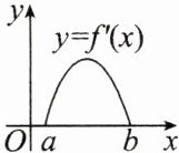
2. 已知$f'(x)$是$f(x)$的导函数,$f'(x)$的图象如图所示,则$f(x)$的图象只可能是( )


答案:
D 解析:从$f'(x)$的图象可以看出,在区间$(a,\frac{a + b}{2})$内,导数单调递增;在区间$(\frac{a + b}{2},b)$内,导数单调递减。所以函数$f(x)$的图象在$(a,\frac{a + b}{2})$内越来越陡,在$(\frac{a + b}{2},b)$内越来越平缓。由此可知,只有选项 D 符合。
1. 函数$f(x)=ax^{3}-x^{2}+cx + d$的图象如图所示,则有 ( )

A. $a>0,c0,d>0$
B. $a0,c0,d>0$
C. $a0,c>0,d>0$
D. $a>0,c>0,d0$
A. $a>0,c0,d>0$
B. $a0,c0,d>0$
C. $a0,c>0,d>0$
D. $a>0,c>0,d0$
答案:
C
2. 已知函数$f(x)=x^{3}+x$,则“$a + b>0$”是“$f(a)+f(b)>0$”的 ( )
A. 充分不必要条件
B. 必要不充分条件
C. 充要条件
D. 既不充分又不必要条件
A. 充分不必要条件
B. 必要不充分条件
C. 充要条件
D. 既不充分又不必要条件
答案:
C
查看更多完整答案,请扫码查看